| ²é¿´: 2794 | »Ø¸´: 7 | ||
alan_fangľ³æ (ÕýʽдÊÖ)
|
[ÇóÖú]
matlabµÄlsqnonlinº¯ÊýÔõôÓÃ
|
|
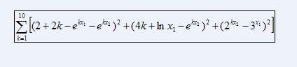
x = lsqnonlin(fun,x0) ¼ûͼƬ1ÓÐÒ»¸öÀý×ÓÕâ¸öºÃ´¦ÀíЩ£¬ÎÒÏëÎʵÄÊÇÈç¹ûÄ¿±êº¯ÊýͼƬ3ËùʾµÄ»°Ó¦¸ÃÔõô´¦ÀíÄØ£¿lsqnonlinÀïÃæµÄfunÓ¦¸ÃÔõô¶¨Ò壿 ͼƬ1.png ͼƬ3.jpg |
» ²ÂÄãϲ»¶
±±¾©ÄÉÃ×ÄÜÔ´ÓëϵͳÑо¿ËùÍõÖÐÁÖԺʿ/²ÜÄÏÓ±Ñо¿Ô±¿ÎÌâ×éÕÐÊÕ2026˶ʿÑо¿Éú1Ãû
ÒѾÓÐ0È˻ظ´
ɽÎ÷´óͬ´óѧÎïÀíѧ˶ʿÑо¿ÉúÕÐÊÕµ÷¼ÁÉú
ÒѾÓÐ0È˻ظ´
ÎïÀíѧIÂÛÎÄÈóÉ«/·ÒëÔõôÊÕ·Ñ?
ÒѾÓÐ157È˻ظ´
[µ÷¼ÁÐÅÏ¢]211ÖÇÄÜÈ˹¤¸ÐÖª·½Ïò¹ú¼ÒÇàÄêÌØÆ¸×¨¼Ò¿ÎÌâ×éÕÐÊÕµ÷¼ÁÑо¿Éú
ÒѾÓÐ0È˻ظ´
£Ûµ÷¼ÁÐÅÏ¢£Ý211ÖÇÄÜÈ˹¤¸ÐÖª·½Ïò¹ú¼ÒÇàÄêÌØÆ¸×¨¼Ò¿ÎÌâ×éÕÐÊÕµ÷¼ÁÑо¿Éú
ÒѾÓÐ0È˻ظ´
[µ÷¼ÁÐÅÏ¢]211ÖÇÄÜÈ˹¤¸ÐÖª·½Ïò¹ú¼ÒÇàÄêÌØÆ¸×¨¼Ò¿ÎÌâ×éÕÐÊÕµ÷¼ÁÑо¿Éú
ÒѾÓÐ0È˻ظ´
Ò»Ö¾Ô¸ÎïÀíËùÄý¾Û̬ÎïÀí352Çóµ÷¼Á
ÒѾÓÐ0È˻ظ´
0702Ò»Ö¾Ô¸¼ª´óBÇøÇóµ÷¼Á ±¾¿ÆÆÚ¼ä·¢±íһƪSci
ÒѾÓÐ2È˻ظ´
0702Ò»Ö¾Ô¸¼ª´óBÇøÇóµ÷¼Á ±¾¿ÆÆÚ¼ä·¢±íһƪSci
ÒѾÓÐ0È˻ظ´
070200Çóµ÷¼Á£¬Ò»Ö¾Ô¸Ä³211£¬288·Ö
ÒѾÓÐ18È˻ظ´
» ±¾Ö÷ÌâÏà¹Ø¼ÛÖµÌùÍÆ¼ö£¬¶ÔÄúͬÑùÓаïÖú:
ÇóÖú£¬Ò»×Ô±äÁ¿¶þÒò±äÁ¿ÄâºÏmatlab¸ÃÔõôʵÏÖÄØ£¿
ÒѾÓÐ9È˻ظ´
ÓÃmatlabÀïµÄnlinfitÈçºÎÄâºÏ·Ö¶Îº¯Êý
ÒѾÓÐ8È˻ظ´
MatlabÖÐÈçºÎ×Ô¼º¶¨ÒåÒ»¸öк¯Êý£¬È»ºó¼ÆËãʱ¿ÉÒÔµ÷Óã¿
ÒѾÓÐ12È˻ظ´
¶¯Á¦Ñ§²ÎÊýÄâºÏ
ÒѾÓÐ26È˻ظ´
matlab±à³Ì´ó¼Ò¿´ÕâÁ½¸öʽ×Ó¸ÃÈçºÎ±àÐ´ÄØ£¿
