| ²é¿´: 3281 | »Ø¸´: 26 | ||||
| ±¾Ìû²úÉú 1 ¸ö ÎïÀíEPI £¬µã»÷ÕâÀï½øÐв鿴 | ||||
ϦÑôÎ÷ÏÂ½ð³æ (ÖøÃûдÊÖ)
|
[½»Á÷]
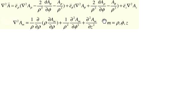
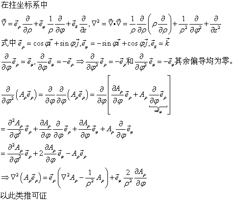
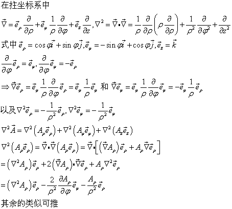
´ÅʸλAµÄÖù×ø±êϵÄÀÆÕÀ˹Ëã·ûµÄÍÆµ¼ ÒÑÓÐ9È˲ÎÓë
|
|||
ÉêÇëÁôѧ | Çཷ²»À± À±½·²»Çà |
» ±¾ÌûÒÑ»ñµÃµÄºì»¨£¨×îÐÂ10¶ä£©
» ²ÂÄãϲ»¶
Çóµ÷¼Á
ÒѾÓÐ23È˻ظ´
301Çóµ÷¼Á
ÒѾÓÐ15È˻ظ´
304Çóµ÷¼Á£¨085602£¬¹ýËļ¶£¬Ò»Ö¾Ô¸985£©
ÒѾÓÐ17È˻ظ´
302·ÖÇóµ÷¼Á Ò»Ö¾Ô¸°²»Õ´óѧ085601
ÒѾÓÐ12È˻ظ´
288»·¾³×¨Ë¶,Çóµ÷²ÄÁÏ·½Ïò
ÒѾÓÐ23È˻ظ´
»·¾³×¨Ë¶µ÷¼Á
ÒѾÓÐ6È˻ظ´
22408 µ÷¼Á²ÄÁÏ
ÒѾÓÐ6È˻ظ´
285Çóµ÷¼Á
ÒѾÓÐ12È˻ظ´
Çóµ÷¼Á
ÒѾÓÐ6È˻ظ´
085600²ÄÁÏÓ뻯¹¤301·ÖÇóµ÷¼ÁԺУ
ÒѾÓÐ19È˻ظ´
» ±¾Ö÷ÌâÏà¹Ø¼ÛÖµÌùÍÆ¼ö£¬¶ÔÄúͬÑùÓаïÖú:
ÏÂÃæÕâ¸ö΢·Ö·½³ÌÈçºÎ¸ù¾ÝÀÆÕÀ˹±ä»»µÃµ½ÏÂÃæµÄÌØ½â°¡£¿
ÒѾÓÐ4È˻ظ´
Çë½ÌÀÆÕÀ˹±ä»»
ÒѾÓÐ5È˻ظ´
ÓÐÏòͼºÍÀÆÕÀ˹¾ØÕó
ÒѾÓÐ4È˻ظ´
¡¾ÇóÖú¡¿ÀÆÕÀ˹Çó½â~~~
ÒѾÓÐ8È˻ظ´
¡¾ÇóÖú¡¿ÀÆÕÀ˹Ëã·ûÈçºÎ¶Á
ÒѾÓÐ7È˻ظ´
¡¾ÇóÖú¡¿ÀëÉ¢ÀÆÕÀ˹±ä»»
ÒѾÓÐ6È˻ظ´
cosmology
½ð³æ (ÕýʽдÊÖ)
- ÎïÀíEPI: 10
- Ó¦Öú: 15 (СѧÉú)
- ½ð±Ò: 1411.3
- ºì»¨: 1
- Ìû×Ó: 418
- ÔÚÏß: 48.6Сʱ
- ³æºÅ: 230145
- ×¢²á: 2006-03-26
- ÐÔ±ð: GG
- רҵ: »ù´¡ÎïÀíѧ
12Â¥2012-03-05 19:01:00
cosmology
½ð³æ (ÕýʽдÊÖ)
- ÎïÀíEPI: 10
- Ó¦Öú: 15 (СѧÉú)
- ½ð±Ò: 1411.3
- ºì»¨: 1
- Ìû×Ó: 418
- ÔÚÏß: 48.6Сʱ
- ³æºÅ: 230145
- ×¢²á: 2006-03-26
- ÐÔ±ð: GG
- רҵ: »ù´¡ÎïÀíѧ
16Â¥2012-03-05 21:10:55
cosmology
½ð³æ (ÕýʽдÊÖ)
- ÎïÀíEPI: 10
- Ó¦Öú: 15 (СѧÉú)
- ½ð±Ò: 1411.3
- ºì»¨: 1
- Ìû×Ó: 418
- ÔÚÏß: 48.6Сʱ
- ³æºÅ: 230145
- ×¢²á: 2006-03-26
- ÐÔ±ð: GG
