| 查看: 1233 | 回复: 4 | ||
xhw2211金虫 (正式写手)
|
[求助]
积分方程组求解
|
|
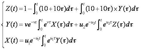
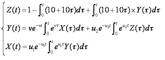
X,Y,Z为待求表达式(将来包含自变量t的X,Y,Z表达式求解出来以后,会把自变量t的值带进去,以便观察X,Y,Z的取值变化)。U1,U2,V都是一个定值。 尝试在matlab里面求解积分方程,可惜matlab也不是很精通阿,总是解不出来。哪位达人能帮忙把这个积分方程组用matlab求解出来最好(没有解析表达式的话,数值解也可以。例如可以把t(0 |
» 猜你喜欢
一志愿南京航空航天大学 材料与化工329分求调剂
已经有8人回复
材料专硕283求调剂
已经有18人回复
301求调剂
已经有4人回复
286求调剂
已经有6人回复
297分083200求助
已经有5人回复
281求调剂
已经有4人回复
0703调剂,一志愿天津大学319分
已经有10人回复
085600材料与化工301分求调剂院校
已经有11人回复
336材料与化工085600求调剂
已经有9人回复
312求调剂
已经有9人回复
» 本主题相关价值贴推荐,对您同样有帮助:
求解积分方程组!
已经有9人回复
【求助】多元方程组求解及拟合
已经有9人回复
【求助】向各位大侠求助matlab求解微分方程组遇到的一个问题
已经有21人回复
【求助】MATLAB 有限差分法(FDM)求解偏微分方程
已经有22人回复
【求助】积分微分方程matlab求解
已经有6人回复
【求助】求教这种微分方程的详细求解过程
已经有14人回复
xhw2211
金虫 (正式写手)
- 应助: 0 (幼儿园)
- 金币: 9240.1
- 红花: 1
- 帖子: 301
- 在线: 56.3小时
- 虫号: 570836
- 注册: 2008-06-08
- 专业: 机械结构强度学
2楼2011-07-17 10:24:55
xhw2211
金虫 (正式写手)
- 应助: 0 (幼儿园)
- 金币: 9240.1
- 红花: 1
- 帖子: 301
- 在线: 56.3小时
- 虫号: 570836
- 注册: 2008-06-08
- 专业: 机械结构强度学
3楼2011-07-17 12:07:06
xhw2211
金虫 (正式写手)
- 应助: 0 (幼儿园)
- 金币: 9240.1
- 红花: 1
- 帖子: 301
- 在线: 56.3小时
- 虫号: 570836
- 注册: 2008-06-08
- 专业: 机械结构强度学
4楼2011-07-17 20:04:32

5楼2011-07-17 20:26:01














回复此楼