ÒѾÓÐ3È˻ظ´
matlab ÄâºÏ·´Ó¦¶¯Á¦Ñ§²ÎÊý½á¹ûºÜ²î¡£´ó¼Ò°ïæ¿´Ò»ÏÂ
ÒѾÓÐ14È˻ظ´
Çë½Ìmatlab·´Ó¦¶¯Á¦Ñ§²ÎÊý¹À¼ÆÓöµ½µÄÎÊÌ⣬лл
ÒѾÓÐ15È˻ظ´
matlab΢·Ö·½³Ì×é²ÎÊýÄâºÏ£¬ÒÔÖÜΪµ¥Î»Çó½â£¬»ã×ܺóÒÔÄêΪµ¥Î»½øÐÐÊýÖµ±È½Ï
ÒѾÓÐ4È˻ظ´
matlabµÄº¯Êýµ÷ÓÃÎÊÌâ
ÒѾÓÐ3È˻ظ´
ÒÑÖªÒ»Ëæ»úÐźŵŦÂÊÆ×ÃܶȺ¯Êý£¬ÈçºÎÀûÓÃMatlab²úÉúÆäµ¥´ÎʱÓòÑù±¾
ÒѾÓÐ6È˻ظ´
MATLAB±à³Ì£¬·ÇÏßÐÔÄâºÏ¡£
ÒѾÓÐ4È˻ظ´
¡¾ÇóÖú¡¿´ß»¯·´Ó¦¶¯Á¦Ñ§matlab¼ÆËã¸÷»ùÔª·´Ó¦µÄËÙÂʳ£Êýʱ£¬¸ÃÈçºÎ±ÜÃâ½ÏСÁ¿±»ºöÂÔ£¿
ÒѾÓÐ3È˻ظ´
¡¾ÇóÖú¡¿matlabÓÃlsqnonlin·ÇÏßÐÔÄâºÏµÄÎÊÌ⡾Òѽâ¾ö¡¿
ÒѾÓÐ8È˻ظ´
¡¾ÇóÖú¡¿Ê¹ÓÃMatlabÄâºÏ·´Ó¦¶¯Á¦Ñ§·½³ÌÎÊÌâ
ÒѾÓÐ7È˻ظ´
alan_fang
ľ³æ (ÕýʽдÊÖ)
- Ó¦Öú: 5 (Ó×¶ùÔ°)
- ½ð±Ò: 29.6
- É¢½ð: 84
- ºì»¨: 2
- Ìû×Ó: 751
- ÔÚÏß: 297.3Сʱ
- ³æºÅ: 582829
- ×¢²á: 2008-07-25
- ÐÔ±ð: GG
- רҵ: »¯¹¤ÈÈÁ¦Ñ§ºÍ»ù´¡Êý¾Ý
2Â¥2013-05-27 22:58:41
meatball1982
ͳæ (СÓÐÃûÆø)
- Ó¦Öú: 8 (Ó×¶ùÔ°)
- ½ð±Ò: -3.4
- ºì»¨: 8
- Ìû×Ó: 297
- ÔÚÏß: 108.3Сʱ
- ³æºÅ: 1530793
- ×¢²á: 2011-12-09
- ÐÔ±ð: GG
- רҵ: ÀíÂۺͼÆË㻯ѧ
¡ï ¡ï
csgt0: ½ð±Ò+2, лл 2013-05-31 11:33:19
csgt0: ½ð±Ò+2, лл 2013-05-31 11:33:19
|
Ê×ÏÈ£¬ÒªËµ,LZ¸øµÄÄǸöÀý×ÓÊDz»¶ÔµÄ£¨ÎÒ¾õµÃ£© ÄãµÄfun6ÇóµÄÊÇ10¸öÖµ£¬¶ø²»ÊÇ10 ¸öÖµµÄƽ·½¼ÓºÍ¡£ ¶øÇó½âµÄʱºòÓõÄÊÇmyfun8.ÎÒÊÔÁËһϣ¬Ò²ÊÇÓÃmyfun6½øÐÐÇó½âµÄ½á¹û¡£ ¶øÎÒ¾õµÃLZµÄÒâ˼ÊÇÒªÇóx1,x2.ʹµÃƽ·½¼ÓºÍ×îС¡£ ËùÒÔ£¬¸ù¾ÝLZÀý×ÓÖиøµÄ¹«Ê½£¬½«myfun8½øÐÐÐ޸ġ£ ÓÃmain_solve.m½øÐе÷Óᣠ|
