| ²é¿´: 3697 | »Ø¸´: 6 | ||
| ¡¾ÐüÉͽð±Ò¡¿»Ø´ð±¾ÌûÎÊÌ⣬×÷ÕßAI_bing½«ÔùËÍÄú 10 ¸ö½ð±Ò | ||
AI_bingгæ (СÓÐÃûÆø)
|
[ÇóÖú]
ÇóÖú£ºÕâ¸ö΢·Ö·½³ÌÔõôÇó½â£¿ ÒÑÓÐ1È˲ÎÓë
|
|
|
ÎҲ鵽µÄÇ󷨣ºhttps://m.coozhi.com/youxishuma/hulianwang/112454.html¡£ ÎÒµÄÎÊÌ⣺ ²»¹ÜÓÃÄÄÖÖ·½·¨Çó½â£¬¶¼ÐèÒªÏÈÇó³ö¶þ½×Æë´Î·½³ÌµÄͨ½â£¬ÎÒÖ»»áÇó³£ÏµÊý΢·Ö·½³ÌµÄͨ½â£¬¸ÃÈçºÎÇóÕâÖַdz£ÏµÊý¶þ½×Æë´ÎÏßÐÔ΢·Ö·½³ÌµÄͨ½âY»òÕßÔõôÇó½â·½³Ì£¨2£©¡£ @laosam280 1234.png |
» ²ÂÄãϲ»¶
070300»¯Ñ§279Çóµ÷¼Á
ÒѾÓÐ8È˻ظ´
ÍÁľˮÀûר˶276·ÖÇóµ÷¼Á
ÒѾÓÐ9È˻ظ´
328Çóµ÷¼Á
ÒѾÓÐ16È˻ظ´
»¯Ñ§¹¤³Ìµ÷¼Á289
ÒѾÓÐ26È˻ظ´
331Çóµ÷¼Á
ÒѾÓÐ3È˻ظ´
²ÄÁÏÓ뻯¹¤×¨Ë¶306·ÖÕÒºÏÊʵ÷¼Á
ÒѾÓÐ24È˻ظ´
²ÄÁϹ¤³Ìµ÷¼Á
ÒѾÓÐ8È˻ظ´
²ÄÁÏר˶µ÷¼Á
ÒѾÓÐ14È˻ظ´
334Çóµ÷¼Á
ÒѾÓÐ7È˻ظ´
²ÄÁϹ¤³Ì085601£¬270Çóµ÷¼Á
ÒѾÓÐ10È˻ظ´
pgser
Ìú³æ (Ö°Òµ×÷¼Ò)
- Ó¦Öú: 30 (СѧÉú)
- ½ð±Ò: 9333.3
- É¢½ð: 10
- ºì»¨: 17
- Ìû×Ó: 3046
- ÔÚÏß: 523.6Сʱ
- ³æºÅ: 1263938
- ×¢²á: 2011-04-13
- ÐÔ±ð: GG
- רҵ: ´úÊýѧ
2Â¥2020-07-15 12:58:35
pgser
Ìú³æ (Ö°Òµ×÷¼Ò)
- Ó¦Öú: 30 (СѧÉú)
- ½ð±Ò: 9333.3
- É¢½ð: 10
- ºì»¨: 17
- Ìû×Ó: 3046
- ÔÚÏß: 523.6Сʱ
- ³æºÅ: 1263938
- ×¢²á: 2011-04-13
- ÐÔ±ð: GG
- רҵ: ´úÊýѧ
¡¾´ð°¸¡¿Ó¦Öú»ØÌû
¡ï ¡ï ¡ï ¡ï ¡ï ¡ï ¡ï ¡ï ¡ï ¡ï
¸Ðл²ÎÓ룬ӦÖúÖ¸Êý +1
AI_bing(Edstrayer´ú·¢): ½ð±Ò+10, ºÜºÃ 2020-07-16 04:41:54
¸Ðл²ÎÓ룬ӦÖúÖ¸Êý +1
AI_bing(Edstrayer´ú·¢): ½ð±Ò+10, ºÜºÃ 2020-07-16 04:41:54
|
ÓгõʼÌõ¼þ»á¶ÔÇóÌØ½âÌṩ·½±ã£¬Ò²¿É¸ù¾Ýʵ¼ÊÎÊÌâÈ·¶¨Ìؽ⠷¢×ÔСľ³æAndroid¿Í»§¶Ë |
3Â¥2020-07-15 21:26:08
AI_bing
гæ (СÓÐÃûÆø)
- Ó¦Öú: 4 (Ó×¶ùÔ°)
- ½ð±Ò: 2420.5
- É¢½ð: 1520
- ºì»¨: 2
- Ìû×Ó: 168
- ÔÚÏß: 671.7Сʱ
- ³æºÅ: 1181475
- ×¢²á: 2011-01-01
- ÐÔ±ð: GG
- רҵ: ¹ÌÌåÁ¦Ñ§
4Â¥2020-07-16 19:31:49
pgser
Ìú³æ (Ö°Òµ×÷¼Ò)
- Ó¦Öú: 30 (СѧÉú)
- ½ð±Ò: 9333.3
- É¢½ð: 10
- ºì»¨: 17
- Ìû×Ó: 3046
- ÔÚÏß: 523.6Сʱ
- ³æºÅ: 1263938
- ×¢²á: 2011-04-13
- ÐÔ±ð: GG
- רҵ: ´úÊýѧ
5Â¥2020-07-17 14:36:32
AI_bing
гæ (СÓÐÃûÆø)
- Ó¦Öú: 4 (Ó×¶ùÔ°)
- ½ð±Ò: 2420.5
- É¢½ð: 1520
- ºì»¨: 2
- Ìû×Ó: 168
- ÔÚÏß: 671.7Сʱ
- ³æºÅ: 1181475
- ×¢²á: 2011-01-01
- ÐÔ±ð: GG
- רҵ: ¹ÌÌåÁ¦Ñ§
6Â¥2020-07-18 00:13:09
pgser
Ìú³æ (Ö°Òµ×÷¼Ò)
- Ó¦Öú: 30 (СѧÉú)
- ½ð±Ò: 9333.3
- É¢½ð: 10
- ºì»¨: 17
- Ìû×Ó: 3046
- ÔÚÏß: 523.6Сʱ
- ³æºÅ: 1263938
- ×¢²á: 2011-04-13
- ÐÔ±ð: GG
- רҵ: ´úÊýѧ
¡¾´ð°¸¡¿Ó¦Öú»ØÌû
|
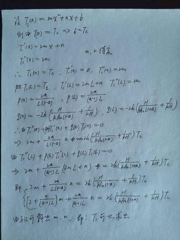
ÕâÀïÓг¢ÊԵijɷ֡£T1ÊÇÒ»¸öÌØ½â£¬ÌؽâµÄÒâ˼¾ÍÊÇÖ»ÒªÂú×ãÕâ¸ö·½³Ì¾Í¿ÉÒÔ£¬ËùÒÔÊ×ÏÈ¿¼ÂÇ×î¼òµ¥µÄÐÎʽ£¬×öΪº¯Êý×î¼òµ¥µÄ¾ÍÊǶàÏîʽº¯ÊýÁË£¬ÖÁÓÚ¶àÏîʽµÄ´ÎÊýÊÇÓÉ·½³ÌµÄ´ÎÊý¾ö¶¨µÄ¡£ ·¢×ÔСľ³æAndroid¿Í»§¶Ë |
7Â¥2020-07-18 06:21:58














»Ø¸´´ËÂ¥