| ²é¿´: 1616 | »Ø¸´: 12 | ||
| ±¾Ìû²úÉú 1 ¸ö ÊýѧEPI £¬µã»÷ÕâÀï½øÐв鿴 | ||
sarmanÌú¸Ëľ³æ (ÕýʽдÊÖ)
|
[ÇóÖú]
»ý·ÖÇóÖú
|
|
|
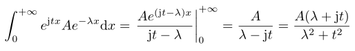
ÓÐÒ»¸ö»ý·Ö¹«Ê½ÇëÄÄλ¸ßÊÖ°ïæ£¬¹«Ê½ÈçͼƬ¸ø³ö£¬µÃÓÐÇó½â²½ÖèºÍ»ý·Ö½á¹ûŶ [ Last edited by СÓêÃÈÃÈ on 2011-5-12 at 13:38 ] |
» ²ÂÄãϲ»¶
071000ÉúÎïѧµ÷¼Á
ÒѾÓÐ3È˻ظ´
085600²ÄÁÏÓ뻯¹¤301·ÖÇóµ÷¼ÁԺУ
ÒѾÓÐ5È˻ظ´
081700£¬311£¬Çóµ÷¼Á
ÒѾÓÐ15È˻ظ´
Ò»Ö¾Ô¸±±¾©»¯¹¤085600 310·ÖÇóµ÷¼Á
ÒѾÓÐ18È˻ظ´
²ÄÁÏÓ뻯¹¤371Çóµ÷¼Á
ÒѾÓÐ14È˻ظ´
336²ÄÁÏÓ뻯¹¤085600Çóµ÷¼Á
ÒѾÓÐ7È˻ظ´
²ÄÁÏ334Çóµ÷¼Á
ÒѾÓÐ18È˻ظ´
331Çóµ÷¼Á
ÒѾÓÐ8È˻ظ´
332Çóµ÷¼Á
ÒѾÓÐ17È˻ظ´
Ò»Ö¾Ô¸ÄϾ©º½¿Õº½Ìì´óѧ ²ÄÁÏÓ뻯¹¤329·ÖÇóµ÷¼Á
ÒѾÓÐ4È˻ظ´
Pchief
Ìú¸Ëľ³æ (ÕýʽдÊÖ)
- ÊýѧEPI: 26
- Ó¦Öú: 13 (СѧÉú)
- ¹ó±ö: 0.024
- ½ð±Ò: 10856.4
- ºì»¨: 36
- Ìû×Ó: 987
- ÔÚÏß: 1992.9Сʱ
- ³æºÅ: 52235
- ×¢²á: 2004-09-04
- רҵ: ·ºº¯·ÖÎö
¡¾´ð°¸¡¿Ó¦Öú»ØÌû
¡ï
math105(½ð±Ò+1): 2011-04-29 00:50:47
math105(ÊýѧEPI+1): лл²ÎÓëÌÖÂÛ 2011-04-29 00:51:02
math105(½ð±Ò+1): 2011-04-29 00:50:47
math105(ÊýѧEPI+1): лл²ÎÓëÌÖÂÛ 2011-04-29 00:51:02
2Â¥2011-04-29 00:38:52
sarman
Ìú¸Ëľ³æ (ÕýʽдÊÖ)
- Ó¦Öú: 0 (Ó×¶ùÔ°)
- ½ð±Ò: 8014.3
- É¢½ð: 150
- ºì»¨: 2
- Ìû×Ó: 347
- ÔÚÏß: 157.7Сʱ
- ³æºÅ: 458379
- ×¢²á: 2007-11-13
- ÐÔ±ð: GG
- רҵ: ÐźÅÀíÂÛÓëÐźŴ¦Àí
3Â¥2011-04-29 08:37:26
inhaul
гæ (ÕýʽдÊÖ)
- ÊýѧEPI: 1
- Ó¦Öú: 38 (СѧÉú)
- ¹ó±ö: 0.001
- ½ð±Ò: 6972.5
- É¢½ð: 900
- ºì»¨: 5
- Ìû×Ó: 796
- ÔÚÏß: 584.6Сʱ
- ³æºÅ: 1011659
- ×¢²á: 2010-05-05
¡¾´ð°¸¡¿Ó¦Öú»ØÌû
¡ï
math105(½ð±Ò+1): лл²ÎÓëÌÖÂÛ 2011-04-29 10:00:39
sarman(½ð±Ò+5): 2011-04-29 23:58:45
math105(½ð±Ò+1): лл²ÎÓëÌÖÂÛ 2011-04-29 10:00:39
sarman(½ð±Ò+5): 2011-04-29 23:58:45
|
¦Ë>0±ØÐëµÄ£¬Õâ¸ö²»¾ÍÊǵ¥Î»½×Ô¾º¯Êýu(t)µÄLaplace±ä»»Ã´ http://zh.wikipedia.org/wiki/%E6 ... F%E5%8F%98%E6%8D%A2 |
4Â¥2011-04-29 09:38:20
Pchief
