| ²é¿´: 2156 | »Ø¸´: 10 | ||||
| ±¾Ìû²úÉú 1 ¸ö ÊýѧEPI £¬µã»÷ÕâÀï½øÐв鿴 | ||||
luywгæ (³õÈëÎÄ̳)
|
[ÇóÖú]
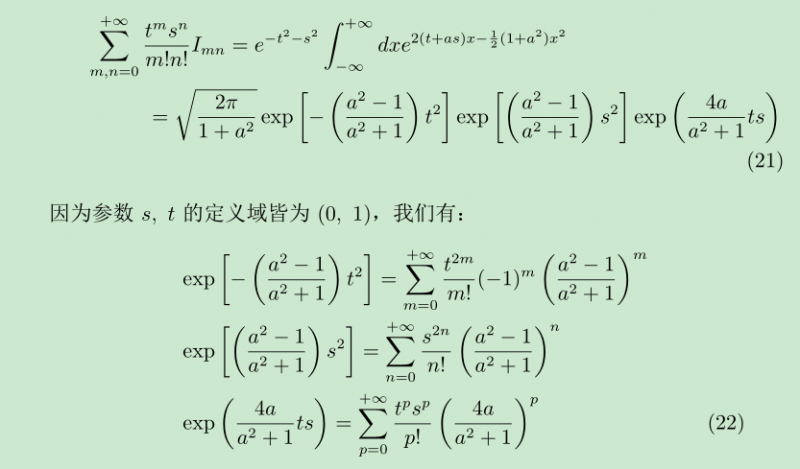
ÈçºÎ¼ÆËãÕâ¸ö»ý·Ö£¿ ÒÑÓÐ1È˲ÎÓë
|
|||
|
|
||||
| »ØÌûÖö¥ ( ¹²ÓÐ1¸ö ) | ||||
racoon01ר¼Ò¹ËÎÊ (ÖøÃûдÊÖ)
|
||||
![]() |
||||
|
5Â¥2015-05-16 21:24:47
|
|
|||
| »ØÌûÖ§³Ö ( ÏÔʾ֧³Ö¶È×î¸ßµÄǰ 50 Ãû ) | ||||
racoon01ר¼Ò¹ËÎÊ (ÖøÃûдÊÖ)
|
¡¾´ð°¸¡¿Ó¦Öú»ØÌû
¡ï ¡ï
¸Ðл²ÎÓ룬ӦÖúÖ¸Êý +1 feixiaolin: ½ð±Ò+2 2015-05-16 18:20:46
|
|||
![]() |
||||
|
2Â¥2015-05-15 17:14:27
|
|
|||
hank612ÖÁ×ðľ³æ (ÖøÃûдÊÖ)
|
¡ï ¡ï ¡ï ¡ï ¡ï ¡ï
feixiaolin: ½ð±Ò+6 2015-05-16 18:20:32
|
|||
![]() |
||||
|
3Â¥2015-05-16 07:47:55
|
|
|||
racoon01ר¼Ò¹ËÎÊ (ÖøÃûдÊÖ)
|
¡¾´ð°¸¡¿Ó¦Öú»ØÌû
|
|||
![]() |
||||
|
4Â¥2015-05-16 18:07:03
|
|
|||
| ÆÕͨ»ØÌû | ||||
hank612ÖÁ×ðľ³æ (ÖøÃûдÊÖ)
|
||||
![]() |
||||
|
6Â¥2015-05-17 05:40:23
|
|
|||
racoon01ר¼Ò¹ËÎÊ (ÖøÃûдÊÖ)
|
||||
![]() |
||||
|
7Â¥2015-05-17 07:15:21
|
|
|||
¾äºÅ365½ð³æ (СÓÐÃûÆø)
|
||||
|
8Â¥2015-05-17 07:25:38
|
|
|||
feixiaolinÈÙÓþ°æÖ÷ (ÎÄ̳¾«Ó¢)
|
||||
|
9Â¥2015-05-17 07:40:29
|
|
|||
luywгæ (³õÈëÎÄ̳)
|
||||
|
10Â¥2015-05-18 14:10:44
|
|
|||














»Ø¸´´ËÂ¥
luyw
20