| ²é¿´: 1412 | »Ø¸´: 8 | ||
willzhang198ľ³æ (ÖøÃûдÊÖ)
|
[ÇóÖú]
Çë½ÌLaplace±ä»»ÎÊÌâ
|
|
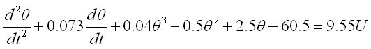
ÓÐһϵͳµÄʱÓòÄ£ÐÍÈçÏÂËùʾ ×¢£ºthetaºÍU¶¼ÊÇtµÄÒ»Ôªº¯Êý |
» ²ÂÄãϲ»¶
085600²ÄÁÏÓ뻯¹¤301·ÖÇóµ÷¼ÁԺУ
ÒѾÓÐ5È˻ظ´
081700£¬311£¬Çóµ÷¼Á
ÒѾÓÐ15È˻ظ´
Ò»Ö¾Ô¸±±¾©»¯¹¤085600 310·ÖÇóµ÷¼Á
ÒѾÓÐ18È˻ظ´
²ÄÁÏÓ뻯¹¤371Çóµ÷¼Á
ÒѾÓÐ14È˻ظ´
336²ÄÁÏÓ뻯¹¤085600Çóµ÷¼Á
ÒѾÓÐ7È˻ظ´
²ÄÁÏ334Çóµ÷¼Á
ÒѾÓÐ18È˻ظ´
331Çóµ÷¼Á
ÒѾÓÐ8È˻ظ´
332Çóµ÷¼Á
ÒѾÓÐ17È˻ظ´
Ò»Ö¾Ô¸ÄϾ©º½¿Õº½Ìì´óѧ ²ÄÁÏÓ뻯¹¤329·ÖÇóµ÷¼Á
ÒѾÓÐ4È˻ظ´
²ÄÁÏר˶322
ÒѾÓÐ7È˻ظ´
» ±¾Ö÷ÌâÏà¹Ø¼ÛÖµÌùÍÆ¼ö£¬¶ÔÄúͬÑùÓаïÖú:
תËÙ¿ØÖÆÎÊÌâ
ÒѾÓÐ17È˻ظ´
ÇóÖú¹ØÓÚ¸µÁ¢Ò¶±ä»»µÄÎÊÌâ
ÒѾÓÐ15È˻ظ´
Çë½ÌÀÆÕÀ˹±ä»»
ÒѾÓÐ5È˻ظ´
¸µÀïÒ¶±ä»»ºìÍâ¹âÆ×·¨²Ù×÷µÄ³£¼ûÎÊÌâ¼°×¢ÒâÊÂÏî
ÒѾÓÐ39È˻ظ´
¡¾ÇóÖú¡¿Ïò°æÉϵĴóÅ£Çë½ÌÒ»¸öÍÆµ¹±ä»»µÄÊýѧÌ⣬лл
ÒѾÓÐ3È˻ظ´
¡¾ÇóÖú¡¿ÓÐͼÇóÕæÏࣺÉú³ÉÂÝÐý¹ÜµÄÎÊÌâ£¨ÑØÂÝÐýÏ߱任׸±êϵ£¿£©
ÒѾÓÐ5È˻ظ´
¡¾Çë½Ì¡¿ÈçºÎ¶ÔHRTEM×ø¸µÀïÒ¶±ä»»
ÒѾÓÐ4È˻ظ´
¡¾ÇóÖú¡¿s±ä»»ÌáÈ¡ÐźŰüÂçµÄÎÊÌâ
ÒѾÓÐ3È˻ظ´
¡¾ÇóÖú¡¿Çë½Ì½âÎö¼¸ºÎ¸ßÊÖ£º100½ð±ÒÇó×ø±êÈÎÒâת¶¯±ä»»µÄ½âÎö¹«Ê½
ÒѾÓÐ15È˻ظ´
¡¾ÇóÖú¡¿Æ«Î¢·Ö·½³Ì½â·¨
ÒѾÓÐ19È˻ظ´
chenhao420
ľ³æ (ÖøÃûдÊÖ)
- Ó¦Öú: 7 (Ó×¶ùÔ°)
- ½ð±Ò: 13810.8
- É¢½ð: 3420
- ºì»¨: 11
- Ìû×Ó: 2154
- ÔÚÏß: 237.3Сʱ
- ³æºÅ: 786398
- ×¢²á: 2009-06-03
- ÐÔ±ð: GG
- רҵ: ¿ØÖÆÂÛÖеÄÊýѧ·½·¨
2Â¥2011-10-17 19:48:49
chenhao420
ľ³æ (ÖøÃûдÊÖ)
- Ó¦Öú: 7 (Ó×¶ùÔ°)
- ½ð±Ò: 13810.8
