±±¾©Ê¯ÓÍ»¯¹¤Ñ§Ôº2026ÄêÑо¿ÉúÕÐÉú½ÓÊÕµ÷¼Á¹«¸æ
²é¿´: 1048  |  »Ø¸´: 3

sanfenliu

Ìú³æ (СÓÐÃûÆø)


[½»Á÷] ¡¾ÇóÖú¡¿Ïò°æÉϵĴóÅ£Çë½ÌÒ»¸öÍÆµ¹±ä»»µÄÊýѧÌ⣬лл

¿´Ò»ÆªÂÛÎĵÄʱºò£¬×÷ÕßÔÚÍÆµ¹×ª»»Ò»¸ö¹«Ê½µÄʱºò£¬Ò»¾ä»°´ø¹ý£¬×Ô¼ºÍƵ¹Á˰ëÌ죬»¹ÊÇת»»²»³öÀ´£¬Ïò°æÉϵĴóÅ£ÃÇÇë½Ìһϣ¬Ð»Ð»´ó¼Ò¡£

ÎÊÌâ¼û¸½Í¼£¨µÚÒ»´Î´«µÄͼÓеãСÎÊÌ⣬Õâ´ÎµÄÊǶԵģ©

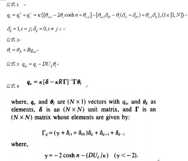
ÂÛÎÄÊÇ˵½«¹«Ê½2´úÈ빫ʽ1£¬½«µÃµ½µÄqi´úÈ빫ʽ3£¬¾Í¿ÉÒÔ±ä³É¹«Ê½4µÄÐÎʽ£¬ÈçºÎµÃµ½£¿Ð»Ð»£¡



[ Last edited by sanfenliu on 2011-3-28 at 05:21 ]
»Ø¸´´ËÂ¥

» ²ÂÄãϲ»¶

» ±¾Ö÷ÌâÏà¹Ø¼ÛÖµÌùÍÆ¼ö£¬¶ÔÄúͬÑùÓаïÖú:

» ÇÀ½ð±ÒÀ²£¡»ØÌû¾Í¿ÉÒԵõ½:

²é¿´È«²¿É¢½ðÌù

ÒÑÔÄ   »Ø¸´´ËÂ¥   ¹Ø×¢TA ¸øTA·¢ÏûÏ¢ ËÍTAºì»¨ TAµÄ»ØÌû

jfili

½ð³æ (ÕýʽдÊÖ)


sanfenliu(½ð±Ò+2): 2011-03-28 05:16:20
ÇëÎÊһϣºÌõ¼þÖÐʽ×ÓÓұ߸ø¶¨µÄϱê±íʾÇóºÍÂð£¿
È磺f_i=g_{i,k}£¬Êµ¼ÊÉÏÊÇf_i=sum_k g_{i,k}

2¡¢µÚһʽÖУºÈç¹û i=N£¬¹«Ê½1¿É²à»á³öÏÖtheta_{N+1}£¬ËùÒԾ͵ÃÓõ½¹«Ê½2ÖеÄq_{uN+1}¡£ ¶øÓÖ˵q_uΪN½×ÏòÁ¿£¬ÄÇô³öÏÖµÄq_{uN+1}ÊÇʲô£¿
2Â¥2011-03-27 18:38:02
ÒÑÔÄ   »Ø¸´´ËÂ¥   ¹Ø×¢TA ¸øTA·¢ÏûÏ¢ ËÍTAºì»¨ TAµÄ»ØÌû

sanfenliu

Ìú³æ (СÓÐÃûÆø)


ÒýÓûØÌû:
Originally posted by jfili at 2011-03-27 18:38:02:
ÇëÎÊһϣºÌõ¼þÖÐʽ×ÓÓұ߸ø¶¨µÄϱê±íʾÇóºÍÂð£¿
È磺f_i=g_{i,k}£¬Êµ¼ÊÉÏÊÇf_i=sum_k g_{i,k}

2¡¢µÚһʽÖУºÈç¹û i=N£¬¹«Ê½1¿É²à»á³öÏÖtheta_{N+1}£¬ËùÒԾ͵ÃÓõ½¹«Ê½2ÖеÄq_{uN+1}¡£ ¶øÓÖ˵q_uΪN½×ÏòÁ¿£¬ ...

1 Ó¦¸ÃÖ¸µÄ¾ÍÊÇϱê

2 ÂÛÎÄ֮ǰ²¿·Ö¶ÔÓÚtheta0Êǰ´ÕÕtheta1À´´¦ÀíµÄ£¬theta N+1 Êǰ´ÕÕ theta N´¦ÀíµÄ

ллÁË
3Â¥2011-03-28 05:16:04
ÒÑÔÄ   »Ø¸´´ËÂ¥   ¹Ø×¢TA ¸øTA·¢ÏûÏ¢ ËÍTAºì»¨ TAµÄ»ØÌû

sanfenliu

Ìú³æ (СÓÐÃûÆø)


