±±¾©Ê¯ÓÍ»¯¹¤Ñ§Ôº2026ÄêÑо¿ÉúÕÐÉú½ÓÊÕµ÷¼Á¹«¸æ
²é¿´: 1127  |  »Ø¸´: 3

Áè·ç7388

Ìú³æ (ÕýʽдÊÖ)

[ÇóÖú] ¶þ½×΢·Ö·½³ÌµÄÇó½â´úÂë

 
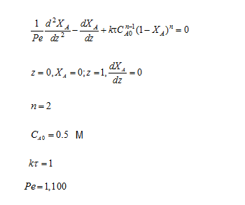
ÓÃmatlabÇó½â´Ë΢·Ö·½³Ì¡£ÒªÇó¸ø³ö´úÂë
»Ø¸´´ËÂ¥

» ²ÂÄãϲ»¶

» ±¾Ö÷ÌâÏà¹Ø¼ÛÖµÌùÍÆ¼ö£¬¶ÔÄúͬÑùÓаïÖú:

ÒÑÔÄ   ¹Ø×¢TA ¸øTA·¢ÏûÏ¢ ËÍTAºì»¨ TAµÄ»ØÌû

Áè·ç7388

Ìú³æ (ÕýʽдÊÖ)

¸ø³ömatlab´úÂ룬лл

Ç󷽳̵Ľ⣬¸ø³ömatlab´úÂë¡£

2Â¥2012-06-30 11:23:02
ÒÑÔÄ   ¹Ø×¢TA ¸øTA·¢ÏûÏ¢ ËÍTAºì»¨ TAµÄ»ØÌû

dbb627

ÈÙÓþ°æÖ÷ (ÖøÃûдÊÖ)

¡¾´ð°¸¡¿Ó¦Öú»ØÌû

¡ï ¡ï ¡ï ¡ï ¡ï ¡ï ¡ï ¡ï ¡ï ¡ï ¡ï ¡ï ¡ï ¡ï ¡ï
¸Ðл²ÎÓ룬ӦÖúÖ¸Êý +1
Áè·ç7388: ½ð±Ò+15, ¡ï¡ï¡ï¡ï¡ï×î¼Ñ´ð°¸, ·Ç³£¸Ðл 2012-07-01 13:35:43
CODE:
solinit = bvpinit(linspace(0,1,10),[-1 1]);
f1=@(x,y)[y(2);1100*(y(2)-0.5*(1-y(1)).^2)];
f2=@(ya,yb)[ya(1);yb(2)];
sol = bvp4c(f1,f2,solinit);
xint = linspace(0,1,50);
yint = deval(sol,xint);
plot(xint,yint(1,:),'-ro');

The more you learn, the more you know, the more you know, and the more you forget. The more you forget, the less you know. So why bother to learn.
3Â¥2012-06-30 23:30:47
ÒÑÔÄ   ¹Ø×¢TA ¸øTA·¢ÏûÏ¢ ËÍTAºì»¨ TAµÄ»ØÌû

dswayb

½ð³æ (ÖøÃûдÊÖ)

¡¾´ð°¸¡¿Ó¦Öú»ØÌû

¡ï ¡ï ¡ï ¡ï ¡ï ¡ï ¡ï ¡ï ¡ï ¡ï
¸Ðл²ÎÓ룬ӦÖúÖ¸Êý +1
Áè·ç7388: ½ð±Ò+10, ¡ïÓаïÖú, ллÄ㣬¸Õ½Ó´¥£¬ÎÞ´ÓÏÂÊÖ¡£»á×ÔѧÏ嵀 2012-07-01 13:34:19
ÒýÓûØÌû:
2Â¥: Originally posted by Áè·ç7388 at 2012-06-30 11:23:02
¸ø³ömatlab´úÂ룬лл
13/72/759985_1341026557_410.png
Ç󷽳̵Ľ⣬¸ø³ömatlab´úÂë¡£

