µ±Ç°Î»ÖãºÐ¡Ä¾³æÊ×Ò³ >> µç»¯Ñ§

¶Ô³Æ³¬¼¶µçÈÝÆ÷ÄÜÁ¿ÃܶȺ͹¦ÂÊÃܶȼÆËãÎÊÌâ

СÂÜÀòÀ²À²À²
ÏÖÔÚ×é×°Á˶ԳƳ¬¼¶µçÈÝÆ÷Æ÷¼þ£¬·¢ÏÖÄÜÁ¿ÃܶȼÆË㹫ʽ²»Í¬ÎÄÏ×ÉϸøµÄ¶¼²»Ò»Ñù£¬ÓеϹ³ËÒÔ4,¸öÈ˾õµÃÍêÕûÆ÷¼þ¾ÍÓ¦¸ÃÊÇc=I*t/mv,E=1/2cv2,P=E/t,Öмä¾ÍÊǵ¥Î»»»ËãµÄÎÊÌ⣬¿´ÎÄÏ×ÓÖÊdzËÒÔ4£¬ÓÖÊdzýÒÔ8µÄ¶¼ÔÎÁË£¬ÓÐÁ˽âµÄǰ±²¿ÉÒÔ°ïæָµãÒ»ÏÂÂ¸Ð¾õÔõ...
µç»¯Ñ§
  • 500
  • 10

µç´ß»¯ÖÐÑ¡Ôñ²ÄÁϵÄһЩÒÉ»ó¡£

Ø£ˆ?
ÎÒÔÚÏë¼ÈÈ»µç´ß»¯OER¹ý³ÌÖмÈÈ»Öмä²úÎïÊǽðÊôôÇ»ùÑõ»¯ÎÄÇôֱ½ÓºÏ³É½ðÊôôÇ»ùÑõ»¯ÎïÓÃÓÚ´ß»¯£¬²»¾ÍºÃÁË£¬ÕâÑùµÄ»°£¬Ò»Ð©½ðÊôÁò»¯ÎÑõ»¯ÎïÏà±ÈÓÚ½ðÊôôÇ»ùÑõ»¯ÎﻹÓÐʲôÓÅÊÆ£¿
µç»¯Ñ§
  • 700
  • 14

ORR slurry ÅäÖÆ ---ÈçºÎÅäÖÆ¾ùÔȲ»³ÁµíµÄ½¬ÁÏ£¿

Àî¼Óΰ
ÈçºÎÅäÖÆ¾ùÔȲ»³ÁµíµÄ½¬ÁÏ£¿Ê¹ÓÃdropcastingÍ¿·óµç´ß»¯¼Áʱ£¬ÐèÒªÅäÖÆ¾ùÔȵĽ¬ÁÏ¡£ÊÓ´ß»¯¼ÁµÄµ¼µçÐÔ²»Í¬£¬»áÊÊÁ¿¼ÓÈëµ¼µçµÄ̼¡£Ì¼Óë´ß»¯¼ÁµÄ±ÈÀýÓÐ1£º1£¬6£º4µÈ²»Í¬±ÈÀý¡£²»Í¬ÎÄÏ×±¨µÀµÄ½¬ÁϵÄÈÜÒº±ÈÀýÒ²¸÷Óв»Í¬£¬×ÜÌå¶øÑÔÓвÉÓÃÒÒ´¼£¬Òì±û´¼£¬Ë®(»òÕß»ìºÏÈÜÒº)...
µç»¯Ñ§
  • 400
  • 8

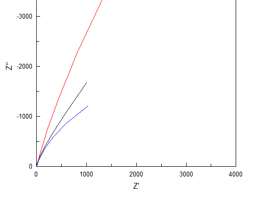
µç»¯Ñ§×迹Æ×£¨EIS£©Ã»ÓÐÃ÷ÏÔ°ëÔ²

MISF1TS
ÇëÎÊһϴóÀУ¬ÎªÊ²Ã´ÎÒµÄ×迹ûÓÐÃ÷ÏÔµÄÔ²»¡ÄØ£¿ÆµÂÊÊÇ0.01-100000Hz£¬²ÄÁÏÊǽðÊô·ÛÄ©¸ºÔØÔÚ²£Ì¼µç¼«ÉÏ£¬È»ºó²Î±ÈÊǹ¯Ñõ»¯¹¯£¬µç½âÒºÊÇ1MKOH£¬ÊÇÒòΪƵÂÊÉÏÏÞµÍÁË...
µç»¯Ñ§
  • 400
  • 8

