求助:这个微分方程怎么求解?
我查到的求法:https://m.coozhi.com/youxishuma/hulianwang/112454.html。
我的问题:
不管用哪种方法求解,都需要先求出二阶齐次方程的通解,我只会求常系数微分方程的通解,该如何求这种非常系数二阶齐次线性微分方程的通解Y或者怎么求解方程(2)。 @laosam280

1234.png
返回小木虫查看更多
今日热帖
我查到的求法:https://m.coozhi.com/youxishuma/hulianwang/112454.html。
我的问题:
不管用哪种方法求解,都需要先求出二阶齐次方程的通解,我只会求常系数微分方程的通解,该如何求这种非常系数二阶齐次线性微分方程的通解Y或者怎么求解方程(2)。 @laosam280

1234.png
返回小木虫查看更多
应该有初值吧?没有初值很难求解
有初始条件会对求特解提供方便,也可根据实际问题确定特解
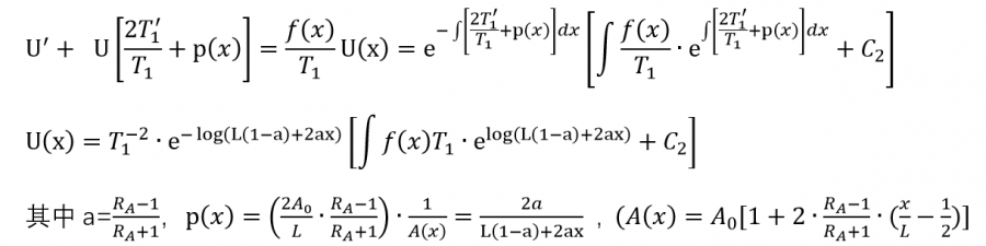
你好!第一个图是求出来的u(x),第二个图是初始条件,把初始条件代到里面还是没办法求出T1啊?怎么求T1?
1-2.png
1-3.png
,
谢谢!我代进去试试。主要有一点我不明白,为啥T1(x)是假设成这样的形式?不会是其他的形式吗?