Ìú¸Ëľ³æ (ÕýʽдÊÖ)
- ÊýѧEPI: 26
- Ó¦Öú: 13 (СѧÉú)
- ¹ó±ö: 0.024
- ½ð±Ò: 10856.4
- ºì»¨: 36
- Ìû×Ó: 987
- ÔÚÏß: 1992.9Сʱ
- ³æºÅ: 52235
- ×¢²á: 2004-09-04
- רҵ: ·ºº¯·ÖÎö
5Â¥2011-04-29 10:52:27
sarman
Ìú¸Ëľ³æ (ÕýʽдÊÖ)
- Ó¦Öú: 0 (Ó×¶ùÔ°)
- ½ð±Ò: 8014.3
- É¢½ð: 150
- ºì»¨: 2
- Ìû×Ó: 347
- ÔÚÏß: 157.7Сʱ
- ³æºÅ: 458379
- ×¢²á: 2007-11-13
- ÐÔ±ð: GG
- רҵ: ÐźÅÀíÂÛÓëÐźŴ¦Àí
6Â¥2011-04-29 16:10:54
Pchief
Ìú¸Ëľ³æ (ÕýʽдÊÖ)
- ÊýѧEPI: 26
- Ó¦Öú: 13 (СѧÉú)
- ¹ó±ö: 0.024
- ½ð±Ò: 10856.4
- ºì»¨: 36
- Ìû×Ó: 987
- ÔÚÏß: 1992.9Сʱ
- ³æºÅ: 52235
- ×¢²á: 2004-09-04
- רҵ: ·ºº¯·ÖÎö
|
Õâ¸öÄãÓ¦¸ÃÈ¥²é¸µÁ¢Ò¶±ä»»±í£¬ÀýÈ磺 http://en.wikipedia.org/wiki/Fou ... ntegrable_functions ±àºÅ205 http://en.wikipedia.org/wiki/Fourier_transform#Distributions ±àºÅ313 ¸µÁ¢Ò¶Õý±ä»»µÄÖ¸ÊýÀïÓиö¸ººÅ£¬°ÑÕâ¸ö¸ººÅÈ¥µô¾ÍÊÇÄæ±ä»»ÁË¡£ |
7Â¥2011-04-29 17:48:56
Pchief
Ìú¸Ëľ³æ (ÕýʽдÊÖ)
- ÊýѧEPI: 26
- Ó¦Öú: 13 (СѧÉú)
- ¹ó±ö: 0.024
- ½ð±Ò: 10856.4
- ºì»¨: 36
- Ìû×Ó: 987
- ÔÚÏß: 1992.9Сʱ
- ³æºÅ: 52235
- ×¢²á: 2004-09-04
- רҵ: ·ºº¯·ÖÎö
8Â¥2011-04-29 18:27:43
Pchief
Ìú¸Ëľ³æ (ÕýʽдÊÖ)
- ÊýѧEPI: 26
- Ó¦Öú: 13 (СѧÉú)
- ¹ó±ö: 0.024
- ½ð±Ò: 10856.4
- ºì»¨: 36
- Ìû×Ó: 987
- ÔÚÏß: 1992.9Сʱ
- ³æºÅ: 52235
- ×¢²á: 2004-09-04
- רҵ: ·ºº¯·ÖÎö
soliton923: ¸Ðлר¼Ò¸ø³öÍêÕûµÄ˵Ã÷¹ý³Ì~~~ 2011-04-29 22:43:16
9Â¥2011-04-29 20:15:38
xcwhss
ÖÁ×ðľ³æ (ÕýʽдÊÖ)
- Ó¦Öú: 4 (Ó×¶ùÔ°)
- ½ð±Ò: 10197
- ºì»¨: 1
- Ìû×Ó: 783
- ÔÚÏß: 253.8Сʱ
- ³æºÅ: 689845
- ×¢²á: 2009-01-08
- רҵ: µç»¯Ñ§
¡¾´ð°¸¡¿Ó¦Öú»ØÌû
¡ï
soliton923(½ð±Ò+1): лл²ÎÓë~~ 2011-04-29 22:42:54
sarman(½ð±Ò+5): 2011-04-29 23:59:08
soliton923(½ð±Ò+1): лл²ÎÓë~~ 2011-04-29 22:42:54
sarman(½ð±Ò+5): 2011-04-29 23:59:08
|
²´ËÉ·Ö²¼µÄÌØÕ÷º¯Êý¶à¸öϵÊý ¸ÅÂÊÊéÌØÕ÷º¯ÊýÕâ½ÚÓÐÍÆµ¼¹ý³Ì |
10Â¥2011-04-29 20:46:25














»Ø¸´´ËÂ¥