| 查看: 1595 | 回复: 7 | |||
bluethky木虫 (著名写手)
|
[求助]
关于傅里叶逆变换和拉普拉斯逆变换的问题
|
|
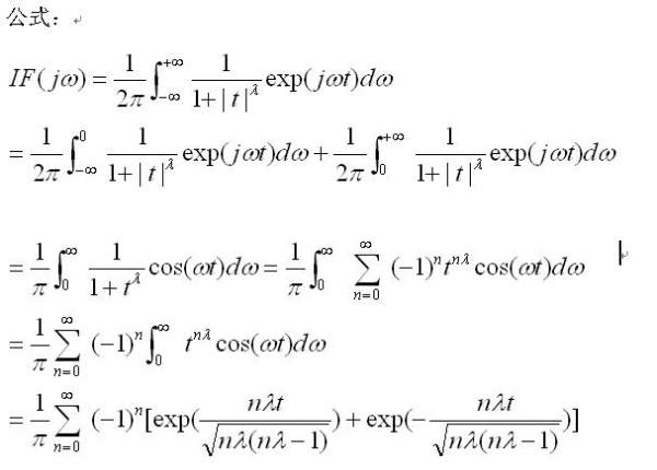
1/(u - b Abs[k]^\[Lambda] - b Abs^\[Lambda]); 其中b是常数,Abs【k】,是k的绝对值,这个式子怎么处理才能求出其逆傅里叶变换k---》 r,以及逆拉普拉斯变换u----》 t 求解答,先谢谢了! 具体式子如图片所示 所求式子.jpg [ Last edited by bluethky on 2013-10-24 at 17:16 ] |
» 猜你喜欢
论文投稿,期刊推荐
已经有6人回复
寻求一种能扛住强氧化性腐蚀性的容器密封件
已经有3人回复
请问哪里可以有青B申请的本子可以借鉴一下。
已经有4人回复
真诚求助:手里的省社科项目结项要求主持人一篇中文核心,有什么渠道能发核心吗
已经有6人回复
孩子确诊有中度注意力缺陷
已经有14人回复
请问下大家为什么这个铃木偶联几乎不反应呢
已经有5人回复
请问有评职称,把科研教学业绩算分排序的高校吗
已经有5人回复
2025冷门绝学什么时候出结果
已经有3人回复
天津工业大学郑柳春团队欢迎化学化工、高分子化学或有机合成方向的博士生和硕士生加入
已经有4人回复
康复大学泰山学者周祺惠团队招收博士研究生
已经有6人回复
» 本主题相关价值贴推荐,对您同样有帮助:
求一个逆拉普拉斯变换?!
已经有4人回复
反拉普拉斯变换积分先后问题
已经有7人回复
小数值log变换方法,怎么最好?
已经有3人回复
傅里叶变换、拉普拉斯变换的时域转换的测量方法
已经有4人回复
Radon变换的MATLAB实现
已经有9人回复
如何理解拉普拉斯变换,傅立叶变换的
已经有10人回复
求解拉普拉斯变换
已经有4人回复
请教Laplace变换问题
已经有8人回复
下面这个微分方程如何根据拉普拉斯变换得到下面的特解啊?
已经有4人回复
【求助】求助《信号与线性系统》
已经有11人回复
【请教】如何对HRTEM坐傅里叶变换
已经有4人回复
【求助】离散拉普拉斯变换
已经有6人回复
【求助】图像处理过程中空间域和转换域本质的区别是什么??
已经有14人回复
【讨论】你所知道的非线性方法
已经有8人回复
feixiaolin
荣誉版主 (文坛精英)
-

专家经验: +518 - 应助: 942 (博后)
- 贵宾: 1.275
- 金币: 2930
- 散金: 58785
- 红花: 532
- 沙发: 11
- 帖子: 24215
- 在线: 2601.8小时
- 虫号: 2139575
- 注册: 2012-11-21
- 专业: 光学信息获取与处理
- 管辖: 数学
2楼2013-10-24 20:50:56
bluethky
木虫 (著名写手)
- 应助: 1 (幼儿园)
- 金币: 4449.8
- 散金: 849
- 红花: 11
- 帖子: 1352
- 在线: 227.3小时
- 虫号: 2609601
- 注册: 2013-08-21
- 专业: 物理学II
3楼2013-10-24 23:21:55
bluethky
木虫 (著名写手)
- 应助: 1 (幼儿园)
- 金币: 4449.8
- 散金: 849
- 红花: 11
- 帖子: 1352
- 在线: 227.3小时
- 虫号: 2609601
- 注册: 2013-08-21
- 专业: 物理学II
4楼2013-10-24 23:25:51
bluethky
木虫 (著名写手)
- 应助: 1 (幼儿园)
- 金币: 4449.8
- 散金: 849
- 红花: 11
- 帖子: 1352
- 在线: 227.3小时
- 虫号: 2609601
- 注册: 2013-08-21
- 专业: 物理学II
5楼2013-10-24 23:31:44
feixiaolin
荣誉版主 (文坛精英)
-

专家经验: +518 - 应助: 942 (博后)
- 贵宾: 1.275
- 金币: 2930
- 散金: 58785
- 红花: 532
- 沙发: 11
- 帖子: 24215
- 在线: 2601.8小时
- 虫号: 2139575
- 注册: 2012-11-21
- 专业: 光学信息获取与处理
- 管辖: 数学
6楼2013-10-25 12:36:15
feixiaolin
荣誉版主 (文坛精英)
-

专家经验: +518 - 应助: 942 (博后)
- 贵宾: 1.275
- 金币: 2930
- 散金: 58785
- 红花: 532
- 沙发: 11
- 帖子: 24215
- 在线: 2601.8小时
- 虫号: 2139575
- 注册: 2012-11-21
- 专业: 光学信息获取与处理
- 管辖: 数学
7楼2013-10-25 12:42:18
bluethky
木虫 (著名写手)
- 应助: 1 (幼儿园)
- 金币: 4449.8
- 散金: 849
- 红花: 11
- 帖子: 1352
- 在线: 227.3小时
- 虫号: 2609601
- 注册: 2013-08-21
- 专业: 物理学II
8楼2013-10-25 16:53:55













回复此楼
bluethky