| 查看: 1786 | 回复: 21 | |||
[交流]
如何求解带有固定参数的超定方程组? 已有2人参与
|
|||
|
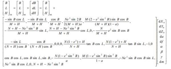
请教大家一个问题:求解超定方程组 Y={B}X,B是n行9列的系数矩阵,X是9行一列的参数矩阵,Y是n行一列的矩阵, 可以使用最小二乘法求解这个超定方程组。现在有一个问题就是,在参数矩阵X的9个参数中,其中两个参数的值固定,请问题应该怎样计算这个超定方程组的参数啊?如图片中所示,da和df两个参数的值是已知的,对于这个超定方程组应该怎样求解? 方程.JPG |
» 本帖已获得的红花(最新10朵)
» 猜你喜欢
353求调剂
已经有7人回复
求调剂
已经有7人回复
材料化工306分找合适调剂
已经有11人回复
调剂
已经有8人回复
工科求调剂
已经有13人回复
复试调剂
已经有5人回复
一志愿北京化工085600 310分求调剂
已经有11人回复
一志愿北京2,材料与化工308求调剂
已经有10人回复
0817化学工程与技术求调剂,一志愿中海洋319
已经有9人回复
一志愿电子科技大学085600材料与化工 329分求调剂
已经有6人回复
» 本主题相关价值贴推荐,对您同样有帮助:
新手请各路大神指教,8个偶合方程组(非线性,有10个变量)该如何求解
已经有5人回复
求解一个方程组,谢谢
已经有3人回复
拟牛顿法求解复杂(带根号的)非线性方程组
已经有17人回复
求Matlab高手解决线性方程组的迭代求解问题
已经有17人回复
最速下降法法求解线性方程组?
已经有5人回复
关于微分方程组的求解
已经有4人回复
matlab求解非线性方程组,错误提示怎么解决
已经有5人回复
请大家帮我看看这样复杂的方程组用什么方法求解比较好?
已经有3人回复
求助!matlab用fsolve函数求解非线性方程组的问题!
已经有19人回复
matlab有限差分法求解复杂的偏微分方程组
已经有19人回复
matlab微分方程组参数拟合,以周为单位求解,汇总后以年为单位进行数值比较
已经有4人回复
请问如何求解二元一阶微分方程组
已经有24人回复
matlab的fsove 命令求解非线性方程组
已经有6人回复
求解积分方程组!
已经有9人回复
【求助】求解一组方程组
已经有9人回复
【求助】用mathematica 5.0求解一个非线性方程组失败,特发帖求助!
已经有5人回复
【求助】matlab怎么求解偏微分方程组啊,先谢谢了
已经有13人回复
【求助】有限元法求解二阶偏微分方程组
已经有6人回复
pippi6
铁杆木虫 (著名写手)
工程和科学数值计算咨询
- 数学EPI: 6
- 应助: 413 (硕士)
- 贵宾: 0.002
- 金币: 7116.5
- 散金: 15
- 红花: 63
- 帖子: 1639
- 在线: 798.9小时
- 虫号: 2469437
- 注册: 2013-05-14
- 专业: 计算数学与科学工程计算
2楼2013-06-03 22:16:51
leungzipang
银虫 (小有名气)
- 应助: 27 (小学生)
- 金币: 322.5
- 散金: 411
- 红花: 4
- 帖子: 144
- 在线: 52.1小时
- 虫号: 2361501
- 注册: 2013-03-20
- 性别: GG
- 专业: 天体力学和人造卫星动力学
3楼2013-06-05 13:44:41
pippi6
铁杆木虫 (著名写手)
工程和科学数值计算咨询
- 数学EPI: 6
- 应助: 413 (硕士)
- 贵宾: 0.002
- 金币: 7116.5
- 散金: 15
- 红花: 63
- 帖子: 1639
- 在线: 798.9小时
- 虫号: 2469437
- 注册: 2013-05-14
- 专业: 计算数学与科学工程计算
5楼2013-06-15 07:04:41
4楼2013-06-15 06:51:43
6楼2013-06-15 07:20:18
7楼2013-06-15 07:28:41
pippi6
铁杆木虫 (著名写手)
工程和科学数值计算咨询
- 数学EPI: 6
- 应助: 413 (硕士)
- 贵宾: 0.002
- 金币: 7116.5
- 散金: 15
- 红花: 63
- 帖子: 1639
- 在线: 798.9小时
- 虫号: 2469437
- 注册: 2013-05-14
- 专业: 计算数学与科学工程计算
8楼2013-06-15 08:51:19
|
pippi6,你好,不好意思,是我在5楼回复中没有说明清楚。我意思是把两个已经知道值的参数即da和df,代入这个方程组,将这个方程组降阶为七参数,再用最小二乘法求出这七个参数解。然后再用没有参与计算这七个参数的点座标值来检验使用这七个参数进行坐标转换时是否达到足够的精度。 这一种方法我已尝试过,结果不是很理想,原因需进一步探究。 今天在思考这个问题时,能否可以这样做: 因为有足够多的重合点(在两个坐标系中都有准确的坐标值),这样忽略两个已知的参数,将重合点坐标直接代入方程组,用最小二乘法求出九个参数值,再舍弃已知两个参数的最小二乘解,采用剩余的七个参数来进坐标系转换。 这种方法从技术上可以走的通,不知从理论是否能解释的通? [ Last edited by fltjzit on 2013-6-15 at 16:34 ] |
9楼2013-06-15 16:29:39
pippi6
铁杆木虫 (著名写手)
工程和科学数值计算咨询
- 数学EPI: 6
- 应助: 413 (硕士)
- 贵宾: 0.002
- 金币: 7116.5
- 散金: 15
- 红花: 63
- 帖子: 1639
- 在线: 798.9小时
- 虫号: 2469437
- 注册: 2013-05-14
- 专业: 计算数学与科学工程计算
10楼2013-06-15 17:10:05














回复此楼
fltjzit