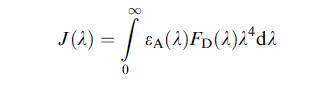
FRETÌåϵÖÐJ(¦Ë)µÄ¼ÆËã
ÒѾ֪µÀÓй«Ê½

ÆäÖÐJ(¦Ë)Êǹ©ÊÜÌåµÄ½»µþ´¦»ý·ÖÃæ»ýJ(¦Ë)¡£

FD(¦Ë)ºÍ¦Å(¦Ë)·Ö±ðÊǹ©ÌåµÄÓ«¹â·¢ÉäÇ¿¶ÈºÍÊÜÌåµÄĦ¶ûÏû¹âϵÊý¹ØÓÚ²¨³¤µÄ¹«Ê½¡£ÏȲ»¿¼ÂÇ»ý·ÖÔõôÇóµÄÎÊÌ⣬¹âÊÇÕâ¸ö±í´ïʽ±íʾµÄÎïÀíÒâÒåÓ¦¸Ã¾Í²»Êǽ»µþ´¦µÄ»ý·ÖÃæ»ý°É¡£ÁíÍâÁ½¸öº¯ÊýµÄ×Ý×ø±êÍêÈ«²»Í¬£¬²¢ÇÒûÓп¼ÂÇÏÁ·ì¿í¶È¡£Èç¹û²»¿¼ÂÇÕâЩÒòËØ£¬ÕâÁ½¸öº¯Êý²»ÊÇ¿ÉÒÔÔÚ×Ý×ø±êÉÏËæÒâÀÉì¡£»ý·ÖµÄÃæ»ýÒ²»áÓкܴóµÄ±ä»¯°¡¡£
ÇóÖú¸÷λ¸ßÊÖÕâ¸öJ(¦Ë)ÔÚ¾ßÌ弯ËãµÄʱºòµÄ²½ÖèÊÇÔõÑùµÄ¡£Çë²»Áߴͽ̡£¡£¡£
½ð±Ò¿ÉÒÔ¼Ó¡£¡£
·µ»ØÐ¡Ä¾³æ²é¿´¸ü¶à
½ñÈÕÈÈÌû
¾©¹«Íø°²±¸ 11010802022153ºÅ
»ý·Ö£¬²¢Çó×îСֵ¡£
Á½±ßÇúÏßÄâºÏ£¬±ÈÈç¸ß˹ÐÍʲôµÄ¡£
È»ºóÇ󽻵㣬Ӧ¸ÃÊÇ¿ØÖÆ·åÐͺͷåµÄÖÐÐÄλÖã¬Ê¹µÃÒõÓ°²¿·ÖÃæ×îУ¬