| ²é¿´: 1452 | »Ø¸´: 3 | ||||
chaiqing123½ð³æ (СÓÐÃûÆø)
|
[ÇóÖú]
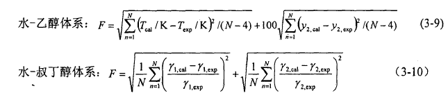
matlab±à³Ì´ó¼Ò¿´ÕâÁ½¸öʽ×Ó¸ÃÈçºÎ±àÐ´ÄØ£¿
|
|
ÕâÁ½¸öʽ×ÓÊÇÎÒµÄÄ¿±êº¯Êýʽ×Ó£¬ Èç¹ûÓÃlsqnonlin×îС¶þ³Ë·¨Çó½âµÄ»°£¬Ä¿±êº¯Êýf¸ÃÈçºÎÉèÖÃÄØ£¿lsqnonlin±¾Éí¾ÍÓÐÆ½·½ÇóºÍ¡£ |
» ²ÂÄãϲ»¶
2026ÄêµÚÎå½ìµçÆø¡¢µç×ÓÓëÐÅÏ¢¹¤³Ì¹ú¼Ê»áÒ飨ISEEIE 2026£©
ÒѾÓÐ0È˻ظ´
¹þ¶û±õÀí¹¤´óѧÎïÀíϵÕÐÊÕÎïÀíѧ¿¼Ñе÷¼Á
ÒѾÓÐ6È˻ظ´
ÎïÀíѧIÂÛÎÄÈóÉ«/·ÒëÔõôÊÕ·Ñ?
ÒѾÓÐ59È˻ظ´
0702Ò»Ö¾Ô¸¼ª´óBÇøÇóµ÷¼Á
ÒѾÓÐ5È˻ظ´
Çóµ÷¼Á
ÒѾÓÐ0È˻ظ´
0702Ò»Ö¾Ô¸¼ª´óBÇøÇóµ÷¼ÁÓÐÂÛÎÄ
ÒѾÓÐ0È˻ظ´
ÇëÎÊ»¹ÓÐûÓÐÓÃLatexдÎÄÕµÄС»ï°éÃÇ£¿
ÒѾÓÐ0È˻ظ´
¹âѧ¹¤³Ìѧ˶µ÷¼ÁÐÅÏ¢
ÒѾÓÐ30È˻ظ´
»¶Ó¼ÓÈë¿ÎÌâ×é
ÒѾÓÐ0È˻ظ´
É¢½ð±Ò£¬ÇóºÃÔË£¬×£ÃæÉÏ˳Àû£¡
ÒѾÓÐ65È˻ظ´
»ª¶«Ê¦·¶´óѧоƬÉè¼ÆÐìççÕæÊµË®Æ½Õ¦Ñù
ÒѾÓÐ1È˻ظ´
» ±¾Ö÷ÌâÏà¹Ø¼ÛÖµÌùÍÆ¼ö£¬¶ÔÄúͬÑùÓаïÖú:
major revision ´ó¼Ò¿´ÓÐÏ£ÍûÂð
ÒѾÓÐ9È˻ظ´
ÓÃMatlab±à³Ì£¬´ó¼Ò¿´¿´ÎÒ±àµÄ³ÌÐò£¬ËÖªµÀÄÄÀï´íÁ˰¡£¿
ÒѾÓÐ5È˻ظ´
matlab±à³Ì£¨µÚ¶þ°æ£©---²ËÄñÈëÃŽ̳Ì
ÒѾÓÐ515È˻ظ´
´ó¼Ò¿´¿´£¬ÎÒ¸ÃÈçºÎͶ¸åµ½ÄĸöÆÚ¿¯£¿¡¶´Ó½ðÓ¹µÄÎäѧÊÓ½Ç̸¼ÆËã»ú±à³Ì˼άµÄÅàÑø¡·
ÒѾÓÐ10È˻ظ´
ÈçºÎÓÃmatlabÈí¼þ»òÕßÓÃC¼°C++×Ô¼ºÊÖ¹¤±à³ÌѰÕÒתÕÛµã
ÒѾÓÐ12È˻ظ´
MATLAB³õѧÕߣ¬ÕâÑùµÄʽ×ÓÔõô¾ÍÊÇ»²»ÁËͼ£¬×ÜÊdzö´í!ÇóÖ¸µ¼!!!!!!!!!!!!!
ÒѾÓÐ8È˻ظ´
ÇóÖúmatlab±à³Ì
ÒѾÓÐ13È˻ظ´
matlab » Á¬½ÓÁ½¸öµãµÄ´ø¼ýÍ·µÄÏß
ÒѾÓÐ6È˻ظ´
¡¾ÇóÖú¡¿ÇóÖú matlab±à³Ì£º¿É·ñʵÏÖÇå³ýÎı¾ÎĵµÊý¾Ý
ÒѾÓÐ5È˻ظ´
¡¾ÇóÖú¡¿ÓÃmatlab±à³Ì£¬ÐèÒª½«Êý¾Ý×Ô¼ì·ÖÀࣨ¸ßÊÖ½øÀ´Ö¸µãÏ£©
ÒѾÓÐ5È˻ظ´
¡¾×ÊÔ´¡¿Matlab±à³Ì»ù´¡¼°Ó¦ÓÃ(ÊÓÆµ½Ì³Ì)
ÒѾÓÐ50È˻ظ´