- רҵ: »ù´¡ÎïÀíѧ
2Â¥2012-03-04 21:30:04
racoon01
ר¼Ò¹ËÎÊ (ÖøÃûдÊÖ)
-

ר¼Ò¾Ñé: +213 - ÎïÀíEPI: 25
- Ó¦Öú: 212 (´óѧÉú)
- ½ð±Ò: 24355.2
- É¢½ð: 27
- ºì»¨: 71
- Ìû×Ó: 2438
- ÔÚÏß: 643.2Сʱ
- ³æºÅ: 1282452
- ×¢²á: 2011-05-01
- רҵ: Öйú½ü´úÊ·¡¢ÏÖ´úÊ·
- ¹ÜϽ: ÎïÀí
¡ï
Сľ³æ(½ð±Ò+0.5):¸ø¸öºì°ü£¬Ð»Ð»»ØÌû
ϦÑôÎ÷ÏÂ: ÕâÊÇÊéÉϵĽá¹û£¬µÚ¶þ¸öÖù×ø±êµÄÀÆÕÀ˹Ëã·ûÓ¦¸ÃûÎÊÌâ¡£¾ÍÊÇÒªÍÆµ¼µÚÒ»¸öʽ×Ó£¬¾ßÌå¹ý³Ì¡£ 2012-03-05 10:12:51
Сľ³æ(½ð±Ò+0.5):¸ø¸öºì°ü£¬Ð»Ð»»ØÌû
ϦÑôÎ÷ÏÂ: ÕâÊÇÊéÉϵĽá¹û£¬µÚ¶þ¸öÖù×ø±êµÄÀÆÕÀ˹Ëã·ûÓ¦¸ÃûÎÊÌâ¡£¾ÍÊÇÒªÍÆµ¼µÚÒ»¸öʽ×Ó£¬¾ßÌå¹ý³Ì¡£ 2012-03-05 10:12:51
|
²»ÖªÏÈÉúÏë½»Á÷ʲô£¿ ¾ÍÄãдµÄÕâÁ½¸ö¹«Ê½¶øÑÔ£¬µÚ¶þ¸ö¹«Ê½Ã÷ÏÔÊÇ´íÎóµÄ£¬ÄǸöϱêmÖ»Óдú±íÖ±½Ç·ÖÁ¿²Å¶Ô¡£ÈôÓÃm´ú±íÖù×ø±ê·ÖÁ¿£¬Ôò´í¡£ÀíÓÉÊÇ£ºÖù×ø±êϵµÄµ¥Î»»ùʸÁ¿²»Êdz£Ê¸Á¿¡£ °´ÕÕͬÑùµÄÀíÓÉ£¬¶ÔÄãдµÄµÚÒ»¸ö¹«Ê½µÄÕýÈ·ÐÔÒ²±íʾ»³ÒÉ¡£ |

3Â¥2012-03-04 22:24:44
lurencyj
ľ³æ (ÖøÃûдÊÖ)
- Ó¦Öú: 159 (¸ßÖÐÉú)
- ½ð±Ò: 2869.2
- É¢½ð: 520
- ºì»¨: 8
- ɳ·¢: 10
- Ìû×Ó: 1244
- ÔÚÏß: 148.3Сʱ
- ³æºÅ: 888093
- ×¢²á: 2009-10-29
- ÐÔ±ð: GG
- רҵ: Äý¾Û̬ÎïÐÔI:½á¹¹¡¢Á¦Ñ§ºÍ

4Â¥2012-03-05 00:10:27
ϦÑôÎ÷ÏÂ
½ð³æ (ÖøÃûдÊÖ)
- ÎïÀíEPI: 2
- Ó¦Öú: 138 (¸ßÖÐÉú)
- ¹ó±ö: 0.041
- ½ð±Ò: 9247.1
- É¢½ð: 73
- ºì»¨: 28
- ɳ·¢: 1
- Ìû×Ó: 1268
- ÔÚÏß: 1164.4Сʱ
- ³æºÅ: 220750
- ×¢²á: 2006-03-20
- רҵ: Äý¾Û̬ÎïÐÔ II £ºµç×ӽṹ
- ¹ÜϽ: ÎïÀí
5Â¥2012-03-05 10:11:06
cosmology
½ð³æ (ÕýʽдÊÖ)
- ÎïÀíEPI: 10
- Ó¦Öú: 15 (СѧÉú)
- ½ð±Ò: 1411.3
- ºì»¨: 1
- Ìû×Ó: 418
- ÔÚÏß: 48.6Сʱ
- ³æºÅ: 230145
- ×¢²á: 2006-03-26
- ÐÔ±ð: GG
- רҵ: »ù´¡ÎïÀíѧ
