| 查看: 1192 | 回复: 11 | ||
贝壳老同学木虫 (小有名气)
|
[求助]
非线性微分方程求解,急求!方程在下面! 已有2人参与
|
|
|
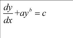
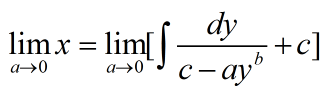
微分方程放在下面了,其中参数a、c大于0,1<b<2 上传图片老是不对,只有字母输入了y'+a*y^b=a 333.jpg [ Last edited by feixiaolin on 2014-12-4 at 19:14 ] |
» 猜你喜欢
天津大学招2026.09的博士生,欢迎大家推荐交流(博导是本人)
已经有3人回复
有时候真觉得大城市人没有县城人甚至个体户幸福
已经有6人回复
面上项目申报
已经有3人回复
酰胺脱乙酰基
已经有9人回复
CSC & MSCA 博洛尼亚大学能源材料课题组博士/博士后招生|MSCA经费充足、排名优
已经有5人回复
博士延得我,科研能力直往上蹿
已经有7人回复
退学或坚持读
已经有27人回复
面上基金申报没有其他的参与者成吗
已经有5人回复
遇见不省心的家人很难过
已经有22人回复
» 本主题相关价值贴推荐,对您同样有帮助:
非线性二阶微分方程组求解,matlab
已经有12人回复
用1stopt软件做微分方程组的参数估计
已经有13人回复
matlab 非线性微分方程求解
已经有3人回复
用matlab求解方程
已经有6人回复
求助非线性常微分方程和常系数双曲偏微分方程求解
已经有7人回复
求高手帮我分析下我这个matlab求解非线性微分方程组解的情况
已经有3人回复
matlab如何求解一个非线性微分方程组
已经有8人回复
求解一个二阶偏微分方程~~有结果,但是不知道中间过程(完美解决者答谢100¥)~
已经有4人回复
非线性微分方程组的求解
已经有5人回复
二阶非线性微分方程求解
已经有14人回复
求教:线性系统与线性微分方程的关系。非线性系统能用传递函数来描述吗?
已经有7人回复
求助一阶非线性微分方程的解
已经有7人回复
如何求解下列方程:xlnx=a(x-b)
已经有14人回复
1stopt4阶非线性常微分方程,帮小弟看一下,跪求。
已经有7人回复
如何求解描述振动的二阶微分方程
已经有21人回复
非线性微分方程组求解
已经有7人回复
matlab数值求解边界条件微分方程组
已经有7人回复
二阶非线性微分方程的求解
已经有4人回复
【求助】用mathematica 5.0求解一个非线性方程组失败,特发帖求助!
已经有5人回复
【求助】求解一个二阶非线性微分方程x''+Ax-B/(x^3)=C
已经有6人回复
【求助】如何求解下列偏微分方程
已经有13人回复
【求助】急请微分方程高手看下这个方程组!
已经有14人回复
【分享】PDECOL-经典数值求解非线性偏微分方程组源程序
已经有142人回复
peterflyer
木虫之王 (文学泰斗)
peterflyer
- 数学EPI: 10
- 应助: 20282 (院士)
- 金币: 146012
- 红花: 1374
- 帖子: 93091
- 在线: 7694.3小时
- 虫号: 1482829
- 注册: 2011-11-08
- 性别: GG
- 专业: 功能陶瓷
10楼2014-12-05 20:17:34
pippi6
铁杆木虫 (著名写手)
工程和科学数值计算咨询
- 数学EPI: 6
- 应助: 413 (硕士)
- 贵宾: 0.002
- 金币: 7116.5
- 散金: 15
- 红花: 63
- 帖子: 1639
- 在线: 798.9小时
- 虫号: 2469437
- 注册: 2013-05-14
- 专业: 计算数学与科学工程计算
2楼2014-12-04 18:30:12
pippi6
铁杆木虫 (著名写手)
工程和科学数值计算咨询
- 数学EPI: 6
- 应助: 413 (硕士)
- 贵宾: 0.002
- 金币: 7116.5
- 散金: 15
- 红花: 63
- 帖子: 1639
- 在线: 798.9小时
- 虫号: 2469437
- 注册: 2013-05-14
- 专业: 计算数学与科学工程计算
3楼2014-12-04 18:33:22
贝壳老同学
木虫 (小有名气)
- 应助: 6 (幼儿园)
- 金币: 3248.8
- 散金: 43
- 红花: 2
- 帖子: 297
- 在线: 209.5小时
- 虫号: 2513269
- 注册: 2013-06-19
- 性别: GG
- 专业: 金属材料的合金相、相变及
4楼2014-12-04 19:53:25
pippi6
铁杆木虫 (著名写手)
工程和科学数值计算咨询
- 数学EPI: 6
- 应助: 413 (硕士)
- 贵宾: 0.002
- 金币: 7116.5
- 散金: 15
- 红花: 63
- 帖子: 1639
- 在线: 798.9小时
- 虫号: 2469437
- 注册: 2013-05-14
- 专业: 计算数学与科学工程计算
5楼2014-12-04 20:15:21
贝壳老同学
木虫 (小有名气)
- 应助: 6 (幼儿园)
- 金币: 3248.8
- 散金: 43
- 红花: 2
- 帖子: 297
- 在线: 209.5小时
- 虫号: 2513269
- 注册: 2013-06-19
- 性别: GG
- 专业: 金属材料的合金相、相变及
6楼2014-12-04 20:15:29
贝壳老同学
木虫 (小有名气)
- 应助: 6 (幼儿园)
- 金币: 3248.8
- 散金: 43
- 红花: 2
- 帖子: 297
- 在线: 209.5小时
- 虫号: 2513269
- 注册: 2013-06-19
- 性别: GG
- 专业: 金属材料的合金相、相变及
7楼2014-12-04 20:28:19
贝壳老同学
木虫 (小有名气)
- 应助: 6 (幼儿园)
- 金币: 3248.8
- 散金: 43
- 红花: 2
- 帖子: 297
- 在线: 209.5小时
- 虫号: 2513269
- 注册: 2013-06-19
- 性别: GG
- 专业: 金属材料的合金相、相变及
8楼2014-12-04 20:31:27
pippi6
铁杆木虫 (著名写手)
工程和科学数值计算咨询
- 数学EPI: 6
- 应助: 413 (硕士)
- 贵宾: 0.002
- 金币: 7116.5
- 散金: 15
- 红花: 63
- 帖子: 1639
- 在线: 798.9小时
- 虫号: 2469437
- 注册: 2013-05-14
- 专业: 计算数学与科学工程计算
9楼2014-12-04 21:53:16













回复此楼