| ²é¿´: 2214 | »Ø¸´: 26 | ||
bluerainq½ð³æ (СÓÐÃûÆø)
|
[ÇóÖú]
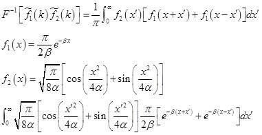
ÇóÖúÒ»¸ö¸µÁ¢Ò¶ÓàÏÒÄæ±ä»»
|
|
![]() |
||
|
|
||
bluerainq½ð³æ (СÓÐÃûÆø)
|
||
![]() |
||
|
2Â¥2013-07-15 09:28:19
|
|
|
nagamiľ³æ (ÕýʽдÊÖ)
|
||
![]() |
||
|
3Â¥2013-07-15 11:40:42
|
|
|
bluerainq½ð³æ (СÓÐÃûÆø)
|
||
![]() |
||
|
4Â¥2013-07-15 14:41:24
|
|
|
nagamiľ³æ (ÕýʽдÊÖ)
|
¡¾´ð°¸¡¿Ó¦Öú»ØÌû
|
|
![]() |
||
|
5Â¥2013-07-15 15:37:35
|
|
|
nagamiľ³æ (ÕýʽдÊÖ)
|
¡¾´ð°¸¡¿Ó¦Öú»ØÌû
» ±¾ÌûÒÑ»ñµÃµÄºì»¨£¨×îÐÂ10¶ä£© |
|
![]() |
||
|
6Â¥2013-07-15 15:49:56
|
|
|
bluerainq½ð³æ (СÓÐÃûÆø)
|
||
![]() |
||
|
7Â¥2013-07-15 16:04:26
|
|
|
nagamiľ³æ (ÕýʽдÊÖ)
|
¡¾´ð°¸¡¿Ó¦Öú»ØÌû
¡ï ¡ï ¡ï ¡ï ¡ï ¡ï ¡ï ¡ï ¡ï ¡ï
bluerainq: ½ð±Ò+10, ¡ï¡ï¡ï¡ï¡ï×î¼Ñ´ð°¸, ·Ç³£¸Ðл£¬ÎÒÊÔÊÔ 2013-07-15 16:17:57
|
|
![]() |
||
|
8Â¥2013-07-15 16:14:52
|
|
|
nagamiľ³æ (ÕýʽдÊÖ)
|
||
![]() |
||
|
9Â¥2013-07-15 16:22:30
|
|
|
bluerainq½ð³æ (СÓÐÃûÆø)
|
||
![]() |
||
|
10Â¥2013-07-15 16:24:03
|
|














»Ø¸´´ËÂ¥
bluerainq