| 查看: 1714 | 回复: 10 | |||
Beyond--如来金虫 (正式写手)
|
[求助]
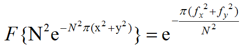
关于一个指数函数的傅立叶变换 已有2人参与
|
||
|
|
|||
| 回帖支持 ( 显示支持度最高的前 50 名 ) | |||
racoon01专家顾问 (著名写手)
|
|||
![]() |
|||
|
3楼2015-05-29 00:18:21
|
|
||
peterflyer
|
【答案】应助回帖
★ ★ ★
感谢参与,应助指数 +1 Beyond--如来: 金币+1 2015-05-31 18:22:05 Beyond--如来: 金币+2 2015-05-31 18:29:15
|
||
|
5楼2015-05-29 23:49:00
|
|
||
| 普通回帖 | |||
Beyond--如来金虫 (正式写手)
|
|||
|
2楼2015-05-28 23:54:14
|
|
||
Beyond--如来金虫 (正式写手)
|
|||
|
4楼2015-05-29 22:40:25
|
|
||
Beyond--如来金虫 (正式写手)
|
|||
|
6楼2015-05-30 23:00:11
|
|
||
peterflyer
|
|||
|
7楼2015-05-30 23:55:55
|
|
||
Beyond--如来金虫 (正式写手)
|
|||
|
8楼2015-05-31 18:23:33
|
|
||
Beyond--如来金虫 (正式写手)
|
|||
|
9楼2015-05-31 18:24:08
|
|
||
Beyond--如来金虫 (正式写手)
|
|||
|
10楼2015-05-31 18:25:26
|
|
||














回复此楼