PtRuºÏ½ðºÏ³É·½·¨

ʹÃü¸Ð·Ü½øÕß
ÇëÎÊȼÁÏµç³ØÀïµÄPtRuºÏ½ðµç´ß»¯¼ÁµÄºÏ³É·½·¨ÓÐÄÄЩ£¿ÓÐÄÄÐ©ÍÆ¼öµÄÎÄÏ×Âð£¿Ð»Ð»´ó¼ÒÁË
µç»¯Ñ§
  • 300
  • 6

¹ØÓÚºãµçλ³Á»ýÈçºÎÑ¡Ôñ³Á»ýµçλ

ZnÖж¾
×÷Ϊһ¸öµç³Á»ýС°×£¬°´ÕÕÎÄÏ×ÔÚÅÝÄ­ÄøÉϳÁ»ýÁËCoOOH£¬ÎÄÏ×Öиø³öÁ˳Á»ýµçλ¡£×÷Ϊһ¸öºÃÆæ±¦±¦£¬ºÃÆæÎªÉ¶ÒªÔÚÕâ¸öµçλϽøÐкãµçλ³Á»ýÄØ£¿Ð¡Ä¾³æËµ¿ÉÒÔÔÚÕâ¸öµç½âÒºÖÐѡȡ´óµÄ...
µç»¯Ñ§
  • 200
  • 4

Çë½Ì£¬ÐµÄǦËáµç³äµçÎÊÌâ

ncomm
Çë½Ì´ó¿§£¬ÂòǦËáµç³ØµçÆ¿³µÊ±£¬Âò¼Ò¸æËß³µ×ÓÂò»ØÈ¥ÒªÏÈÆï£¬µ±µçÁ¿Ê£Á½¸ñʱÔÙ³äµç£¬²¢ÇÒǰÁ½´Î¶¼Òª³äÂúÊ®¶þСʱ¡£ËµÊÇÕâÑù¶Ôµç³ØºÃ¡£Çë½Ì´ó¿§£¬ÕâÊÇʲôԭÀíÄØ£¿»¹ÇëÖ¸µã£¬¸Ðл¡£
µç»¯Ñ§
  • 600
  • 12

×îÐÂJMCA-½ðÊôÁò»¯ÎïÓÃÓÚï®Áòµç³ØµÄ×ÛÊö

ÎÏÅ£ÃÎ
ÕâÆª×ÛÊöÈ«ÃæµØ»Ø¹ËÁ˽ðÊôÁò»¯ÎïÔÚï®Áòµç³ØÖеÄÉè¼Æ¡¢ºÏ³É¼°Ó¦Óã¬ÒªµãÓУº1.»ùÓÚ½ðÊôÁò»¯ÎïµÄÖ÷Òª¹¦ÄÜ¡¢ÓÐÒæµÄÊôÐÔ»òÕßÄܹ»½â¾öï®Áòµç³ØÖ÷ÒªµÄÎÊÌâÀ´·ÖÀàÌÖÂÛÆäÉè¼ÆË¼Â·ºÍºÏ³É²ßÂÔ£¬²¢¹éÄɳöÆÕÊÊÐÔÉè¼ÆÔ­Ôò£»ÉÏÊöÔ­Ôò¿ÉÍêÈ«ÍØÕ¹Ó¦ÓÃÓÚÆäËü¼«ÐÔËÞÖ÷µÄÉè¼Æ¡£2.»ùÓÚ½ðÊôÁò»¯Îï×Ô...
µç»¯Ñ§
  • 200
  • 4

ï®Áòµç³Ø²âÊÔÇóÖú

125o0
´ó¼ÒºÃ£¬±¾È˸տªÊ¼×öï®Áòµç³Ø£¬Ê²Ã´¶¼²»¶®¡£°´ÕÕÎÄÏ×ÉÏÊÔ×öÁ˼¸¸ö¡£ÎÒÕý¼«ÊÇS£ºÒÒȲºÚ£ºPVDF=6£º3£º1ÊÖ¶¯ÑÐÄ¥£¬È»ºó2g¹ÌÌ壺13mlNMP½Á°è2Ì죬֮ºóÒÔ300um¹Îµ¶Í¿¸²ÔÚÂÁ²­ÉÏ120¶È¸ÉÔïÒ»ËÞ£¬½µÎºó12mm²ÃƬ£¬Ñ¹Æ¬£¬³ÆÁ¿ºó120¶ÈÕæ¿Õ¸ÉÔïÒ»ËÞ£¬S¸º...
µç»¯Ñ§
  • 300
  • 6

