当前位置:小木虫首页 >> 高分子

【双语阅读】高分子入门 — 环氧树脂胶黏剂应用指南

溺爱你爱
EpoxyAdhesiveApplicationGuide环氧树脂胶黏剂应用指南下载地址:'https://www.zhisci.com/pdfshow/17917'Th...
高分子
  • 1500
  • 30

国内外做拓扑聚合物(尤其是环状)及其应用的大牛有哪些?

renkai123
rt.请问下,国内外做具有特殊拓扑结构聚合物(尤其是环状聚合物)及其应用(尤其是有关生物材料上的应用)的课题组大牛有哪些呢????求助,求助。。。
高分子
  • 1150
  • 23

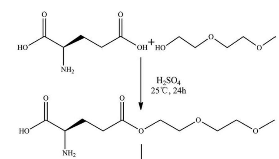
EG2-Glu的合成

ahpu哈哈
谷氨酸和二乙二醇单甲醚合成EG2-Glu,将澄清透明液体加入到三乙胺和乙醇的混合溶剂中没有沉淀生成,是什么原因啊?
高分子
  • 750
  • 15

急急急,注塑TPU板先透明,后发白,原因何在

数雨意忆年华
体系是聚酯多元醇/mdi/bdo体系,硬度90上下,注塑的板先透明后发白,注塑温度210左右,调了下温度降到205,没什么用呢,是不是因为结晶呢?怎么才能抑制呢?直接上图...
高分子
  • 400
  • 8

请帮忙看下DSC测出来的奇怪的结果

哈哈吉
如图,测了2次DSC了,10℃/min的升温速率,测出来的都是这个结果,请问能看出Tg是多少度吗?DSC.PNG
高分子
  • 1150
  • 23

单组分聚氨酯热熔胶养护后产生气泡,求解?

zhaa
现在在用单组分聚氨酯热熔胶包覆板材,当下没有出现变化,养护后3-12h出现气泡问题,有没有专业的帮忙排除下原因??目前已排除影响因素:1、基板;2、养护条件;3、工艺和之前一样,最近天气热了才出现鼓泡的现象;有没有可能是胶的问题?如果是胶的问题的话可能是什么原...
高分子
  • 550
  • 11

UV胶涂布过程出现类似气泡不良

www28
各位大佬小弟目测在配制UV减胶过程中出现如图片所示的现象,添加包括基胶,活性稀释剂,TPO,1173,EAC,TDI固化剂,为什么会出现这种现象,是溶解性不好还是什么原因...
高分子
  • 300
  • 6

有做膜材料的大佬吗

oakk
本人目前的实验是用壳聚糖和PVA静电纺丝做出膜材料,然后在戊二醛蒸汽中进行交联,之后想测膜的接触角,但是一方面膜并不平整,有些粗糙结构,在接触角测量时,滴下一滴水后水滴较快摊开,没法确定基线,也没办法测出接触角数值;而且膜滴水后会发生溶胀,膜上滴水的部分会鼓起...
高分子
  • 200
  • 4

【原版教材•中英对照】高分子化学

溺爱你爱
PolymerChemistry高分子化学下载地址:'https://www.zhisci.com/pdfshow/17591'Author:SebastianKoltz...
高分子
  • 150
  • 3

【原版教材•中英对照】高分子化学原理(第三版)

m旧时光
PrinciplesofPolymerChemistry(ThirdEdition)高分子化学原理(第三版)Author:A.Ravve下载地址:'https://www.zhisci.com/pdfshow/17668'Thissuccessfultextb...
高分子
  • 1350
  • 27

锂离子电池PTFE和PI粘结剂

Arrow12
请问各位大佬,这两款粘结剂未来市场用途发展怎么样,现在几乎都是用PVDF。我现在在做这两款粘结剂,PTFE水性粘结剂目前已经成熟与应用,PI粘结剂听说用在硅基上还是不错,国内好像比较少有。所以想继续坚持研发Pl粘结剂,有需要了解PTFE和PI粘结剂的,可以私信...
高分子
  • 250
  • 5

求助 求助 增加pp附着力

化学人生1988
求助各位大神,有什么办法在不使用附着力促进剂的情况下,增加丙烯酸酯乳液涂层在PP合成纸上的附着力???
高分子
  • 400
  • 8

硅烷改性聚醚密封胶(MS胶/STP)易溶于什么样的溶剂?

aimonkey
硅烷改性聚醚密封胶(MS胶/STP)在使用之后,如果想用溶剂进行溶解,请问哪种溶剂可以达到溶解的效果?
高分子
  • 500
  • 10

开环以为聚合(ROMP)

王先生0518
有没有做ROMP反应的大佬,我最近在做这个反应,用的是第三代的Grubbs催化剂,但是发现聚合度很低,我在手套箱里操作的,溶剂用的DCM,聚合后取测GPC,分子量没有预期的那么大。我做的是两个嵌段的,按照多数文献那样,先将一段开环再将另一段加入体系中开环,结果...
高分子
  • 450
  • 9

