| ²é¿´: 2351 | »Ø¸´: 14 | ||
bluethkyľ³æ (ÖøÃûдÊÖ)
|
[ÇóÖú]
¹ØÓÚlaplace±ä»»ºÍfourier±ä»»µÄÎÊÌâ ÒÑÓÐ1È˲ÎÓë
|
|
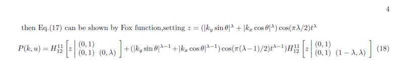
ÎÒÏÖÔÚÏëͨ¹ýÄæfourier±ä»»£¬½«kx¡ªµ½x£¬kyµ½y£¬µ«ÊÇÎÒËã²»³öÀ´£¬Çó´óÏÀ°ï棬»ò¸øÐ©Ë¼Â·¡£¡£¡£ ·Ç³£¸Ðл£¡ Ïêϸʽ×Ó£¬ÈçͼһËùʾ Ôٴαíʾ¸Ðл£¡ ͼ1.jpg |
» ²ÂÄãϲ»¶
Ò»Ö¾Ô¸±±½»´ó²ÄÁϹ¤³Ì×Ü·Ö358Çóµ÷¼Á
ÒѾÓÐ8È˻ظ´
ר˶304ÕÒµ÷¼Á£¬Ò»Ïß³ÇÊÐ×îºÃ
ÒѾÓÐ3È˻ظ´
Ò»Ö¾Ô¸ÄϺ½£¬ÊýһӢһѧ˶317Çóµ÷¼Á£¡£¡
ÒѾÓÐ6È˻ظ´
295Çóµ÷¼Á
ÒѾÓÐ12È˻ظ´
285Çóµ÷¼Á
ÒѾÓÐ10È˻ظ´
²ÄÁÏÇóµ÷¼Á
ÒѾÓÐ12È˻ظ´
0703»¯Ñ§µ÷¼Á325·Ö
ÒѾÓÐ13È˻ظ´
08600ÉúÎïÓëÒ½Ò©-327
ÒѾÓÐ8È˻ظ´
µ÷¼Á
ÒѾÓÐ10È˻ظ´
085600²ÄÁÏÓ뻯¹¤301·ÖÇóµ÷¼ÁԺУ
ÒѾÓÐ15È˻ظ´
» ±¾Ö÷ÌâÏà¹Ø¼ÛÖµÌùÍÆ¼ö£¬¶ÔÄúͬÑùÓаïÖú:
matlabÖÐÀûÓÃFFT½øÐÐFourier±ä»»ºóÕæÊµÆµÂÊfÖµ¼ÆËãÎÊÌâ
ÒѾÓÐ10È˻ظ´
Matlab 7.0 »ù´¡½Ì³Ì Ç廪´óѧ
ÒѾÓÐ29È˻ظ´
¸µÀïÒ¶±ä»»£¬Laplace±ä»»£¬Z±ä»»
ÒѾÓÐ109È˻ظ´
·ÖÊý½×¸µÀïÒ¶±ä»»²ÉÑùÎÊÌâ.
ÒѾÓÐ4È˻ظ´
¡¾ Ó¢ÎÄ¡¿¡¶¸µÀïÒ¶±ä»»ºÍÀÆÕÀ˹±ä»»¡·¡¾ÒÑËÑË÷£¬ÎÞÖØ¸´¡¿
ÒѾÓÐ202È˻ظ´
¹ØÓÚ¸µÀïÒ¶Äæ±ä»»ºÍÀÆÕÀË¹Äæ±ä»»µÄÎÊÌâ
ÒѾÓÐ7È˻ظ´
·´ÀÆÕÀ˹±ä»»»ý·ÖÏȺóÎÊÌâ
ÒѾÓÐ7È˻ظ´
°ïæ¿´ÏÂÕâ¸öÅ·¼¸ÀïµÃ±ä»»ÈºµÄÎÊÌâ
ÒѾÓÐ4È˻ظ´
Çë½Ì¹ØÓÚLaplaceËã×ÓµÄÌØÕ÷ÖµµÄÎÊÌâ
ÒѾÓÐ4È˻ظ´
ÄÄλ´óÉñÀ´Ö¸µ¼ÏÂÊý×ÖÐźŴ¦ÀíÔõôѧ£¬¸Ð¼¤²»¾¡
ÒѾÓÐ30È˻ظ´
ÈçºÎÓÃÍÆµ¼³öÄ³Ò»×ø±êϵÄLaplaceËã·û£¿
ÒѾÓÐ3È˻ظ´
Ò»¸ö¹ØÓÚ¸µÀïÒ¶±ä»»µÄÎÊÌâ¡£
ÒѾÓÐ6È˻ظ´
Çë½ÌLaplace±ä»»ÎÊÌâ
ÒѾÓÐ8È˻ظ´
matlab ¸µÀïÒ¶±ä»» ƵÆ×·ÖÎö
ÒѾÓÐ12È˻ظ´
¸µÀïÒ¶±ä»»ºìÍâ¹âÆ×·¨²Ù×÷µÄ³£¼ûÎÊÌâ¼°×¢ÒâÊÂÏî
ÒѾÓÐ39È˻ظ´
»ý·ÖÇóÖú
ÒѾÓÐ12È˻ظ´
¡¾ÌÖÂÛ¡¿¡¾ÇóÖú¡¿Ò»¸ö΢·Ö·½³ÌµÄ½â
ÒѾÓÐ7È˻ظ´