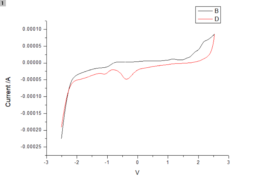
ÇóÖú£¬²»Í¬É¨ËÙ¶ÈϲâµÃµÄCVÇúÏßΪºÎ²»Æ½»¬Óв¨ÀËÐΣ¿

zhmiao119
²»Í¬É¨ËÙ¶ÈϲâµÃµÄcvÇúÏߣ¬ÎªºÎÇúÏß²»Æ½»¬£¬Óв¨ÀËÐΣ¿ÊDzâÊÔµÄÔ­ÒòÂð£¿×øµÈ¸ßÊÖ½â´ð¡£Í¼Æ¬1.jpg
µç»¯Ñ§
  • 200
  • 4

¸ßÄøÈýÔªÕý¼«²ÄÁÏÏà¹ØÎÊÌâ

ÅÀǽСѧÔü
ÐÂÊÖһö£¬ÇëÎÊ´ó¼ÒһЩNCM523²ÄÁÏÅä±ÈÎÊÌ⣺1.ʹÓÃNCM523ºÍNCM811ʱճ½á¼ÁŨ¶ÈÒ»°ã·Ö±ðÊǶàÉÙ2.»îÐÔ²ÄÁÏNCM523£ºµ¼µç¼Á£ºÕ³½á¼ÁµÄÅä±ÈÊǶàÉÙ£¿Ð»Ð»´ó¼Ò£¬×î½ü°´ÕÕÅä±ÈµÄЧ¹û¶¼²»Ì«ºÃ£¬ÏëÏò´ó¼ÒÇóÖú
µç»¯Ñ§
  • 450
  • 9

ºãµçλµÎ¶¨ºÍCVÇúÏßÊ²Ã´Çø±ð£¿

sdos
Á½Õß¶¼ÊǸıäµçѹ£¬²âµçÁ÷¡£ºãµçλÊǼäЪʽ£¬CVÊÇÁ¬Ðø±ä»¯¡£ÔÚºãµçλµÎ¶¨¼äЪµçѹºÍCVµçѹ±ä»¯¶¼ºÜÂýµÄÇé¿öÏ£¬¶þÕߵõ½µÄµçÁ÷ÇúÏßÓ¦¸Ã»ù±¾Ò»Ö°ɣ¿Á½ÖÖ·½·¨×÷ÓÃÒ²Ó¦¸ÃÀàËÆ£¿
µç»¯Ñ§
  • 300
  • 6

µç»¯Ñ§¸¯Ê´ÊÔÑéÖаô×´²ÄÁÏ·â×°ÎÊÌâ¡£

»¯Ñ§¶ÆÑо¿
ÂíÉ϶԰ô×´²ÄÁϱíÃæµÄ½øÐÐÒ»¸öµç»¯Ñ§¸¯Ê´ÊÔÑ飬Ïê¼ûÈçͼËùʾ¡£µ«ÊÇÕâÁ½Ìì²»ÖªµÀ¸ÃÈçºÎ·â×°Õâ¸ö°ô×´²ÄÁÏ£¬ÈÃËü¶³ö´óÔ¼1ƽ·½ÀåÃ×µÄÇøÓò¡£ÊÔÁË»·ÑõÊ÷Ö¬£¬Ó¦¸Ã°ÑÊÔÑù·ÅÔÚʲôµØ·½Í¿£¿Á÷...
µç»¯Ñ§
  • 500
  • 10

