小木虫
登陆
|
注册
首页
导读
期刊
发现
社区
招聘老师
当前位置:
小木虫首页
>> 有机
常温下怎么检测1H-1,2,3-三氮唑?
小胡在努力
请教一下大家,1H-1,2,3-三氮唑的熔点是22--23℃,常温下为液体,有什么方法适合实验室快速检测?
有机
250
5
对甲苯磺酰氯和醇羟基反应
Ziqi0104
我的反应原料是对甲苯磺酰氯和聚碳酸酯二醇,溶剂是二氯甲烷,三乙胺过量,在冰浴中加入对甲苯磺酰氯,然后在室温(30度左右)搅拌下反应,目标产物是两段羟基接TS,所以TSCl是过量的,经过爬板发现原料剩很多,一直反应不上,这是哪里出问题了呀,有哪位大佬可以指点一下...
有机
500
10
如何调节异氰酸酯和胺的反应速率?
缘溪入深境
TDI的异氰酸酯基和芳伯胺反应(不能换掉这俩,可对他俩改性),有什么方法可以减慢或加快它的反应速率吗?自己有机不扎实,想问比如加羧酸,醛酮之类的能起到调节作用吗?
有机
200
4
对氨基苯甲酸和氢氧化钾反应如何?
FPP701268
做实验一开始用的钠盐对氨基苯磺酸是完全溶了的,但是换成氢氧化钾就没有完全溶解,这是怎么回事啊?
有机
650
13
请问如何计算真空度
ycitwg1983
各位大神,最近在精馏一种化学物质。沸点162℃,请问多少真空度下才能在60℃以下出馏分。该物质在60℃以上就开始分解了,所以想在不超过60℃,拿出该物质。请路过的各位大神多指教,如何操作和计算真空度
有机
200
4
羰基的选择性还原
986300083
一个化合物没有酮羰基又有内酯,如何选择性的只还原内酯到半缩醛?
有机
150
3
旋蒸后产物是液体,用无水乙醇重结晶后也是黄色的粘稠的油状,怎么回事?
congifer
大家好,旋蒸后产物是液体,用无水乙醇重结晶后也是黄色的粘稠的油状,怎么回事?是产物不纯,还是其他原因?
有机
250
5
求 ChemBio Office 谁有分享下一下啊谢谢了
monoceros
求ChemBioOffice谁有分享下一下啊谢谢了越新越好2016之后的微信443030426
有机
350
7
两个羟基脱水成环
风起花开
请问两个羟基脱水成六元环有什么方法?
有机
150
3
关于pd/c和醛反应的机理
Pandanomo
T.Poo?ski,M.J.Milewska,E.Tykarska,M.Gdaniec,SynthesisandStructureofBicyclicImidesandD...
有机
150
3
双胍合成(双氰胺为原料)
zjcgss
双氰胺为原料合成双胍,用什么条件比较好
有机
600
12
双氰胺为原料合成双胍,用什么条件比较好
zjcgss
双氰胺为原料合成双胍,用什么条件比较好
有机
600
12
产物为什么得到的是油状物?
战善123
产物已经过了柱子,过之前是淡黄色的油状物,过之后为何还是淡黄色的油状物,为什么得不到固体???请求大神,帮帮忙支支招,我点板产物就一个斑点。(我的产物分子是一个醇,就一个羟基,分子量两百多)
有机
750
15
现在还能买得到联苯胺做反应用吗?
lin1123
18年公布联苯胺是一类致癌物以后好像差不多都下架了,我其实也不想用它,但老板坚持要用,有人能告诉我还有的买吗?最好没有→_→,让他死心。
有机
150
3
从植物中分离的化合物,tlc点板有蓝色荧光点,打核磁只有溶剂峰是为什么?
三个NSF
从植物中分离的化合物,tlc点板有蓝色荧光点,打核磁只有溶剂峰是为什么?样品溶解性不好,用氯仿、dmso、甲醇都只有溶剂峰,但甲醇溶解打完核磁后点tlc还是有蓝色荧光点,这是怎么回事儿?急求帮助!!!!
有机
400
8
核磁谱图求助,1.2处峰0.08处峰太高怎么办
fjkcfnjmj
核磁软件上信号压制这个功能可以使用吗,算是造假吗
有机
500
10
上海本昂科学仪器的MA-10型卡尔费休水分测定仪怎么样?
日落时看海
上海本昂科学仪器的MA-10型卡尔费休水分测定仪怎么样?测得准不准,易不易坏之类的。希望大家多说说。
有机
2000
40
哪个酸性更强,为什么?
ygl820
哪个酸性更强,为什么?
有机
300
6
求助如何去除反应底物环己酮
dgjcm
求助如何去除反应底物环己酮,生成的产物微溶于水、溶于乙醇二氯甲烷等有机溶剂,该如何分离出环己酮呢,萃取可以吗
有机
350
7
四氯化硅瓶子打不开怎么办
komorebiJY
1.四氯化硅塞子打不开怎么处理2.什么样的塞子才能避免类似情况发生
有机
450
9
晶体 Flack parameter常数
qysongyi
我做的晶体数据,Flackparameter0.3(10),能定绝对构型吗?在帖子中也有说Flack系数正负0.5就可以,到底怎么回事呢?