Ö±½Ó¸ø³ö´úÂëҲ̫ÀëÆ×Á˰ɣ¬Áî1-Xa=y,Ôò
y''=Pe(y'+ktCao y^2)
¿É½«Æäд³ÉÒ»¸ö·½³Ì×飬ÓÃode45½â
d/dz(y
       y') =(y'
               Pe(y'+ktCao y^2))
Ó¦¸ÃºÜ¼òµ¥£¬×Ô¼º²éÒ»ÏÂRunge_Kutta µÄode45Ó÷¨£¬ÏàÐŰëСʱ¿ÉÒԸ㶨¡£×£Ë³Àû
×ö¸öÄÚÐÄÇ¿´óµÄÈË£¡
4Â¥2012-07-01 01:57:58
ÒÑÔÄ   ¹Ø×¢TA ¸øTA·¢ÏûÏ¢ ËÍTAºì»¨ TAµÄ»ØÌû
Ïà¹Ø°æ¿éÌø×ª ÎÒÒª¶©ÔÄÂ¥Ö÷ Áè·ç7388 µÄÖ÷Ìâ¸üÐÂ
×î¾ßÈËÆøÈÈÌûÍÆ¼ö [²é¿´È«²¿] ×÷Õß »Ø/¿´ ×îºó·¢±í
[¿¼ÑÐ] 071000ÉúÎïѧµ÷¼Á +4 À­ÌáÌÒ 2026-04-06 4/200 2026-04-06 10:01 by barlinike
[¿¼ÑÐ] 301Çóµ÷¼Á +6 ϸ°ûÏà¹Øµ°°× 2026-04-02 10/500 2026-04-06 08:34 by jp9609
[¿¼ÑÐ] »¯Ñ§µ÷¼ÁÇóÖú +7 LULONG1 2026-04-03 7/350 2026-04-06 06:41 by houyaoxu
[¿¼ÑÐ] ¸´ÊÔµ÷¼Á +8 ´ºÈÕÀ´ÐÅ- 2026-04-03 8/400 2026-04-05 18:58 by À¶ÔÆË¼Óê
[¿¼ÑÐ] 348Çóµ÷¼Á +6 wukira 2026-04-04 6/300 2026-04-05 18:11 by Öí»á·É
[¿¼ÑÐ] 0703»¯Ñ§321·ÖÇóµ÷¼Á +17 Èýdd. 2026-03-30 18/900 2026-04-05 18:07 by À¶ÔÆË¼Óê
[¿¼ÑÐ] 296Çóµ÷¼Á +3 Íô£¡£¿£¡ 2026-04-05 5/250 2026-04-05 17:38 by À¶ÔÆË¼Óê
[¿¼ÑÐ] 306·Ö²ÄÁÏÓ뻯¹¤Çóµ÷¼Á +7 Àè°ÉÀ²À²ÄãºÜÓÐà 2026-04-03 7/350 2026-04-05 17:18 by Hdyxbekcb
[¿¼ÑÐ] ¹¤¿Æ08ר˶»úе275Çóµ÷¼Á +3 AaAa7420 2026-04-02 3/150 2026-04-05 13:26 by jp9609
[¿¼ÑÐ] 353Çóµ÷¼Á +10 MayUxw1 2026-04-03 10/500 2026-04-05 09:23 by Î޼ʵIJÝÔ­
[¿¼ÑÐ] ²ÄÁϵ÷¼Á +12 Ò»ÑùYWY 2026-04-02 13/650 2026-04-04 20:49 by À¶ÔÆË¼Óê
[¿¼ÑÐ] 315Çóµ÷¼Á +13 СÑòСÑò_ 2026-04-02 14/700 2026-04-04 20:30 by À¶ÔÆË¼Óê
[¿¼ÑÐ] 085601£¬Ò»Ö¾Ô¸Ïôó334¸´ÊÔ±»Ë¢Çóµ÷¼Á +13 ÔøÑöÖ® 2026-04-03 15/750 2026-04-04 20:13 by dongzh2009
[¿¼ÑÐ] ¿¼Ñе÷¼Á +3 15615482637 2026-04-03 3/150 2026-04-03 22:50 by ms629
[¿¼ÑÐ] 283Çóµ÷¼Á +3 jiouuu 2026-04-03 4/200 2026-04-03 13:28 by jiouuu
[¿¼ÑÐ] 08¹¤¿Æ£¬295£¬½ÓÊÜ¿çרҵµ÷¼Á +8 lmnlzy 2026-03-30 8/400 2026-04-03 13:08 by nalakaiqi
[¿¼ÑÐ] 0703»¯Ñ§ +7 goldtt 2026-04-02 9/450 2026-04-03 09:36 by À¶ÔÆË¼Óê
[¿¼ÑÐ] µ÷¼Á +7 ìíáº. 2026-04-02 7/350 2026-04-03 09:11 by »¨ß»¹Ç·600
[¿¼ÑÐ] µ÷¼Á +3 osbbx 2026-04-02 3/150 2026-04-03 07:47 by cc8418
[¿¼ÑÐ] 362Çóµ÷¼Á +14 Î÷ÄϽ»²ÄÁÏר˶3 2026-03-31 14/700 2026-04-02 17:50 by yunlongyang
ÐÅÏ¢Ìáʾ
ÇëÌî´¦ÀíÒâ¼û