Òѽâ¾ö£¬Ð»Ð»¹Ø×¢
4Â¥2011-03-28 17:17:36
ÒÑÔÄ   »Ø¸´´ËÂ¥   ¹Ø×¢TA ¸øTA·¢ÏûÏ¢ ËÍTAºì»¨ TAµÄ»ØÌû
Ïà¹Ø°æ¿éÌø×ª ÎÒÒª¶©ÔÄÂ¥Ö÷ sanfenliu µÄÖ÷Ìâ¸üÐÂ
×î¾ßÈËÆøÈÈÌûÍÆ¼ö [²é¿´È«²¿] ×÷Õß »Ø/¿´ ×îºó·¢±í
[¿¼ÑÐ] ÉúÎïÓëÒ½Ò©Çóµ÷¼Á +6 heguanhua 2026-04-05 7/350 2026-04-06 18:01 by Öí»á·É
[¿¼ÑÐ] ÉúÎïѧ308·ÖÇóµ÷¼Á£¨Ò»Ö¾Ô¸»ª¶«Ê¦´ó£© +7 ÏàÐűػá¹ââÍòÕ 2026-04-06 8/400 2026-04-06 17:44 by dongzh2009
[¿¼ÑÐ] 327¿¼Ñе÷¼ÁÍÆ¼ö +3 ÎØÎØÎØÎØÄØ 2026-04-06 3/150 2026-04-06 17:41 by dongzh2009
[¿¼ÑÐ] ²ÄÁϵ÷¼Á +12 Ò»ÑùYWY 2026-04-05 13/650 2026-04-06 15:38 by lin-da
[¿¼ÑÐ] »¯Ñ§µ÷¼ÁÇóÖú +8 LULONG1 2026-04-03 8/400 2026-04-06 10:26 by dongzh2009
[¿¼ÑÐ] Çóµ÷¼Á£¬Ò»Ö¾Ô¸Ö£ÖÝ´óѧ²ÄÁÏÓ뻯¹¤×¨Ë¶£¬Ó¢¶þÊý¶þ342·Ö£¬ÇóÀÏʦÊÕÁô +19 v12abo 2026-04-02 21/1050 2026-04-06 09:29 by À¶ÔÆË¼Óê
[¿¼ÑÐ] Ò»Ö¾Ô¸±±¾©»¯¹¤085600 310·ÖÇóµ÷¼Á +16 0856²ÄÁÏÓ뻯¹¤3 2026-04-04 18/900 2026-04-06 01:54 by BruceLiu320
[¿¼ÑÐ] Ò»Ö¾Ô¸Ö£ÖÝ´óѧ085600Çóµ÷¼Á +17 ³ÔµÄ²»ÉÙ 2026-04-05 20/1000 2026-04-06 00:32 by T¿É¿ÉÎ÷ÀïT
[¿¼ÑÐ] Çóµ÷¼Á +7 ÕÅ.1 2026-04-05 7/350 2026-04-05 20:40 by à£à£à£0119
[¿¼ÑÐ] ²ÄÁÏ»¯¹¤306·ÖÕÒºÏÊʵ÷¼Á +14 ²×º£ÇáÖÛe 2026-04-04 14/700 2026-04-05 09:53 by ÖìÔÆ»¢202
[¿¼ÑÐ] 285Çóµ÷¼Á +11 ŶßϺôo 2026-04-04 11/550 2026-04-05 08:15 by 544594351
[¿¼ÑÐ] 309·Ö085801Çóµ÷¼Á +11 MY_angel 2026-03-31 11/550 2026-04-04 19:11 by À¶ÔÆË¼Óê
[¿¼ÑÐ] 11408 Ò»Ö¾Ô¸Î÷µç£¬277·ÖÇóµ÷¼Á +4 zhouzhen654 2026-04-03 4/200 2026-04-04 18:10 by Öí»á·É
[¿¼ÑÐ] 268Çóµ÷¼Á +8 ÄãºÃtg 2026-04-03 9/450 2026-04-04 05:08 by gswylq
[¿¼ÑÐ] ³õÊԳɼ¨337ÕÒµ÷¼Á +3 ??? ?. ? 2026-04-03 3/150 2026-04-03 11:43 by ÍÁľ˶ʿÕÐÉú
[¿¼ÑÐ] 312Çóµ÷¼Á +6 ССī123 2026-04-02 7/350 2026-04-03 07:32 by jsw79
[¿¼ÑÐ] Ò»Ö¾Ô¸¸´µ©²ÄÁÏ£¬Ó¢Ò»×¨Ë¶£¬×Ü·Ö357µ÷¼Á +4 1050389037 2026-04-02 5/250 2026-04-02 21:40 by dongzh2009
[¿¼ÑÐ] Ò»Ö¾Ô¸»ªÄÏʦ·¶´óѧ-22408¼ÆËã»ú-292·Ö-Çó»ªÄÏʦ·¶´óѧµ÷¼Á +4 °®¶ÁÊéµÄСöùÓã 2026-04-02 4/200 2026-04-02 18:35 by Çóµ÷¼Ázz
[¿¼ÑÐ] 08ÉúÎïÓëҽҩר˶³õÊÔ346ÕÒµ÷¼Á +6 dianeeee 2026-04-01 7/350 2026-04-02 08:23 by guoweigw
[¿¼ÑÐ] 296Çóµ÷¼Á +4 Íô£¡£¿£¡ 2026-03-31 7/350 2026-04-01 22:04 by ¿Í¶ûÃÀµÂ
ÐÅÏ¢Ìáʾ
ÇëÌî´¦ÀíÒâ¼û