有机
200
4
对苯二胺加氢制备环己二胺
zjzq169
反应完成后如何对环己二胺进行提纯处理
有机
300
6
求帮忙看下,这个怎么没有一点反应?
释怀一切
求帮忙看下,按照参考文献,这个怎么没有一点反应?两个起始物料做了NMR,都与参考文献相符。两个起始物料都没有问题。反应过程中,TLC中控时两个物料始终存在,就是一点都没反...
有机
900
18
结构中两个氟,但是氟谱出现三组峰,不知道什么问题?
飘逸的投篮
各位老师:有如下一个结构,做出来的氟谱有点不懂,想请大家帮忙看下,谢谢各位。celangtywugangkzhch2006
有机
1400
28
关于油状物析出固体的问题
顾大海
做的是曼尼希反应,反应后对溶液进行浓缩得到黄色的油状物质。文献上说用异丙醇沉淀析出固体产物,但是自己加了异丙醇只能得到白色的粘稠物并没有固体析出。想请问下有用异丙醇沉淀产...
有机
700
14
四氟硼酸重氮盐合成提纯的问题
老kan
合成了4-乙烯苯四氟硼酸重氮盐,怎么提纯呢?下面是得到的固体(形状不太好,块还是软软的),还有红外谱,求大佬指教
有机
250
5
只支撑文献怎么找原文献?
bygj最光阴
老板半夜给我发了一篇文献的si,让我找原文献发给他,但是si里没有原文献的标题和doi号,这可怎么找?
有机
400
8
由环己烯合成反—1,2-氯环己烷为什么不可以直接与氯气反应?
泡泡龙xfs
由环己烯合成反—1,2-氯环己烷为什么不可以直接与氯气反应?要先跟次氯酸反应在用三氯化磷取代?[LasteditedbyFlyingdragonon2021-4-15at20:31]
有机
300
6
7—氨基取代香豆素与2,4—二硝基苯磺酰氯反应
我想拥有名字
7—氨基取代香豆素与2,4—二硝基苯磺酰氯反应,目标产物氨基与酰氯连接,吡啶为催化剂,二氯甲烷为溶剂,点板后有目标产物生成,但产率非常非常小很小,还有很多的香豆素没有反应,提高了苯磺酰氯的用量,延长反应时间都没太大的效果,求大神指点.....被生活打败了......
有机
1000
20
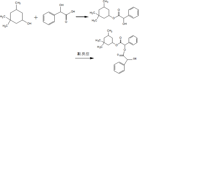
求助、讨论如何抑制该副反应的进行
mengweicheng
求助、讨论如何抑制该副反应的进行01.png
有机
150
3
30902
1 ...
‹‹
19
20
21
22
23
24
››
... 1031
板块导航
网络生活
育儿交流
健康生活
有奖问答
资源共享
课件资源
试题资源
化学化工
有机
高分子
无机物化
分析
催化
工艺技术
化工设备
化工
精细化工
电化学
环境
专业学科
机械
物理
数学
农林
食品
地学
能源
信息科学
理工农林
科研生活
博后之家
专业外语
外语学习
导师招生
找工作
招聘信息
考研
考博
公务员
生物医药
新药研发
药学
药品生产
分子生物
微生物
动植物
生物科学
医学
材料
材料
材料工程
微米纳米
晶体
金属
非金属
生物材料
功能材料
复合材料
计算模拟
第一原理
量子化学
计算模拟
分子模拟
仿真模拟
程序语言
学术交流
论文投稿
基金申请
学术会议
出国留学
留学生活
公派出国
访问学者
海外博后
留学DIY
签证指南
出国考试
海外院所
注册执考
化工工程师
执业药师
执业医师
环境工程师
会计师
注册考试
24小时热帖
换一批
材料/农业专业,07/08开头均可,过线就行
4
327求调剂
5
361求调剂
3
一志愿中南大学化学学硕0703总分337求调剂
5
一志愿北京化工大学 070300 学硕 336分 求调剂
6
应助之星
luolinfeng
+关注
nBu锂
+关注
kopsia
+关注
下载小木虫APP
与700万科研达人随时交流
二维码
IOS
安卓
欢迎监督和反馈
:小木虫仅提供交流平台,不对该内容负责。
欢迎协助我们监督管理,共同维护互联网健康,违规贴举报删除请联系邮箱:xiaomuchong@tal.com
(点此查看侵权举报方式)
我们保证在7个工作日内给予处理和答复,谢谢您的监督。
©2001-2026 muchong.com,小木虫
京ICP备16008351号
京公网安备 11010802022153号
Copyright © 2001-2026 muchong.com, All Rights Reserved. 小木虫 版权所有