请问有人知道那里面能做超薄切片透射吗

BravoLAH
我的样品是有机涂层,大概2μm厚,需要做超薄切片透射看一下里面填料的分散情况
高分子
  • 350
  • 7

聚氨酯涂料出现放热发泡

尔东旧日
求助,做无溶剂聚氨酯涂料用的mdi预聚体nco含量在27和聚醚三元醇,三乙醇胺,分子筛除水,一起制备,加了T12催化出来的涂料,很快就放热发泡,这是为什么呀,是固化剂选的不对嘛,想做邵d70以上的涂层,求助大佬们
高分子
  • 200
  • 4

求教怎么合成硬质丙烯酸材料

路人小帅
在网上文献看的比较多的都是软质的,有没有合成硬质丙烯酸材料的,强度比较高的那种
高分子
  • 500
  • 10

请教多孔材料吸附的问题

xiaogong
我做的是多孔材料的碘吸附研究,在做等温吸附测试时,发现在50mg/L的碘溶液中,吸附剂把碘吸附完全,那这种情况的数据是不是不应该纳入吸附等温线中,而是应该加大50mg/L的碘溶液的体积重新进行碘吸附测试
高分子
  • 1350
  • 27

羧基和羟基那个更亲水?

徐长安
请问,羧基和羟基那个亲水性强?
高分子
  • 250
  • 5

请教静电纺丝接收装置材质对所得纤维毡中纤维排布的影响

zhizhi1002
各位大神们,请问大家有研究过静电纺丝接收装置(都是金属导电装置,如铜、铁、铝)材质的不同对接收所得纤维形貌、直径及排布的影响吗?或是大家有搜到过相关的文献或其他参考资料吗?恳请大家的帮助,谢谢!
高分子
  • 150
  • 3

请问岛津的DMA该如何测试一种形状记忆的数据呀

泰医燕龙
请问岛津的DMA该如何测试一种形状记忆的数据呀
高分子
  • 300
  • 6

PE袋表面发现黄色斑点

weiqinhuan
最近公司使用的PE袋(LDPE)发现表面出现黄色斑点,但过一段时间后黄斑又自动消失了,因为是原料药包装的,所以想搞清楚这些黄斑可能是什么东西,产生和消失的机理是什么,望有碰到过类似问题或者材料方面或聚乙烯树脂行业的大神们指教一二,小弟在此谢过啦。
高分子
  • 250
  • 5

如何成为结构胶?

cwhustchem
都是丙烯酸酯胶粘剂,热固化的丙烯酸酯可以形成结构胶,而紫外光固化的丙烯酸酯一般都是压敏胶,这门槛仅仅是后者的原料都是低Tg吗?
高分子
  • 150
  • 3

液体钙锌稳定剂存储稳定性下降的问题

xuhu
各位虫友,本人刚接触制备液体钙锌稳定剂,发现相同配方时,存储一段时间的稳定剂比现配的稳定剂性能差好多,会提前导致变色。查找原因时发现是DBM单独与钙、锌一起时几天就会引起性能下降。请问大家这是什么原因,有么有什么好办法解决,还是都有这个问题避免不了,请大家不吝...
高分子
  • 300
  • 6

中间相沥青,纺丝,断丝怎么解决

fly佳妮
中间相沥青做碳纤维,纺丝性能过程中,出现断丝现象,主要是沥青不均匀,怎么解决,大神指点
高分子
  • 150
  • 3

求助:利用乳液测试扫描电镜,该怎么制备样品??

51迪迪
大家好,想咨询您们个问题:我们老师想要利用扫描电镜看看环氧系列乳液的粒径和形貌,我现在是利用乙醇稀释后滴在玻璃板上,但是怎么感觉还是黏黏糊糊的,达不到想要的干燥效果??请问大家有没有好的办法和样品制作方法?求指导,谢谢了。
高分子
  • 250
  • 5

令人头疼的N-N'亚甲基双丙烯酰胺交联剂!

任天堂
本人用碱尿溶解纤维素,过硫酸铵为引发剂,MBA做交联剂!神奇的是,本来纤维素溶液还是有点黏黏的,但,一放引发剂十五分钟后,溶液变稀了,再放MBA进去,变成水了!!!温度我...
高分子
  • 200
  • 4

精细化工的发展令人振奋

yuyigu1969
精细化工现在的发展让人十分振奋,很多精细化工产品给消费者带来了意想不到的惊喜,在品质和功能上有了很多提升,让很多消费者大开眼界
高分子
  • 300
  • 6

使用PAN纺丝,然后预氧化碳化收缩变脆问题

大学225
如题,使用PAN纺丝,然后在280度空气下预氧化2h,升温速率1度每分,氮气700度碳化2h,升温速率3度每分,为什么每次出来的纤维收缩很厉害,他那个是变的比较脆。原丝大小10cm左右,碳化玩以后只有4cm长不到。
高分子
  • 150
  • 3

请问哪有 动静态激光光散射仪,可提供检测服务

stantontang
请问哪有 动静态激光光散射仪,可提供检测服务
高分子
  • 300
  • 6
应助之星
下载小木虫APP
与700万科研达人随时交流
  • 二维码
  • IOS
  • 安卓