» ±¾Ìû¸½¼þ×ÊÔ´Áбí
-
»¶Ó¼à¶½ºÍ·´À¡£ºÐ¡Ä¾³æ½öÌṩ½»Á÷ƽ̨£¬²»¶Ô¸ÃÄÚÈݸºÔð¡£
±¾ÄÚÈÝÓÉÓû§×ÔÖ÷·¢²¼£¬Èç¹ûÆäÄÚÈÝÉæ¼°µ½ÖªÊ¶²úȨÎÊÌ⣬ÆäÔðÈÎÔÚÓÚÓû§±¾ÈË£¬Èç¶Ô°æÈ¨ÓÐÒìÒ飬ÇëÁªÏµÓÊÏ䣺xiaomuchong@tal.com - ¸½¼þ 1 : myfun6.m
- ¸½¼þ 2 : main_solve.m
- ¸½¼þ 3 : myfun8.m
2013-05-28 09:05:04, 65 bytes
2013-05-28 09:05:15, 205 bytes
2013-05-28 09:05:22, 85 bytes

3Â¥2013-05-28 09:05:47
meatball1982
ͳæ (СÓÐÃûÆø)
- Ó¦Öú: 8 (Ó×¶ùÔ°)
- ½ð±Ò: -3.4
- ºì»¨: 8
- Ìû×Ó: 297
- ÔÚÏß: 108.3Сʱ
- ³æºÅ: 1530793
- ×¢²á: 2011-12-09
- ÐÔ±ð: GG
- רҵ: ÀíÂۺͼÆË㻯ѧ

4Â¥2013-05-28 09:11:22
alan_fang
ľ³æ (ÕýʽдÊÖ)
- Ó¦Öú: 5 (Ó×¶ùÔ°)
- ½ð±Ò: 29.6
- É¢½ð: 84
- ºì»¨: 2
- Ìû×Ó: 751
- ÔÚÏß: 297.3Сʱ
- ³æºÅ: 582829
- ×¢²á: 2008-07-25
- ÐÔ±ð: GG
- רҵ: »¯¹¤ÈÈÁ¦Ñ§ºÍ»ù´¡Êý¾Ý
5Â¥2013-05-28 13:09:44
meatball1982
ͳæ (СÓÐÃûÆø)
- Ó¦Öú: 8 (Ó×¶ùÔ°)
- ½ð±Ò: -3.4
- ºì»¨: 8
- Ìû×Ó: 297
- ÔÚÏß: 108.3Сʱ
- ³æºÅ: 1530793
- ×¢²á: 2011-12-09
- ÐÔ±ð: GG
- רҵ: ÀíÂۺͼÆË㻯ѧ
¡ï
csgt0: ½ð±Ò+1, ¶àл½»Á÷ 2013-05-31 11:33:36
csgt0: ½ð±Ò+1, ¶àл½»Á÷ 2013-05-31 11:33:36
|