¸»ï®ÃÌǰÇýÌ幺Âò

Ò»Ñõ»¯¶þÇâ+
ÇëÎʸ÷λ³æÓÑ£¬ÄÄÀï¿ÉÒÔÂòµ½¸»ï®ÃÌǰÇýÌå
µç»¯Ñ§
  • 400
  • 8

﮵ç³äµçʱ¼ä²»¹»¾Í½øÐÐÏÂÒ»´Î³ä·ÅµçÁË£¿ÇóÖú£¬¾ßÌåÈçÏÂ

tju´óÊå
³ä·ÅµçÒÔ0.1C±¶ÂʽøÐУ¬Èçͼ1£¬³ä·Åµçʱ¼ä²»¹»£¬¾ÍÏÂÒ»ÂÖÁË£¬ÕâÊÇΪɶ£¿µçѹ·¶Î§ÉèÖÃΪ2-4V£¬½á¹¹ÎªÁ×ËáÌúï®Õý¼«£¬¾ÛºÏÎïµç½âÖÊ£¬ï®¸º¼«£¬Ö®Ç°±ðµÄ¾ÛºÏÎïµç½âÖÊ£¬ÎÒÒ²ÊÇÕâô...
µç»¯Ñ§
  • 150
  • 3

Áò»¯ï®³Á»ýʵÑéÔõôÄâºÏ£¿

ħ֮˼
Áò»¯ï®³Á»ýʵÑé²âµÃµÄÊý¾ÝÔõôÄâºÏ£¬Ôõô×÷ͼѽ£¿ÓÐûÓÐÏà¹ØµÄÎÄÏ×»òÕ߽̳̰¡£¿ÇóÇó´óÉñÁË
µç»¯Ñ§
  • 800
  • 16

ʵÑéÊÒÊÖÌ×Ïä×°µÄï®Àë×Ó°ëµç³ØÊÇ·ñÐèÒª¼¤»î

lzj091636
ÎÒÊÇ×öï®Àë×Óµç³Ø¸º¼«²ÄÁϵģ¬Ä¿Ç°×öµ½¸´ºÏ²ÄÁÏÊǶþÑõ»¯ÎýÓë̼¸´ºÏ£¬ÒÔ´Ë×÷Ϊµç¼«²ÄÁÏ£¬ï®Æ¬×÷Ϊ¶Ôµç¼«£¬×é×°µÄ°ëµç³ØÔÚÎ人À¶µçÉ豸ÉÏÅܳöµÄÈÝÁ¿ºÜС£¬ÎÒÏëÇëÎÊÎÒ×é×°Íêµç³ØµÚÒ»´ÎÐèÒª¼¤»îÂ𣿼¤»îµÄ²½ÖèÊÇʲô£¿È»ºó¼¤»îºÍ³ä·Åµç¹¤²½ÊÇ·ñÒª·Ö¿ªÉèÖã¬ÎÒ¶Ôï®µç³Ø²âÊԺܲ»ÊìϤ£¬Ï£...
µç»¯Ñ§
  • 150
  • 3

¹ÌÌåµç½âÖÊ×迹BodeͼÔÚ¸ßÆµÇøÓеãÔÓÂÒ

Phoebe777
±¾ÈËÊÇÑо¿¹ÌÌåµç½âÖʵ쬲âÊÔ×迹ʱ·¢ÏÖBodeͼµÄÇ÷ÊÆ´ó¸Å¿ÉÒÔ¿´³ö£¬µ«µãµÄλÖò»ÊǺܹæÔò£¬ÏëÇë½ÌÒ»ÏÂÊÇʲôԭÒò£¿Ð»Ð»£¡ÈçͼËùʾ¡£Í¼.PNG
µç»¯Ñ§
  • 150
  • 3

Óлú»¯ºÏÎïµÄÑ­»··ü°²²âÊÔ

teng251344
ÓöþÂȼ×Íé×÷ÈܼÁ£¬ËĶ¡»ùÁù·úÁ×Ëáï§×÷µç½âÖÊ£¬É¨ÃèËÙ¶È100mv/s,Ϊʲô»¹Ô­·åÃ÷ÏÔ£¬Ñõ»¯·åûÓУ¿£¿£¿ÊDz»ÊÇɨÃèËÙ¶ÈÌ«¿ìÁË
µç»¯Ñ§
  • 200
  • 4

