| ²é¿´: 1116 | »Ø¸´: 6 | |||
bluethkyľ³æ (ÖøÃûдÊÖ)
|
[ÇóÖú]
ÇóÒ»¸öº¯ÊýµÄlaplaceÄæ±ä»» ÒÑÓÐ3È˲ÎÓë
|
|
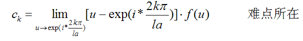
ÇóÒ»¸öº¯ÊýµÄlaplaceÄæ±ä»»£¨Èçͼ1Ëùʾ£©£¬ÆäÖÐ0<la<1,Çó´óÏÀÖ¸µãһϣ¬»òÕßÓÃÈí¼þ¼ÆËãһϣ¬³¬¼¶¸Ðл£¡ 01.jpg |
» ²ÂÄãϲ»¶
321Çóµ÷¼Á
ÒѾÓÐ5È˻ظ´
Ò»Ö¾Ô¸Öк£Ñó²ÄÁϹ¤³Ìר˶330·ÖÇóµ÷¼Á
ÒѾÓÐ7È˻ظ´
Ò»Ö¾Ô¸Ìì´ó²ÄÁÏÓ뻯¹¤£¨085600£©×Ü·Ö338
ÒѾÓÐ5È˻ظ´
288Çóµ÷¼Á
ÒѾÓÐ3È˻ظ´
²ÄÁÏ080500µ÷¼ÁÇóÊÕÁô
ÒѾÓÐ4È˻ظ´
Ò»Ö¾Ô¸¼ªÁÖ´óѧ²ÄÁÏѧ˶321Çóµ÷¼Á
ÒѾÓÐ9È˻ظ´
294Çóµ÷¼Á²ÄÁÏÓ뻯¹¤×¨Ë¶
ÒѾÓÐ8È˻ظ´
Ò»Ö¾Ô¸985£¬±¾¿Æ211£¬0817»¯Ñ§¹¤³ÌÓë¼¼Êõ319Çóµ÷¼Á
ÒѾÓÐ10È˻ظ´
Ò»Ö¾Ô¸Î÷°²½»Í¨´óѧ²ÄÁϹ¤³Ìרҵ 282·ÖÇóµ÷¼Á
ÒѾÓÐ3È˻ظ´
332Çóµ÷¼Á
ÒѾÓÐ3È˻ظ´
» ±¾Ö÷ÌâÏà¹Ø¼ÛÖµÌùÍÆ¼ö£¬¶ÔÄúͬÑùÓаïÖú:
¸µÀïÒ¶±ä»»ÎÊÌâÇóÖú
ÒѾÓÐ7È˻ظ´
[ÇóÖú]Çó½â¼«×ù±êÉÏµÄÆ«Î¢·Ö·½³Ì(Laplace¡¯s Equation)!!!!
ÒѾÓÐ6È˻ظ´
·½³Ì¸µÀïÒ¶Äæ±ä»»ÇóÖú
ÒѾÓÐ7È˻ظ´
ʦÐÖʦ½ãÃÇ£¬°ïСµÜ¿´¿´Õâ¸ö Laplace±ä»»ºóµÄ¶þ½×³£Î¢·Ö·½³ÌÔõô½â°¡
ÒѾÓÐ23È˻ظ´
¹ØÓÚlaplace±ä»»ºÍfourier±ä»»µÄÎÊÌâ
ÒѾÓÐ14È˻ظ´
Matlab 7.0 »ù´¡½Ì³Ì Ç廪´óѧ
ÒѾÓÐ29È˻ظ´
¸µÀïÒ¶±ä»»£¬Laplace±ä»»£¬Z±ä»»
ÒѾÓÐ109È˻ظ´
¸ßÐÔÄܼÆË㺯Êý¿â:LAPACK;BLAS;GOTO;Atlas;FFTW ÕâЩÄܰ²×°µ½WIN7ϵͳÉÏÂð£¿
ÒѾÓÐ6È˻ظ´
ÔõôÕÒ³ölapackº¯Êý¼°º¯ÊýµÄʹÓ÷½·¨
ÒѾÓÐ8È˻ظ´
ÓнçÇøÓòÉÏLaplaceËã×ӵĵÚÒ»ÌØÕ÷ÖµºÍÇøÓòµÄ´óСÓÐÔõÑùµÄ¹ØÏµ?
ÒѾÓÐ3È˻ظ´
ubuntu12.04ÓÃgfortranµ÷ÓÃLapack95º¯Êý¿â³ö´í¡£
ÒѾÓÐ3È˻ظ´
ÈçºÎÓÃÍÆµ¼³öÄ³Ò»×ø±êϵÄLaplaceËã·û£¿
ÒѾÓÐ3È˻ظ´
ÇëÎÊÈçºÎÇó½â¶þÔªÒ»½×΢·Ö·½³Ì×é
ÒѾÓÐ24È˻ظ´
Çë½ÌLaplace±ä»»ÎÊÌâ
ÒѾÓÐ8È˻ظ´
matlab ¸µÀïÒ¶±ä»» ƵÆ×·ÖÎö
ÒѾÓÐ12È˻ظ´
¡¾ÌÖÂÛ¡¿Ò»Î¬Laplace»ù±¾½â£¨¸ñÁÖº¯Êý£©
ÒѾÓÐ3È˻ظ´
feixiaolin
ÈÙÓþ°æÖ÷ (ÎÄ̳¾«Ó¢)
-

