小木虫
登陆
|
注册
首页
导读
期刊
发现
社区
招聘老师
当前位置:
首页
>
有奖问答
>
matlab 一元多次方程求解
matlab 一元多次方程求解
作者
fengyun09
来源:
小木虫
300
6
举报帖子
+关注
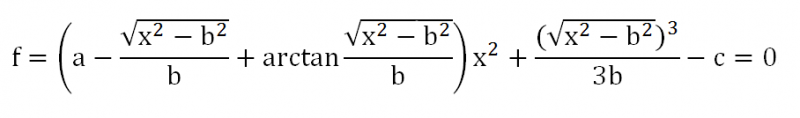
f=(a-((x^2-b^2)^0.5/b)+atan((x^2-b^2)^0.5/b))*x^2+(x^2-b^2)^1.5/b/3-c=0 求x
1.png
返回小木虫查看更多
分享至:
更多
今日热帖
电极反应经典途径...
【关于锂金属循环...
TEM晶格条纹求...
求助,帮答以下有...
origin数据...
大家帮看一下这瓶...
【10金币求帮填...
请教关于抗体的基...
精华评论
fengyun09
引用回帖:
2楼
:
Originally posted by
yanxp02
at 2014-09-20 21:36:18
是求解形式解,还是a,b,c有具体数值?
求形式解 用a,b,c表示x
fengyun09
引用回帖:
4楼
:
Originally posted by
yanxp02
at 2014-09-21 15:17:09
用matlab的符号运算试了下,求不出来。。。说无法得到形式解。...
那如果用泰勒展开式把atan((x^2-b^2)^0.5/b)展开,原式合并成不带三角函数的可以吗?
f=(a-((x^2-b^2)^0.5/b)^3/3+((x^2-b^2)^0.5/b)^5/5-((x^2-b^2)^0.5/b)^7/7)*x^2+(x^2-b^2)^1.5/b/3-c
,
fengyun09
引用回帖:
6楼
:
Originally posted by
yanxp02
at 2014-09-21 20:15:54
还是不行哦,你在matlab试试这段代码
syms a b c x;
f=(a-((x^2-b^2)^0.5/b)^3/3+((x^2-b^2)^0.5/b)^5/5-((x^2-b^2)^0.5/b)^7/7)*x^2+(x^2-b^2)^1.5/b/3-c;
solve(f,x)...
还是不行 我还是把a b c一个个代入求解吧 非常感谢 谢谢!
猜你喜欢
板块导航
网络生活
育儿交流
健康生活
有奖问答
资源共享
课件资源
试题资源
化学化工
有机
高分子
无机物化
分析
催化
工艺技术
化工设备
化工
精细化工
电化学
环境
专业学科
机械
物理
数学
农林
食品
地学
能源
信息科学
理工农林
科研生活
博后之家
专业外语
外语学习
导师招生
找工作
招聘信息
考研
考博
公务员
生物医药
新药研发
药学
药品生产
分子生物
微生物
动植物
生物科学
医学
材料
材料
材料工程
微米纳米
晶体
金属
非金属
生物材料
功能材料
复合材料
计算模拟
第一原理
量子化学
计算模拟
分子模拟
仿真模拟
程序语言
学术交流
论文投稿
基金申请
学术会议
出国留学
留学生活
公派出国
访问学者
海外博后
留学DIY
签证指南
出国考试
海外院所
注册执考
化工工程师
执业药师
执业医师
环境工程师
会计师
注册考试
24小时热帖
换一批
写了一篇“相变储能技术在冷库中应用”的论文,论文内容以实验为主,投什么期刊合适?
3
需要合成515-64-0,50g,能接单的留言
3
最近几年招的学生写论文不引自己组发的文章
10
中科院杭州医学所招收博士生一名(生物分析化学、药物递送)
3
临港实验室与上科大联培博士招生1名
8
应助之星
babero
+关注
手搓电池人
+关注
sinubi
+关注
czyzsu
+关注
北京莱茵润色
+关注
下载小木虫APP
与700万科研达人随时交流
二维码
IOS
安卓
欢迎监督和反馈
:小木虫仅提供交流平台,不对该内容负责。
欢迎协助我们监督管理,共同维护互联网健康,违规贴举报删除请联系邮箱:xiaomuchong@tal.com
(点此查看侵权举报方式)
我们保证在7个工作日内给予处理和答复,谢谢您的监督。
©2001-2025 muchong.com,小木虫
京ICP备16008351号
京公网安备 11010802022153号
Copyright © 2001-2025 muchong.com, All Rights Reserved. 小木虫 版权所有
求形式解 用a,b,c表示x
那如果用泰勒展开式把atan((x^2-b^2)^0.5/b)展开,原式合并成不带三角函数的可以吗?
f=(a-((x^2-b^2)^0.5/b)^3/3+((x^2-b^2)^0.5/b)^5/5-((x^2-b^2)^0.5/b)^7/7)*x^2+(x^2-b^2)^1.5/b/3-c
,
还是不行 我还是把a b c一个个代入求解吧 非常感谢 谢谢!