·Ç³£±§Ç¸£¬¿´Á˰ïÖú£¬ÊÇÎÒ´íÁË¡£ÎÒ°ÑÇó½â×îС¶þ³ËµÄ×îСֵ¿´³É·ÇÏßÐÔµÄ×îСֵÁË¡£ÎÒ´íÁË¡£ ¡¡»¹ºÃûÓÐÓ¦Öú¡¡¡¡¶ÔÓÚµ¢ÎóÄúµÄʱ¼ä£¬ÔٴΡ£±íʾ·Ç³£±§Ç¸¡£ Èç¹ûÊÇlsqnonlinµÄ»°£¬Ö»Ð´x1-x2¾ÍÐÐÁË¡£ Èç¹ûÊÇF=£¨x1-x2)^2+£¨y1-y2£©^2, ÄãÊÇÒªÇóx1,x2,y1,y2ËĸöÊý°É¡£ÄÇ£¨ÎÒ¾õµÃ£¬Ö»ÊÇÎÒ¾õµÃ°¡¡£ÏÖÔÚ˵»°µÃ·Ç³£½÷É÷ÁË¡££©¿ÉÄÜû·¨ÓÃlsqnonlinÁË¡£¿ÉÒÔ³¢ÊÔfminsearch¡£ÄÇÀïÃæµÄbananaº¯ÊýµÄÀý×ӺܿÉÄܶÔÄãÓаïÖú¡£ |

6Â¥2013-05-28 20:31:45
alan_fang
ľ³æ (ÕýʽдÊÖ)
- Ó¦Öú: 5 (Ó×¶ùÔ°)
- ½ð±Ò: 29.6
- É¢½ð: 84
- ºì»¨: 2
- Ìû×Ó: 751
- ÔÚÏß: 297.3Сʱ
- ³æºÅ: 582829
- ×¢²á: 2008-07-25
- ÐÔ±ð: GG
- רҵ: »¯¹¤ÈÈÁ¦Ñ§ºÍ»ù´¡Êý¾Ý
|
û¹ØÏµ£¬¸øÄ㿴ƪÎÄÏ×£¬ÉÏÃæËµµÄºÃÏñÓÃlsqnonlin¿ÉÒ﵀ |
» ±¾Ìû¸½¼þ×ÊÔ´Áбí
-
»¶Ó¼à¶½ºÍ·´À¡£ºÐ¡Ä¾³æ½öÌṩ½»Á÷ƽ̨£¬²»¶Ô¸ÃÄÚÈݸºÔð¡£
±¾ÄÚÈÝÓÉÓû§×ÔÖ÷·¢²¼£¬Èç¹ûÆäÄÚÈÝÉæ¼°µ½ÖªÊ¶²úȨÎÊÌ⣬ÆäÔðÈÎÔÚÓÚÓû§±¾ÈË£¬Èç¶Ô°æÈ¨ÓÐÒìÒ飬ÇëÁªÏµÓÊÏ䣺xiaomuchong@tal.com - ¸½¼þ 1 : MatlabÔÚ´¦Àí»¯¹¤ÈÈÁ¦Ñ§Êý¾ÝÖеÄÓ¦ÓÃ.pdf
2013-05-29 07:25:09, 176.86 K
7Â¥2013-05-29 07:24:40
meatball1982
ͳæ (СÓÐÃûÆø)
- Ó¦Öú: 8 (Ó×¶ùÔ°)
- ½ð±Ò: -3.4
- ºì»¨: 8
- Ìû×Ó: 297
- ÔÚÏß: 108.3Сʱ
- ³æºÅ: 1530793
- ×¢²á: 2011-12-09
- ÐÔ±ð: GG
- רҵ: ÀíÂۺͼÆË㻯ѧ

8Â¥2013-05-29 08:48:37














»Ø¸´´ËÂ¥
¡¡»¹ºÃûÓÐÓ¦Öú¡¡¡¡