| 查看: 1352 | 回复: 4 | ||
[交流]
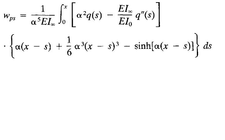
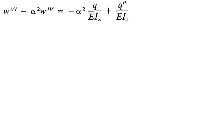
下面这个微分方程如何根据拉普拉斯变换得到下面的特解啊? 已有2人参与
|
» 本主题相关价值贴推荐,对您同样有帮助:
磁矢位A的柱坐标下的拉普拉斯算符的推导
已经有26人回复
请教拉普拉斯变换
已经有5人回复
第一性原理如何描述化学反应动力学?
已经有21人回复
有向图和拉普拉斯矩阵
已经有4人回复
【求助】拉普拉斯求解~~~
已经有8人回复
【讨论】拉普拉斯电荷分布(laplacian of the electron density)
已经有3人回复
【求助】拉普拉斯算符如何读
已经有7人回复
【求助】离散拉普拉斯变换
已经有6人回复
【转帖】理解矩阵
已经有51人回复

sskkyy
银虫 (正式写手)
- 数学EPI: 1
- 应助: 180 (高中生)
- 金币: 1017.9
- 散金: 376
- 红花: 18
- 帖子: 742
- 在线: 245.1小时
- 虫号: 1324155
- 注册: 2011-06-16
- 专业: 拓扑学
2楼2011-08-09 21:17:21
duaichexian
新虫 (小有名气)
- 应助: 0 (幼儿园)
- 金币: 261.4
- 红花: 1
- 帖子: 56
- 在线: 14小时
- 虫号: 1348373
- 注册: 2011-07-17
- 专业: 信息理论与信息系统
3楼2011-08-09 22:15:31

4楼2011-08-12 19:48:15

5楼2011-08-12 19:48:36














回复此楼