ÆÏÌÑÌǼîÐÔ´«¸Ð

muchoog
ÓдóÀÐÖªµÀÔÚ0.1MÇâÑõ»¯ÄÆÌåϵÀï×öÆÏÌÑÌǵĽ×ÌÝʱ£¬ÊÇÏò0.1MÇâÑõ»¯ÄÆÈÜÒºÀï¼ÓÈ뺬ÓÐÆÏÌÑÌǵÄÇâÑõ»¯ÄÆÈÜÒºÂð»¹ÊÇÔõôÌí¼ÓµÄ×Ô¼ºÒ»¸öÈË×öʵÑéºÃÎÞÖúÇóÖú´óÀÐÃÇ
µç»¯Ñ§
  • 300
  • 6

ËÄ̽Õë½á¹ûÓë¶þ̽ÕëÆ«²î

Axlaxl
×î½üÔÚÓÃËÄ̽Õë²âµçµ¼ÂÊ£¬ÀíÂÛÉÏÀ´ËµËÄ̽ÕëµÄ½á¹ûÓ¦¸ÃÓë¶þ̽ÕëÀàËÆÉõÖÁ´óһЩ£¬µ«ÊÇÏÖÔÚ¶þ̽Õë±ÈËÄ̽Õë½á¹û´ó£¬¸ü»»ÁËtipsµ«ÊÇûÓиÄÉÆ£¬Çó´óÉñÖ¸µã
µç»¯Ñ§
  • 300
  • 6

ÇëÎÊÎÄÏ×ÖÐligamentÊÇʲôÒâ˼£¿ÎªÊ²Ã´Ö±¾¶ºÜС£¿

leslie¡¢
±¾ÈËȼÁÏµç³ØÐ¡°×£¬×öORR´ß»¯¼ÁµÄ£¬ÏëÇëÎÊÒ»ÏÂÕâ¸öligamentÊÇʲôÒâ˼£¬¸úÉÏÃæÌáµ½µÄÄÉÃ×ÏßÓÐʲô²»Í¬£¿Ïêϸ¼ûÏÂͼ¡£Î¢ÐÅͼƬ_20200916110940.png
µç»¯Ñ§
  • 200
  • 4

ÈçºÎ½µµÍµç°þÀëÉú³ÉʯīϩµÄÑõº¬Á¿£¿

cangq
ÈçºÎ½µµÍµç°þÀëÉú³ÉʯīϩµÄÑõº¬Á¿£¿
µç»¯Ñ§
  • 150
  • 3

Ñ­»··ü°²ÇúÏßͼÆ×ÓÐë´Ì

huhuhu333
ÓÐË­ÖªµÀÑ­»··ü°²ÇúÏßΪʲô»áÓÐÕâô¶àë´ÌÂð£¿Á´½Ó:'https://pan.baidu.com/s/1wmRMvn9JOxU_3IzHnf6PeA'ÌáÈ¡Âë:cdmvÀí»¯ÓÐÏÞ¹«Ë¾
µç»¯Ñ§
  • 200
  • 4

΢ÉúÎïȼÁÏµç³ØÑô¼«CVÇúÏß³öÏֶϵãÊÇʲôԭÒò£¿

ÎÏÅ£ÎÏÅ£¿ñ±¼
Ñô¼«ÓõÄÊÇ̼ˢ£¬Èýµç¼«Ìåϵ£¬²Î±ÈÊDZ¥ºÍ¸Ê¹¯µç¼«£¬É¨Á˼¸´Î£¬¶¼»á³öÏֶϵ㣬¶øÇҶϵãµÄλÖò»¹Ì¶¨¡£ÇëÎÊÕâÊÇʲôԭÒòÄØ£¿ÊDzαȵ缫²»×¼ÁËÂð£¿BaiduShurufa_2020-...
µç»¯Ñ§
  • 150
  • 3

Ñô¼«Ñõ»¯ÖƱ¸¶þÑõ»¯îÑ

ËæÐÄС·¢
¸÷λ´óÀУ¬ÎªÊ²Ã´ÎÒÑô¼«Ñõ»¯îÑÆ¬£¬µç½âҺΪ¸ÊÓÍ·ú»¯ï§Ìåϵ£¬¼ÓÁËÉÙÐíË®£¬µçѹ60v£¬Ñõ»¯2hºóÊÇÕâÖÖÑù×Ó£¬¸Ð¾õ±íÃæÉîÉ«µÄ²¿·ÖÏñÊDZ»¸¯Ê´ÁËÒ»Ñù£¬Ò²²»ÖªµÀÉîÉ«µÄ²¿·ÖÊDz»ÊǶþÑõ»¯îÑ...
µç»¯Ñ§
  • 150
  • 3

