电化学阻抗谱(EIS)没有明显半圆
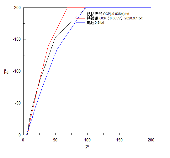
请问一下大佬,为什么我的阻抗没有明显的圆弧呢?频率是0.01-100000Hz,材料是金属粉末负载在玻碳电极上,然后参比是汞氧化汞,电解液是1M KOH,是因为频率上限低了吗?(目的是比较其电荷转移电阻)

E]VV5S0VV{)HQHM7SGX1MZP.png

HG(7J1I2O~_(_}DOB8VW~BB.png
返回小木虫查看更多
今日热帖
请问一下大佬,为什么我的阻抗没有明显的圆弧呢?频率是0.01-100000Hz,材料是金属粉末负载在玻碳电极上,然后参比是汞氧化汞,电解液是1M KOH,是因为频率上限低了吗?(目的是比较其电荷转移电阻)

E]VV5S0VV{)HQHM7SGX1MZP.png

HG(7J1I2O~_(_}DOB8VW~BB.png
返回小木虫查看更多
8
怎么是负的?
说明电荷转移阻抗比较大,可以提高电势来看一下
,