| 查看: 1049 | 回复: 4 | ||
[求助]
关于微分方程组的求解
|
|
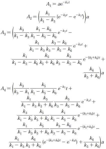
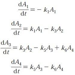
请教虫友关于关于微分方程组的求解(见图1): 1.用什么软件运算才可以得到图2的解(图2中的a去掉或认为a=1),也就是说怎样才可以得到图2的解(不包括图2中的a,因为解中是没有a的,a是t=0时,A1=a)。 2.如果用matlab具体怎样操作?谢谢 图1.jpg 图2.jpg [ Last edited by cooking on 2012-10-13 at 11:12 ] |
» 猜你喜欢
285求调剂
已经有15人回复
325 调剂
已经有5人回复
求调剂 一志愿西南交通大学085701环境工程 282分
已经有14人回复
一志愿南科大生物学297分,求调剂推荐
已经有8人回复
288环境专硕,求调材料方向
已经有27人回复
初试301,代码085701环境工程,本硕一致,四六级已过,有二区一作,共发表5篇论文
已经有12人回复
一志愿华东理工085601材料工程303分求调剂
已经有8人回复
求调剂
已经有3人回复
372分材料与化工(085600)英二数二求调剂
已经有3人回复
生物与医药273求调剂
已经有9人回复
» 本主题相关价值贴推荐,对您同样有帮助:
matlab求解偏微分方程组
已经有3人回复
matlab微分方程组参数拟合,以周为单位求解,汇总后以年为单位进行数值比较
已经有4人回复
Matlab求解偏微分方程组
已经有22人回复
请问如何求解二元一阶微分方程组
已经有24人回复
matlab数值求解边界条件微分方程组
已经有7人回复
高金求助matlab解微分方程组
已经有12人回复
matlab解微分方程组
已经有15人回复
一个微分方程组,求解
已经有18人回复
【高奖励】消灭5月份0回复
已经有20人回复
LABVIEW四阶龙格库塔法求解一阶微分方程组
已经有12人回复
【求助】向各位大侠求助matlab求解微分方程组遇到的一个问题
已经有21人回复
【求助】这个微分方程组simulink求解到底错在哪里?
已经有3人回复
【求助】急请微分方程高手看下这个方程组!
已经有14人回复
【求助】偏微分方程和常微分方程组成的方程组怎么求,大家帮帮忙啊
已经有3人回复
【求助】matlab怎么求解偏微分方程组啊,先谢谢了
已经有13人回复
guardian_qq
银虫 (小有名气)
- 应助: 34 (小学生)
- 金币: 431.3
- 红花: 2
- 帖子: 87
- 在线: 45.8小时
- 虫号: 1727024
- 注册: 2012-03-30
- 性别: GG
- 专业: 半导体材料
2楼2012-10-13 13:35:21
3楼2012-10-13 17:10:45
guardian_qq
银虫 (小有名气)
- 应助: 34 (小学生)
- 金币: 431.3
- 红花: 2
- 帖子: 87
- 在线: 45.8小时
- 虫号: 1727024
- 注册: 2012-03-30
- 性别: GG
- 专业: 半导体材料
【答案】应助回帖
★ ★ ★ ★ ★ ★ ★ ★ ★ ★ ★ ★ ★ ★ ★ ★ ★ ★ ★ ★ ★ ★ ★ ★ ★ ★ ★ ★ ★ ★ ★ ★ ★ ★ ★ ★ ★ ★ ★ ★
cooking: 金币+40, ★★★★★最佳答案, 解决了!非常感谢! 2012-10-13 23:44:01
cooking: 金币+40, ★★★★★最佳答案, 解决了!非常感谢! 2012-10-13 23:44:01
|
我用的是Mathematics(我觉得符号运算不是Matlab的强项),直接输入: Simplify[ DSolve[ { y1'[t] + k1*y1[t] == 0, y2'[t] - k1*y1[t] + k3*y2[t] == 0, y3'[t] - k3*y2[t] + k5*y3[t] - k6*y4[t] == 0, y4'[t] - k5*y3[t] + k6*y4[t] == 0, y1[0] == a, y2[0] == 0, y3[0] == 0, y4[0] == 0 }, {y1[t], y2[t], y3[t], y4[t]}, t ] ] 然后按shift+enter就能得到你要的结果了。 (上面为了让你看清才写成那样的格式,其实格式无所谓的) |
4楼2012-10-13 18:02:35
醉乡常客
木虫 (知名作家)
混之
- 应助: 3 (幼儿园)
- 贵宾: 0.1
- 金币: 8147.2
- 散金: 866
- 红花: 12
- 沙发: 6
- 帖子: 5291
- 在线: 1424.7小时
- 虫号: 296889
- 注册: 2006-11-18
- 性别: GG
- 专业: 混了再混

5楼2012-10-13 18:32:21














回复此楼
cooking