DNA´óÉñÇëÁô²½£¡DNA WalkerÓë¾ùÏàÑ­»·ÐźŷŴóµÄÇø±ð£¿Çó½â»ó

ÀîÑо¿É®
±¾ÈËÊÇ×öµç»¯Ñ§ÉúÎï´«¸ÐÆ÷µÄ£¬×î½üÔÚ¿´¹ØÓÚDNAWalkerµÄÎÄÏ×£¬ÏëÈÃDNAWalkerÔÚÐÞÊεĵ缫ÉÏÔËÐУ¬ÏÂÃæÊÇÎÒµÄÎÊÌ⣺²½ÐÐÁ´´Óǰһ¸öµ×ÎïÁ´×ªÒƵ½ÏÂÒ»¸öµ×ÎïÁ´Ö®¼äµÄ¹ý³ÌÖÐÒ»°ãÊÇÔÚÈÜÒºÖУ¨ÌرðÊǵ¥×ãÐÍwalker£©£¬ÓÐןܴóµÄËæ»úÐÔ£¬Ò²¿ÉÄÜ»á´Ó²½ÐйìµÀÉϽâÀë...
µç»¯Ñ§
  • 200
  • 4

ÓÐûÓдóÉñÄܶԵ缫°ë·´Ó¦ºÍ×Ü·´Ó¦¶¯Á¦Ñ§Ö®¼äµÄ¹ØÏµ×öÒ»¸ö½â´ð£¿

Î÷±±Íû1992
ÎÒÃÇÖªµÀµç¼«·´Ó¦£¬²»¹ÜÊÇÒõ¼«£¬Ñô¼«£¬Õý¼«»¹ÊǸº¼«Æä·¢ÉúµÄ·´Ó¦¶¼ÊÇÒ»¸ö°ë·´Ó¦£¬ÀýÈçÇâȼÁÏµç³Ø£¬Õý¼«·¢ÉúµÄÊÇO2µÃµç×ÓÉú³ÉË®µÄ·´Ó¦£¬¸º¼«·¢ÉúµÄÊÂH2ʧȥµç×Ó±ä³ÉHÀë×ӵķ´Ó¦¡£Ä¿Ç°ºÜ¶àÈ˶¼ÔÚ¿ª·¢¸ßЧ´ß»¯¼ÁÀ´Ìá¸ßµç¼«°ë·´Ó¦µÄ¶¯Á¦Ñ§£¬±ÈÈç·Ö±ð¿ª·¢Çâ·´Ó¦ºÍÑõ·´Ó¦µÄ´ß»¯¼Á£¬...
µç»¯Ñ§
  • 300
  • 6

΢ÉúÎïȼÁÏµç³Ø

zzp000
΢ÉúÎïȼÁÏµç³ØµÄÒõ¼«ÓÃÁËÒ»¶Îʱ¼äºóÐÔÄܱä²îÁË£¬ÓÐûÓÐʲô°ì·¨¸ÄÉÆÒ»Ï£¿
µç»¯Ñ§
  • 650
  • 13

ÄÆÎøµç³ØNa-Se³äµçÎÊÌâÇë½Ì-¼±

Ôε¹Ò»ÏÂ
×öµÄÄÆÎøµç³ØNa-Se£¬³äµç³öÏÖÎÊÌ⣬²»ÖªµÀʲôÇé¿ö£¬»¹Çë¸ßÈËÖ¸µã£¬Ìظ½ÉÏÓÐÎÊÌâºÍÕý³£µÄÇúÏßͼ£¬µÚÒ»·ùͼÊÇÕý³£µÄ³ä·Åµç£¬ºó±ß¶¼ÊÇÔÚ³äµçµÄ¹ý³ÌÖг䲻ÉÏÀ´»Ø¸¡¶¯£¬²»ÖªµÀʲôԭ...
µç»¯Ñ§
  • 350
  • 7
ÏÂÔØÐ¡Ä¾³æAPP
Óë700Íò¿ÆÑдïÈËËæÊ±½»Á÷
  • ¶þάÂë
  • IOS
  • °²×¿