²é¿´: 377  |  »Ø¸´: 1

j6t2r

гæ (³õÈëÎÄ̳)

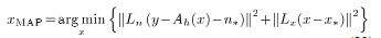
[ÇóÖú] ÇóXµÄ×îСֵ

ÇóÖú£¬ÇóÏÂÃæÕâ¸öº¯ÊýµÄ×îСֵӦ¸ÃÓÃʲô·½·¨£¿

ÇóXµÄ×îСֵ
·¶Êý1.JPG
ÇóXµÄ×îСֵ-1
2.JPG
»Ø¸´´ËÂ¥

» ²ÂÄãϲ»¶

» ±¾Ö÷ÌâÏà¹Ø¼ÛÖµÌùÍÆ¼ö£¬¶ÔÄúͬÑùÓаïÖú:

ÒÑÔÄ   »Ø¸´´ËÂ¥   ¹Ø×¢TA ¸øTA·¢ÏûÏ¢ ËÍTAºì»¨ TAµÄ»ØÌû

kabaisun

ר¼Ò¹ËÎÊ (ÕýʽдÊÖ)

ͼƬ¿´²»Ç壬Äã»»¸öLatex´úÂëÏÔʾ°É
ÑÏʵ³ÏÓÂ
2Â¥2015-01-16 18:50:33
ÒÑÔÄ   »Ø¸´´ËÂ¥   ¹Ø×¢TA ¸øTA·¢ÏûÏ¢ ËÍTAºì»¨ TAµÄ»ØÌû
Ïà¹Ø°æ¿éÌø×ª ÎÒÒª¶©ÔÄÂ¥Ö÷ j6t2r µÄÖ÷Ìâ¸üÐÂ
×î¾ßÈËÆøÈÈÌûÍÆ¼ö [²é¿´È«²¿] ×÷Õß »Ø/¿´ ×îºó·¢±í
[¿¼ÑÐ] Ò»Ö¾Ô¸»ª¶«Àí¹¤´óѧ081700£¬³õÊÔ·ÖÊý271 +5 kotoko_ik 2026-03-23 6/300 2026-03-24 10:29 by ѧÊõ°áשer
[¿¼ÑÐ] 341Çóµ÷¼Á(Ò»Ö¾Ô¸ºþÄÏ´óѧ070300) +5 ·¬ÇÑÍ·--- 2026-03-22 6/300 2026-03-23 23:45 by Txy@872106
[¿¼ÑÐ] Ò»Ö¾Ô¸070300Õã´ó»¯Ñ§358·Ö£¬Çóµ÷¼Á£¡ +4 ËÖËÖÓã.. 2026-03-21 4/200 2026-03-23 08:12 by Iveryant
[¿¼ÑÐ] 289²ÄÁÏÓ뻯¹¤£¨085600£©BÇøÇóµ÷¼Á +3 ÕâôÃû×ÖÕ¦Ñù 2026-03-22 4/200 2026-03-22 17:56 by ÔÆÃñ´óÀîÀÏʦ
[¿¼ÑÐ] ÉúÎïѧ071000 329·ÖÇóµ÷¼Á +5 ÎÒ°®ÉúÎïÉúÎﰮΠ2026-03-17 5/250 2026-03-22 16:42 by tcx007
[¿¼ÑÐ] 319Çóµ÷¼Á +4 СÁ¦Æøçæçæ 2026-03-20 4/200 2026-03-22 15:53 by ColorlessPI
[¿¼ÑÐ] 354Çóµ÷¼Á +7 Tyoumou 2026-03-18 10/500 2026-03-22 11:11 by ÈËÀ´Ê¢
[»ù½ðÉêÇë] ɽ¶«Ê¡ÃæÉÏÏîÄ¿ÏÞ¶îÆÀÉó +4 ʯÈð0426 2026-03-19 4/200 2026-03-22 08:50 by Wei_ren
[¿¼ÑÐ] 286Çóµ÷¼Á +10 Faune 2026-03-21 10/500 2026-03-21 23:34 by 314126402
[¿¼ÑÐ] 307Çóµ÷¼Á +3 ÓàÒâÇä 2026-03-18 3/150 2026-03-21 17:31 by ColorlessPI
[¿¼ÑÐ] 266Çóµ÷¼Á +3 ÍÛºôºßºôºß 2026-03-20 3/150 2026-03-21 16:46 by barlinike
[¿¼ÑÐ] 330Çóµ÷¼Á0854 +3 assdll 2026-03-21 3/150 2026-03-21 13:01 by ²«»÷518
[¿¼ÑÐ] 303Çóµ÷¼Á +5 î£08 2026-03-17 7/350 2026-03-21 03:11 by JourneyLucky
[¿¼ÑÐ] ²ÄÁÏÓ뻯¹¤ 322Çóµ÷¼Á +4 È»11 2026-03-19 4/200 2026-03-20 22:12 by luoyongfeng
[¿¼ÑÐ] Ò»Ö¾Ô¸ ÄϾ©º½¿Õº½Ìì´óѧ´óѧ £¬080500²ÄÁÏ¿ÆÑ§Ó빤³Ìѧ˶ +5 @taotao 2026-03-20 5/250 2026-03-20 20:16 by JourneyLucky
[¿¼ÑÐ] Ò»Ö¾Ô¸¼ªÁÖ´óѧ²ÄÁÏѧ˶321Çóµ÷¼Á +11 Ymlll 2026-03-18 15/750 2026-03-20 19:40 by ¶¡¶¡*
[¿¼ÑÐ] 086500 325 Çóµ÷¼Á +3 Áì´øÐ¡ÐÜ 2026-03-19 3/150 2026-03-20 18:38 by ¾¡Ë´Ò¢1
[¿¼ÑÐ] ²ÄÁÏѧ˶318Çóµ÷¼Á +5 February_Feb 2026-03-19 5/250 2026-03-19 23:51 by 23Postgrad
[¿¼ÑÐ] Ò»Ö¾Ô¸¸£´ó288Óлú»¯Ñ§£¬Çóµ÷¼Á +3 Сľ³æ200408204 2026-03-18 3/150 2026-03-19 13:31 by houyaoxu
[¿¼ÑÐ] 0703»¯Ñ§µ÷¼Á +3 ÄÝÄÝninicgb 2026-03-17 3/150 2026-03-18 10:29 by macy2011
ÐÅÏ¢Ìáʾ
ÇëÌî´¦ÀíÒâ¼û