ר¼Ò¾Ñé: +518 - Ó¦Öú: 942 (²©ºó)
- ¹ó±ö: 1.275
- ½ð±Ò: 3430
- É¢½ð: 58785
- ºì»¨: 532
- ɳ·¢: 11
- Ìû×Ó: 24215
- ÔÚÏß: 2601.8Сʱ
- ³æºÅ: 2139575
- ×¢²á: 2012-11-21
- רҵ: ¹âѧÐÅÏ¢»ñÈ¡Óë´¦Àí
- ¹ÜϽ: Êýѧ
¡¾´ð°¸¡¿Ó¦Öú»ØÌû
¸Ðл²ÎÓ룬ӦÖúÖ¸Êý +1
» ±¾Ìû¸½¼þ×ÊÔ´Áбí
-
»¶Ó¼à¶½ºÍ·´À¡£ºÐ¡Ä¾³æ½öÌṩ½»Á÷ƽ̨£¬²»¶Ô¸ÃÄÚÈݸºÔð¡£
±¾ÄÚÈÝÓÉÓû§×ÔÖ÷·¢²¼£¬Èç¹ûÆäÄÚÈÝÉæ¼°µ½ÖªÊ¶²úȨÎÊÌ⣬ÆäÔðÈÎÔÚÓÚÓû§±¾ÈË£¬Èç¶Ô°æÈ¨ÓÐÒìÒ飬ÇëÁªÏµÓÊÏ䣺xiaomuchong@tal.com - ¸½¼þ 1 : Doc2.docx
2014-09-24 08:51:09, 17.08 K
2Â¥2014-09-24 08:54:28
mathstudy
½ð³æ (ÕýʽдÊÖ)
- ÊýѧEPI: 2
- Ó¦Öú: 161 (¸ßÖÐÉú)
- ½ð±Ò: 4320.1
- É¢½ð: 38
- ºì»¨: 16
- Ìû×Ó: 446
- ÔÚÏß: 141.1Сʱ
- ³æºÅ: 2515489
- ×¢²á: 2013-06-20
- ÐÔ±ð: GG
- רҵ: ¼ÆËãÊýѧÓë¿ÆÑ§¹¤³Ì¼ÆËã
3Â¥2014-09-24 10:07:07
bluethky
ľ³æ (ÖøÃûдÊÖ)
- Ó¦Öú: 1 (Ó×¶ùÔ°)
- ½ð±Ò: 4693.8
- É¢½ð: 849
- ºì»¨: 11
- Ìû×Ó: 1397
- ÔÚÏß: 227.7Сʱ
- ³æºÅ: 2609601
- ×¢²á: 2013-08-21
- רҵ: Ö²ÎïѧÑо¿µÄм¼Êõ¡¢Ð·½
4Â¥2014-09-24 15:14:38
feixiaolin
ÈÙÓþ°æÖ÷ (ÎÄ̳¾«Ó¢)
-

ר¼Ò¾Ñé: +518 - Ó¦Öú: 942 (²©ºó)
- ¹ó±ö: 1.275
- ½ð±Ò: 3430
- É¢½ð: 58785
- ºì»¨: 532
- ɳ·¢: 11
- Ìû×Ó: 24215
- ÔÚÏß: 2601.8Сʱ
- ³æºÅ: 2139575
- ×¢²á: 2012-11-21
- רҵ: ¹âѧÐÅÏ¢»ñÈ¡Óë´¦Àí
- ¹ÜϽ: Êýѧ
5Â¥2014-09-24 15:40:54
peterflyer
ľ³æÖ®Íõ (ÎÄѧ̩¶·)
peterflyer
- ÊýѧEPI: 10
- Ó¦Öú: 20282 (Ժʿ)
- ½ð±Ò: 146149
- ºì»¨: 1374
- Ìû×Ó: 93091
- ÔÚÏß: 7694.3Сʱ
- ³æºÅ: 1482829
- ×¢²á: 2011-11-08
- ÐÔ±ð: GG
- רҵ: ¹¦ÄÜÌÕ´É
¡¾´ð°¸¡¿Ó¦Öú»ØÌû
¡ï ¡ï ¡ï ¡ï ¡ï ¡ï ¡ï ¡ï ¡ï ¡ï
¸Ðл²ÎÓ룬ӦÖúÖ¸Êý +1
bluethky: ½ð±Ò+10, ¡ï¡ï¡ï¡ï¡ï×î¼Ñ´ð°¸ 2014-09-26 20:23:49
¸Ðл²ÎÓ룬ӦÖúÖ¸Êý +1
bluethky: ½ð±Ò+10, ¡ï¡ï¡ï¡ï¡ï×î¼Ñ´ð°¸ 2014-09-26 20:23:49
| Ìṩһ¸ö˼·¡£ÏȽ«1/(1-u^la)Õ¹³É¸´±äº¯ÊýÖеÄÀÍÂ×¼¶Êý£¬È»ºóÔÙÓëǰ±ßµÄ1/[(1-u)^2*u]Ïà³Ë£¬³ÉΪһ¶ÑÓÐÀíÕæ·ÖʽµÄÇóºÍÐÎʽ¡£·Ö±ð¶ÔÕâÐ©Õæ·ÖʽÇóÄæ±ä»»£¬È»ºóÔÙÇóºÍ¼´¿É¡£ |
6Â¥2014-09-26 18:36:20
bluethky
ľ³æ (ÖøÃûдÊÖ)
- Ó¦Öú: 1 (Ó×¶ùÔ°)
- ½ð±Ò: 4693.8
- É¢½ð: 849
- ºì»¨: 11
- Ìû×Ó: 1397
- ÔÚÏß: 227.7Сʱ
- ³æºÅ: 2609601
- ×¢²á: 2013-08-21
- רҵ: Ö²ÎïѧÑо¿µÄм¼Êõ¡¢Ð·½
7Â¥2014-09-26 20:23:51













»Ø¸´´ËÂ¥