2Â¥2012-05-11 10:46:02
dbb627
ÈÙÓþ°æÖ÷ (ÖøÃûдÊÖ)
-

ר¼Ò¾Ñé: +4 - ¼ÆËãÇ¿Ìû: 12
- Ó¦Öú: 289 (´óѧÉú)
- ¹ó±ö: 0.589
- ½ð±Ò: 24640.4
- É¢½ð: 551
- ºì»¨: 61
- ɳ·¢: 1
- Ìû×Ó: 1246
- ÔÚÏß: 1794.8Сʱ
- ³æºÅ: 149791
- ×¢²á: 2005-12-29
- ÐÔ±ð: GG
- רҵ: ÎÛȾ¿ØÖÆ»¯Ñ§
- ¹ÜϽ: ¼ÆËãÄ£Äâ
¡¾´ð°¸¡¿Ó¦Öú»ØÌû
¡ï ¡ï ¡ï
cenwanglai: ½ð±Ò+3, лл»Ø¸´~ 2012-05-11 22:14:11
cenwanglai: ½ð±Ò+3, лл»Ø¸´~ 2012-05-11 22:14:11
| lsqnonlin±¾Éí¾ÍÓÐÆ½·½ÇóºÍµÄ²¿·Ö£¬ËùÒÔÄãÏëÖ»ÏëÓÃcalÓëexpµÄ²îÀ´´úÌæÄ¿±êº¯Êýƽ·½²¿·Ö£¬µ«ÊÇÕⲻ̫¿ÉÄÜ£¬ÒòΪĿ±êº¯ÊýÀïÃæÓпª·½ºÍÈ¨ÖØ²¿·Ö£¬·ÇÒª¸Äд»¹ÐèÒªÅä·½£¬ËùÒÔ»¹²»ÈçÖ±½Ó¾ÍдÄãÉÏÃæÐÎʽ£¬·´ÕýÓÅ»¯Ê±Ð§¹û²î²»¶à£¬¶¼ÊÇcalÓëexpµÄÔ½½Ó½ü£¬Ä¿±êº¯ÊýԽС£¬ÇÒ²»¸Ä±äÐÎʽºÍÈ¨ÖØ£¬»òÕßÓÃfmincon¡£ |
» ±¾ÌûÒÑ»ñµÃµÄºì»¨£¨×îÐÂ10¶ä£©

3Â¥2012-05-11 21:56:51
chaiqing123
½ð³æ (СÓÐÃûÆø)
- Ó¦Öú: 1 (Ó×¶ùÔ°)
- ½ð±Ò: 679.7
- ºì»¨: 1
- Ìû×Ó: 71
- ÔÚÏß: 65.2Сʱ
- ³æºÅ: 1704607
- ×¢²á: 2012-03-20
- ÐÔ±ð: GG
- רҵ: »¯¹¤ÈÈÁ¦Ñ§ºÍ»ù´¡Êý¾Ý
4Â¥2012-07-17 10:22:00













»Ø¸´´ËÂ¥
chaiqing123