| 查看: 1491 | 回复: 4 | ||
[求助]
Mathematica求30乘30矩阵的行列式为何得不到结果,求指教
|
|
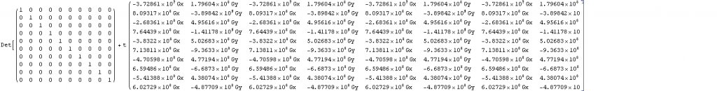
求一个单位矩阵与10乘10矩阵相加得到的矩阵的行列式,如下图所示,为什么得不到具体结果,矩阵中虽有两个变量,但这应该不影响输出啊,也应该不是软件的精度问题吧?输出的结果怎么还出现Det^(-1)的形式,是不是得用matlab算啊,请大家指教。 飞.png 翔.png [ Last edited by 知识无价 on 2013-4-9 at 11:22 ] |
» 猜你喜欢
(调剂)一志愿报考哈尔滨工业大学0857资源与环境专业378分考生
已经有6人回复
262求调剂
已经有7人回复
材料专硕322分
已经有10人回复
材料调剂
已经有8人回复
085600,320分求调剂
已经有8人回复
一志愿 江南大学 085602 化工专硕 338分求调剂
已经有11人回复
求调剂
已经有6人回复
086000调剂
已经有3人回复
求调剂
已经有4人回复
0703调剂,一志愿天津大学319分
已经有4人回复


2楼2013-04-09 11:25:10
mshwangg
至尊木虫 (正式写手)
- 程序强帖: 5
- 应助: 206 (大学生)
- 金币: 10702.8
- 散金: 100
- 红花: 19
- 帖子: 597
- 在线: 195.4小时
- 虫号: 576702
- 注册: 2008-06-21
- 专业: 物理学I
3楼2013-04-09 19:31:44

4楼2013-04-10 08:17:20
snnuxyg
木虫 (小有名气)
- 应助: 3 (幼儿园)
- 金币: 1732.9
- 红花: 1
- 帖子: 122
- 在线: 51小时
- 虫号: 2410268
- 注册: 2013-04-10
- 性别: GG
- 专业: 等离子体物理

5楼2013-04-12 08:51:38














回复此楼