| 查看: 1953 | 回复: 10 | |||
[求助]
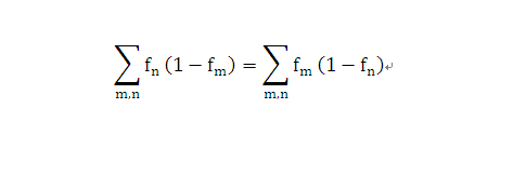
Σ 求和指标,互换时候,最后结果在什么情况下不变。如图所示
|
|||
|
|
|||
|
2楼2013-11-29 04:03:49
|
|
||
|
3楼2013-11-29 08:47:12
|
|
||
peterflyer
|
|||
|
4楼2013-11-29 09:07:52
|
|
||
feixiaolin荣誉版主 (文坛精英)
|
|||
|
5楼2013-11-29 09:17:42
|
|
||
|
6楼2013-11-29 10:39:48
|
|
||
|
7楼2013-11-29 11:27:41
|
|
||
|
8楼2013-11-29 15:49:01
|
|
||
|
9楼2013-11-30 09:53:19
|
|
||
jabile木虫 (正式写手)
|
|||
|
10楼2013-11-30 17:02:42
|
|













回复此楼


6