[ÇóÖú]ËĽ×ÏßÐÔ³£Î¢·Ö·½³Ì½â·¨»òÈí¼þ
ÒѾÓÐ11È˻ظ´
mathstudy
½ð³æ (ÕýʽдÊÖ)
- ÊýѧEPI: 2
- Ó¦Öú: 161 (¸ßÖÐÉú)
- ½ð±Ò: 4320.1
- É¢½ð: 38
- ºì»¨: 16
- Ìû×Ó: 446
- ÔÚÏß: 141.1Сʱ
- ³æºÅ: 2515489
- ×¢²á: 2013-06-20
- ÐÔ±ð: GG
- רҵ: ¼ÆËãÊýѧÓë¿ÆÑ§¹¤³Ì¼ÆËã
¡¾´ð°¸¡¿Ó¦Öú»ØÌû
¡ï ¡ï ¡ï ¡ï ¡ï ¡ï ¡ï ¡ï ¡ï ¡ï ¡ï ¡ï ¡ï ¡ï ¡ï ¡ï ¡ï ¡ï ¡ï ¡ï
¸Ðл²ÎÓ룬ӦÖúÖ¸Êý +1
bluethky: ½ð±Ò+20, ¡ï¡ï¡ï¡ï¡ï×î¼Ñ´ð°¸, ·Ç³£¸Ðл£¡ 2014-05-01 10:35:54
¸Ðл²ÎÓ룬ӦÖúÖ¸Êý +1
bluethky: ½ð±Ò+20, ¡ï¡ï¡ï¡ï¡ï×î¼Ñ´ð°¸, ·Ç³£¸Ðл£¡ 2014-05-01 10:35:54
|
Â¥Ö÷ÊÇ×ö·ÖÊý½×µÄ°É...ºÇºÇ...²»ÊÇÕâôÈÝÒ×µÄʰ¡£» ÄãµÄFÊϱ任ÀïÃæÔõôûÓÐÐéÊýµ¥Î» Ö»ÓÐsin ºÍcos (ÊDz»ÊÇ ÓÐÏÞÇø¼ä)? 1.½âÎöÄæ²»ÈÝÒ×£¬¸öÈ˽¨Òé °ÑMº¯Êýת»»³ÉHº¯Êý¿´¿´£¿ 2.ÊýֵĿÊÔÊÔ£¿ |
» ±¾ÌûÒÑ»ñµÃµÄºì»¨£¨×îÐÂ10¶ä£©
2Â¥2014-04-28 15:11:29
bluethky
ľ³æ (ÖøÃûдÊÖ)
- Ó¦Öú: 1 (Ó×¶ùÔ°)
- ½ð±Ò: 4703.8
- É¢½ð: 849
- ºì»¨: 11
- Ìû×Ó: 1399
- ÔÚÏß: 227.7Сʱ
- ³æºÅ: 2609601
- ×¢²á: 2013-08-21
- רҵ: Ö²ÎïѧÑо¿µÄм¼Êõ¡¢Ð·½
3Â¥2014-04-28 18:28:27
bluethky
ľ³æ (ÖøÃûдÊÖ)
- Ó¦Öú: 1 (Ó×¶ùÔ°)
- ½ð±Ò: 4703.8
- É¢½ð: 849
- ºì»¨: 11
- Ìû×Ó: 1399
- ÔÚÏß: 227.7Сʱ
- ³æºÅ: 2609601
- ×¢²á: 2013-08-21
- רҵ: Ö²ÎïѧÑо¿µÄм¼Êõ¡¢Ð·½
4Â¥2014-04-28 18:29:09
mathstudy
½ð³æ (ÕýʽдÊÖ)
- ÊýѧEPI: 2
- Ó¦Öú: 161 (¸ßÖÐÉú)
- ½ð±Ò: 4320.1
- É¢½ð: 38
- ºì»¨: 16
- Ìû×Ó: 446
- ÔÚÏß: 141.1Сʱ
- ³æºÅ: 2515489
- ×¢²á: 2013-06-20
- ÐÔ±ð: GG
- רҵ: ¼ÆËãÊýѧÓë¿ÆÑ§¹¤³Ì¼ÆËã
|
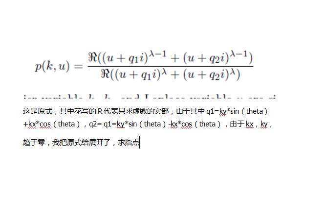
