| ²é¿´: 1719 | »Ø¸´: 9 | ||
xhw2211½ð³æ (ÕýʽдÊÖ)
|
[ÇóÖú]
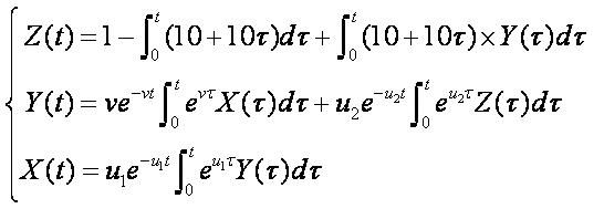
Çó½â»ý·Ö·½³Ì×é!
|
|
|
|
||
xhw2211½ð³æ (ÕýʽдÊÖ)
|
||
|
2Â¥2011-07-15 17:03:17
|
|
|
xhw2211½ð³æ (ÕýʽдÊÖ)
|
||
|
3Â¥2011-07-15 17:08:14
|
|
|
xhw2211½ð³æ (ÕýʽдÊÖ)
|
||
|
4Â¥2011-07-16 18:44:58
|
|
|
aloft½ð³æ (ÕýʽдÊÖ)
|
||
![]() |
||
|
5Â¥2011-07-16 21:42:15
|
|
|
aloft½ð³æ (ÕýʽдÊÖ)
|
¡ï
lovibond(½ð±Ò+1): ¹ÄÀøÓ¦Öú 2011-07-16 23:03:32
|
|
![]() |
||
|
6Â¥2011-07-16 22:29:04
|
|
|
aloft½ð³æ (ÕýʽдÊÖ)
|
||
![]() |
||
|
7Â¥2011-07-16 22:33:19
|
|
|
xhw2211½ð³æ (ÕýʽдÊÖ)
|
|
|
|
8Â¥2011-07-17 10:21:05
|
|
|
aloft½ð³æ (ÕýʽдÊÖ)
|
¡¾´ð°¸¡¿Ó¦Öú»ØÌû
xhw2211(½ð±Ò+150): ·Ç³£¸ÐлÄãµÄÈÈÐÄ£¬ÎÞÒԻر¨£¬ÔÙ¶à¸øÄã50¸ö½ð±Ò 2011-07-17 20:02:38
|
|
![]() |
||
|
9Â¥2011-07-17 17:33:20
|
|
|
grangergagaľ³æ (ÕýʽдÊÖ)
|
||
|
10Â¥2021-04-13 00:54:34
|
|














»Ø¸´´ËÂ¥
