| ²é¿´: 3171 | »Ø¸´: 7 | |||
644674033ͳæ (³õÈëÎÄ̳)
|
[ÇóÖú]
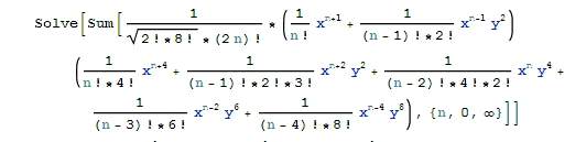
mathematicaÇóºÍΪʲô²»³ö½á¹û£¿ ÒÑÓÐ1È˲ÎÓë
|
||
|
|
|||
°®Ë¯¾õµÄ·çÒø³æ (СÓÐÃûÆø)
|
|||
![]() |
|||
|
2Â¥2014-03-24 09:00:16
|
|
||
feixiaolinÈÙÓþ°æÖ÷ (ÎÄ̳¾«Ó¢)
|
|||
|
3Â¥2014-03-24 09:57:32
|
|
||
mathstudy½ð³æ (ÕýʽдÊÖ)
|
¡¾´ð°¸¡¿Ó¦Öú»ØÌû
¡ï ¡ï ¡ï ¡ï ¡ï ¡ï ¡ï ¡ï ¡ï ¡ï ¡ï ¡ï ¡ï ¡ï ¡ï ¡ï ¡ï ¡ï ¡ï ¡ï ¡ï ¡ï ¡ï ¡ï ¡ï ¡ï ¡ï ¡ï ¡ï ¡ï ¡ï ¡ï ¡ï ¡ï ¡ï ¡ï ¡ï ¡ï ¡ï ¡ï ¡ï ¡ï ¡ï ¡ï ¡ï ¡ï ¡ï ¡ï ¡ï ¡ï ¡ï ¡ï ...
¸Ðл²ÎÓ룬ӦÖúÖ¸Êý +1 644674033(feixiaolin´ú·¢): ½ð±Ò+50 2014-03-24 10:55:14 644674033: ½ð±Ò+50, ¡ï¡ï¡ïºÜÓаïÖú, лл°¡£¬ÒªÊDz»½üËÆÈ¡ÖµÈ·Êµ³ö²»À´Êý£¬Ö»ÄÜÕâÑùÁË~ 2014-03-24 17:07:48
|
||
|
4Â¥2014-03-24 10:29:41
|
|
||
|
feixiaolin: ÆÁ±ÎÄÚÈÝ, ÖØ¸´·¢Ìû 2014-03-24 10:52:21
|
|||
|
5Â¥2014-03-24 10:30:46
|
|
||
644674033ͳæ (³õÈëÎÄ̳)
|
|||
|
6Â¥2014-03-24 17:08:20
|
|
||
644674033ͳæ (³õÈëÎÄ̳)
|
|||
|
7Â¥2014-03-24 17:08:30
|
|
||
xzczdľ³æ (СÓÐÃûÆø)
|
|||
![]() |
|||
|
8Â¥2014-07-04 11:15:45
|
|















»Ø¸´´ËÂ¥
644674033