ȷʵ¸´ÔÓ,ÎÒ˵µÄ Mº¯Êý¾ÍÊÇÄãµÄMittag-lefflerº¯Êý Hº¯Êý¾ÍÊÇ H-foxº¯Êý http://en.wikipedia.org/wiki/Fox_H-function http://www.sciencedirect.com/sci ... i/S0377042704003826 http://nozdr.ru/data/media/bibli ... nctions/Mathai%20A.,%20et%20al.%20The%20H-Function..%20Theory%20and%20applications%20(Springer,%202010)(ISBN%20144190915X)(O)(275s)_MCsf_.pdf |
5Â¥2014-04-28 19:40:52
bluethky
ľ³æ (ÖøÃûдÊÖ)
- Ó¦Öú: 1 (Ó×¶ùÔ°)
- ½ð±Ò: 4703.8
- É¢½ð: 849
- ºì»¨: 11
- Ìû×Ó: 1399
- ÔÚÏß: 227.7Сʱ
- ³æºÅ: 2609601
- ×¢²á: 2013-08-21
- רҵ: Ö²ÎïѧÑо¿µÄм¼Êõ¡¢Ð·½
6Â¥2014-04-29 16:35:34
mathstudy
½ð³æ (ÕýʽдÊÖ)
- ÊýѧEPI: 2
- Ó¦Öú: 161 (¸ßÖÐÉú)
- ½ð±Ò: 4320.1
- É¢½ð: 38
- ºì»¨: 16
- Ìû×Ó: 446
- ÔÚÏß: 141.1Сʱ
- ³æºÅ: 2515489
- ×¢²á: 2013-06-20
- ÐÔ±ð: GG
- רҵ: ¼ÆËãÊýѧÓë¿ÆÑ§¹¤³Ì¼ÆËã
7Â¥2014-04-29 19:20:19
bluethky
ľ³æ (ÖøÃûдÊÖ)
- Ó¦Öú: 1 (Ó×¶ùÔ°)
- ½ð±Ò: 4703.8
- É¢½ð: 849
- ºì»¨: 11
- Ìû×Ó: 1399
- ÔÚÏß: 227.7Сʱ
- ³æºÅ: 2609601
- ×¢²á: 2013-08-21
- רҵ: Ö²ÎïѧÑо¿µÄм¼Êõ¡¢Ð·½
8Â¥2014-04-29 20:07:58
mathstudy
½ð³æ (ÕýʽдÊÖ)
- ÊýѧEPI: 2
- Ó¦Öú: 161 (¸ßÖÐÉú)
- ½ð±Ò: 4320.1
- É¢½ð: 38
- ºì»¨: 16
- Ìû×Ó: 446
- ÔÚÏß: 141.1Сʱ
- ³æºÅ: 2515489
- ×¢²á: 2013-06-20
- ÐÔ±ð: GG
- רҵ: ¼ÆËãÊýѧÓë¿ÆÑ§¹¤³Ì¼ÆËã
9Â¥2014-04-30 06:12:51
bluethky
ľ³æ (ÖøÃûдÊÖ)
- Ó¦Öú: 1 (Ó×¶ùÔ°)
- ½ð±Ò: 4703.8
- É¢½ð: 849
- ºì»¨: 11
- Ìû×Ó: 1399
- ÔÚÏß: 227.7Сʱ
- ³æºÅ: 2609601
- ×¢²á: 2013-08-21
- רҵ: Ö²ÎïѧÑо¿µÄм¼Êõ¡¢Ð·½
10Â¥2014-04-30 12:43:38














»Ø¸´´ËÂ¥
bluethky