- É¢½ð: 3420
- ºì»¨: 11
- Ìû×Ó: 2154
- ÔÚÏß: 237.3Сʱ
- ³æºÅ: 786398
- ×¢²á: 2009-06-03
- ÐÔ±ð: GG
- רҵ: ¿ØÖÆÂÛÖеÄÊýѧ·½·¨
3Â¥2011-10-17 19:50:30
jxp315
гæ (³õÈëÎÄ̳)
- Ó¦Öú: 0 (Ó×¶ùÔ°)
- ½ð±Ò: 306.6
- Ìû×Ó: 49
- ÔÚÏß: 27.3Сʱ
- ³æºÅ: 1425948
- ×¢²á: 2011-10-03
- רҵ: ¿ØÖÆÀíÂÛÓë·½·¨
4Â¥2011-10-18 14:30:49
willzhang198
ľ³æ (ÖøÃûдÊÖ)
- Ó¦Öú: 6 (Ó×¶ùÔ°)
- ½ð±Ò: 4952.4
- Ìû×Ó: 1421
- ÔÚÏß: 253.6Сʱ
- ³æºÅ: 869254
- ×¢²á: 2009-10-12
- ÐÔ±ð: GG
- רҵ: Ó¦ÓõØÇòÎïÀíѧ
5Â¥2011-10-18 17:08:17
willzhang198
ľ³æ (ÖøÃûдÊÖ)
- Ó¦Öú: 6 (Ó×¶ùÔ°)
- ½ð±Ò: 4952.4
- Ìû×Ó: 1421
- ÔÚÏß: 253.6Сʱ
- ³æºÅ: 869254
- ×¢²á: 2009-10-12
- ÐÔ±ð: GG
- רҵ: Ó¦ÓõØÇòÎïÀíѧ
6Â¥2011-10-18 17:10:05
willzhang198
ľ³æ (ÖøÃûдÊÖ)
- Ó¦Öú: 6 (Ó×¶ùÔ°)
- ½ð±Ò: 4952.4
- Ìû×Ó: 1421
- ÔÚÏß: 253.6Сʱ
- ³æºÅ: 869254
- ×¢²á: 2009-10-12
- ÐÔ±ð: GG
- רҵ: Ó¦ÓõØÇòÎïÀíѧ
7Â¥2011-10-18 17:25:33
chenhao420
ľ³æ (ÖøÃûдÊÖ)
- Ó¦Öú: 7 (Ó×¶ùÔ°)
- ½ð±Ò: 13810.8
- É¢½ð: 3420
- ºì»¨: 11
- Ìû×Ó: 2154
- ÔÚÏß: 237.3Сʱ
- ³æºÅ: 786398
- ×¢²á: 2009-06-03
- ÐÔ±ð: GG
- רҵ: ¿ØÖÆÂÛÖеÄÊýѧ·½·¨
8Â¥2011-10-18 20:05:13
willzhang198
ľ³æ (ÖøÃûдÊÖ)
- Ó¦Öú: 6 (Ó×¶ùÔ°)
- ½ð±Ò: 4952.4
- Ìû×Ó: 1421
- ÔÚÏß: 253.6Сʱ
- ³æºÅ: 869254
- ×¢²á: 2009-10-12
- ÐÔ±ð: GG
- רҵ: Ó¦ÓõØÇòÎïÀíѧ
9Â¥2011-10-19 11:46:23














»Ø¸´´ËÂ¥