| 查看: 948 | 回复: 3 | ||
[求助]
在线等~~~请教一个矩阵分析的问题,大牛进来解答一下~
|
|
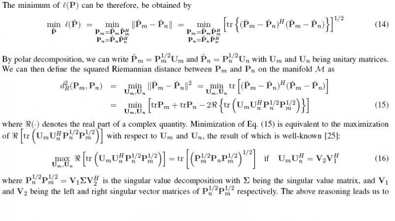
如图片所示 想要利用14式的表达式,即16式计算,所以要用到P_m^(1/2),在矩阵的右上角加1/2是什么意思?不会是矩阵每个元素取平方根吧。P_m^(1/2)和P_m是什么关系 呼唤达人,谢过了~! |
» 猜你喜欢
拟解决的关键科学问题还要不要写
已经有8人回复
存款400万可以在学校里躺平吗
已经有30人回复
最失望的一年
已经有12人回复
求推荐英文EI期刊
已经有5人回复
请教限项目规定
已经有4人回复
国自然申请面上模板最新2026版出了吗?
已经有20人回复
26申博
已经有3人回复
基金委咋了?2026年的指南还没有出来?
已经有10人回复
基金申报
已经有6人回复
疑惑?
已经有5人回复
» 本主题相关价值贴推荐,对您同样有帮助:
大牛看一下出现这种情况是怎么回事,核磁氢谱
已经有17人回复
聚氨脂丙烯酸(接支)乳液耐水性问题?急,在线等大牛答案!
已经有15人回复
请教一下对某一个矩阵如何求解近似对称轴?
已经有3人回复
一个关于水稻基因图位克隆的问题诚挚恳求大牛解答
已经有35人回复
矩阵的范数问题,望大牛们帮忙解答!
已经有13人回复
想请教一个旋转矩阵的问题
已经有5人回复
【公式拟合问题】如何拟合下面这样的一个公式,多谢大牛。
已经有6人回复
想大家请教一个问题。。
已经有25人回复
请教一个矩阵求逆问题
已经有4人回复
【求助】向版上的大牛请教一个推倒变换的数学题,谢谢
已经有3人回复
【交流】请教一下各位高手关于量子力学中的矩阵力学的一个问题
已经有4人回复
【求助】想请教一个如何求解旋转矩阵的问题
已经有6人回复
【求助】请教一个与自旋有关的哈密顿矩阵,锯齿形石墨
已经有4人回复
【求助】请教一个IR分析的问题
已经有16人回复
【求助】请教一个有关UPS的问题
已经有10人回复
凌绝顶
铁杆木虫 (著名写手)
- 应助: 4 (幼儿园)
- 金币: 8901.8
- 散金: 20
- 红花: 4
- 帖子: 2683
- 在线: 386.9小时
- 虫号: 578687
- 注册: 2008-07-04
- 专业: 基础物理学
2楼2012-03-27 12:25:35
3楼2012-03-27 15:42:02
chbhx
木虫 (小有名气)
- 应助: 19 (小学生)
- 金币: 2073.7
- 帖子: 203
- 在线: 135.6小时
- 虫号: 1450143
- 注册: 2011-10-19
- 性别: GG
- 专业: 信息系统与管理

4楼2012-03-27 17:26:27













回复此楼