题目:设[latex]f(x)\in C^{2}_{[0,1]}[/latex],试计算极限:
[latex]\lim\limits_{n\to+\infty}n\left(n\int_0^1x^nf(x)dx-f(1)\right)=?[/latex]
-f(1)-f'(1). 首先,极限中的积分的下端点可以换成任意固定的数A,其中0<A<1,因为f有界。 然后,挑选A和C,使得|f(x)-f(1)+f'(1)(x-1)|<C(x-1)^2对任意A<x<1. 最后,计算即可(容我偷个懒,不贴太繁琐)。
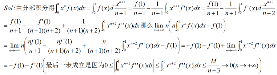
用分部会很方便。 极限加边.png
-f(1)-f'(1).
首先,极限中的积分的下端点可以换成任意固定的数A,其中0<A<1,因为f有界。
然后,挑选A和C,使得|f(x)-f(1)+f'(1)(x-1)|<C(x-1)^2对任意A<x<1.
最后,计算即可(容我偷个懒,不贴太繁琐)。
用分部会很方便。

极限加边.png
这个证明有两处凝问:1.最后第二步中第一项-f(1)是怎么得到的呢?
2.最后的结果中,最后的积分余项中,函数的二次导数怎么就是有界M呢
,