版块导航
正在加载中...
客户端APP下载
论文辅导
申博辅导
登录
注册
帖子
帖子
用户
本版
应《网络安全法》要求,自2017年10月1日起,未进行实名认证将不得使用互联网跟帖服务。为保障您的帐号能够正常使用,请尽快对帐号进行手机号验证,感谢您的理解与支持!
24小时热门版块排行榜
>
论坛更新日志
(1962)
>
虫友互识
(153)
>
导师招生
(38)
>
论文道贺祈福
(21)
>
文献求助
(18)
>
考博
(16)
>
基金申请
(15)
>
休闲灌水
(15)
>
博后之家
(12)
>
教师之家
(10)
>
硕博家园
(10)
>
考研
(9)
>
论文投稿
(7)
>
公派出国
(6)
>
招聘信息布告栏
(5)
>
绿色求助(高悬赏)
(5)
小木虫论坛-学术科研互动平台
»
专业学科区
»
数学
»
基础数学
»
求助:怎么求解这个变系数微分方程?
3
1/1
返回列表
查看: 622 | 回复: 2
只看楼主
@他人
存档
新回复提醒
(忽略)
收藏
在APP中查看
xiaojixiong
金虫
(小有名气)
应助: 0
(幼儿园)
金币: 3482.5
散金: 3
帖子: 239
在线: 67.6小时
虫号: 425899
注册: 2007-07-28
性别: GG
专业: 等离子体物理
[
求助
]
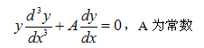
求助:怎么求解这个变系数微分方程?
方程如图,向大家请教个问题。这个方程怎么解?感激不尽!
01.png
回复此楼
» 猜你喜欢
有院领导为了换新车,用横向课题经费买了俩车
已经有3人回复
有时候真觉得大城市人没有县城人甚至个体户幸福
已经有9人回复
CSC & MSCA 博洛尼亚大学能源材料课题组博士/博士后招生|MSCA经费充足、排名优
已经有6人回复
天津大学招2026.09的博士生,欢迎大家推荐交流(博导是本人)
已经有4人回复
同年申请2项不同项目,第1个项目里不写第2个项目的信息,可以吗
已经有3人回复
面上项目申报
已经有3人回复
酰胺脱乙酰基
已经有9人回复
博士延得我,科研能力直往上蹿
已经有7人回复
面上基金申报没有其他的参与者成吗
已经有5人回复
遇见不省心的家人很难过
已经有22人回复
» 本主题相关价值贴推荐,对您同样有帮助:
抛物型偏微分方程的数值解求解问题,谢谢!
已经有14人回复
如何用matlab求解矩阵系数的二阶微分方程
已经有13人回复
求助:如何用MATLAB的偏微分方程工具箱画出不同区域内的温度分布图?
已经有5人回复
求助 一阶线性偏微分方程 拉格朗日法求解
已经有6人回复
求助——求解常系数二次微分方程
已经有6人回复
请问如何求解二元一阶微分方程组
已经有24人回复
如何理解变系数微分方程
已经有6人回复
帮忙求解一道微分方程的题目
已经有7人回复
【求助】matlab 求解微分方程中的未知参数
已经有20人回复
【求助】向各位大侠求助matlab求解微分方程组遇到的一个问题
已经有21人回复
【求助】MATLAB 有限差分法(FDM)求解偏微分方程
已经有22人回复
【求助】积分微分方程matlab求解
已经有6人回复
【求助】如何求解下列偏微分方程
已经有13人回复
【求助】Python 中 求解微分方程 odeint 的用法
已经有11人回复
【求助】matlab怎么求解偏微分方程组啊,先谢谢了
已经有13人回复
【求助】一个二阶常微分方程的解法(重奖金币!)
已经有16人回复
【求助】有限元法求解二阶偏微分方程组
已经有6人回复
【求助】偏微分方程的基本解
已经有5人回复
1楼
2013-03-29 11:41:00
已阅
回复此楼
关注TA
给TA发消息
送TA红花
TA的回帖
vect
至尊木虫
(著名写手)
应助: 171
(高中生)
金币: 18942.5
散金: 31
红花: 19
帖子: 2033
在线: 938.3小时
虫号: 545022
注册: 2008-04-13
性别: GG
专业: 数学
【答案】应助回帖
★ ★
感谢参与,应助指数 +1
xiaojixiong: 金币+2,
★
有帮助
2013-04-01 10:44:30
非线性方程一般没有能用的解法。这里的话可以试用降阶来处理。不妨设y不为常数解。则两端同除于y,再积分得
y''+Alny=C0
同乘以2y',再积分得y'^2+2*A*y*lny=2C1*y+C2,后面似乎没有技巧了。
赞
一下
回复此楼
2楼
2013-03-31 22:10:14
已阅
回复此楼
关注TA
给TA发消息
送TA红花
TA的回帖
zkd_
铜虫
(小有名气)
应助: 3
(幼儿园)
金币: 138.4
散金: 19
帖子: 88
在线: 28.8小时
虫号: 2130285
注册: 2012-11-16
专业: 基础物理学
【答案】应助回帖
接2楼,化成y'=f(x),然后可以用初始条件确定它的正负号,然后再用初始条件进行数值解。
赞
一下
回复此楼
3楼
2013-04-02 13:47:50
已阅
回复此楼
关注TA
给TA发消息
送TA红花
TA的回帖
相关版块跳转
数理科学综合
机械
物理
数学
农林
食品
地学
能源
信息科学
土木建筑
航空航天
转基因
我要订阅楼主
xiaojixiong
的主题更新
3
1/1
返回列表
如果回帖内容含有宣传信息,请如实选中。否则帐号将被全论坛禁言
普通表情
龙
兔
虎
猫
百度网盘
|
360云盘
|
千易网盘
|
华为网盘
在新窗口页面中打开自己喜欢的网盘网站,将文件上传后,然后将下载链接复制到帖子内容中就可以了。
信息提示
关闭
请填处理意见
关闭
确定