| 查看: 1412 | 回复: 3 | |
[求助]
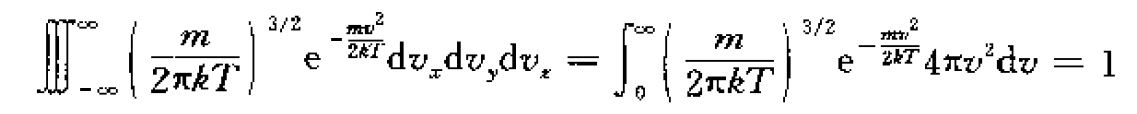
气体动理论 玻尔兹曼分布律 对速度积分 是如何求得的?
|
|
|
|
|
|
2楼2012-08-20 21:13:40
|
|
![]() |
|
|
3楼2012-08-20 21:25:59
|
|
|
4楼2012-08-21 14:23:31
|
|














回复此楼
设计师