6Â¥2012-03-05 13:12:15
Ëï?ª730
ÖÁ×ðľ³æ (ÖªÃû×÷¼Ò)
- ÎïÀíEPI: 7
- Ó¦Öú: 537 (²©Ê¿)
- ¹ó±ö: 0.961
- ½ð±Ò: 22979.7
- É¢½ð: 6464
- ºì»¨: 177
- ɳ·¢: 16
- Ìû×Ó: 8217
- ÔÚÏß: 2899.2Сʱ
- ³æºÅ: 490447
- ×¢²á: 2008-01-03
¡ï
Сľ³æ(½ð±Ò+0.5):¸ø¸öºì°ü£¬Ð»Ð»»ØÌû
Сľ³æ(½ð±Ò+0.5):¸ø¸öºì°ü£¬Ð»Ð»»ØÌû
|
??? ??2?? ? ?????????????? ????????????????????????? ??????????????? ??????2?? ???????Am ??????????????????????? ??????????? ??????????????????????? ???????? ???????????????? ???????????????????????? x= y= z= ???? ?????? ??¨°????????? ??? ??1?? ? ??????? ???????????§» ????????????????????§Õ???? ?????????????????? ????????? z????????????????? ???????????ú‘ ??????????????????????? ?????????????????????????????? ?????????????????????????????????????? ???§»????????????? ???????????????????????? ??????????? ?????????????????????????????¦²??????? ???????????????? ????? ![]() [ Last edited by ????730 on 2012-3-5 at 13:17 ] |

7Â¥2012-03-05 13:14:07
ϦÑôÎ÷ÏÂ
½ð³æ (ÖøÃûдÊÖ)
- ÎïÀíEPI: 2
- Ó¦Öú: 138 (¸ßÖÐÉú)
- ¹ó±ö: 0.041
- ½ð±Ò: 9247.1
- É¢½ð: 73
- ºì»¨: 28
- ɳ·¢: 1
- Ìû×Ó: 1268
- ÔÚÏß: 1164.4Сʱ
- ³æºÅ: 220750
- ×¢²á: 2006-03-20
- רҵ: Äý¾Û̬ÎïÐÔ II £ºµç×ӽṹ
- ¹ÜϽ: ÎïÀí
8Â¥2012-03-05 16:08:07
guyuefeifei
ľ³æ (СÓÐÃûÆø)
- Ó¦Öú: 3 (Ó×¶ùÔ°)
- ½ð±Ò: 3171.7
- Ìû×Ó: 122
- ÔÚÏß: 29.8Сʱ
- ³æºÅ: 1144714
- ×¢²á: 2010-11-12
- רҵ: µç´Å³¡Ó벨
¡ï
Сľ³æ(½ð±Ò+0.5):¸ø¸öºì°ü£¬Ð»Ð»»ØÌû
Сľ³æ(½ð±Ò+0.5):¸ø¸öºì°ü£¬Ð»Ð»»ØÌû
|
¾ßÌå´íû´íÎÒû×Ðϸ¿´¡£ Äã¿ÉÒԲο¼ÏÂÑîÈå¹óµÄ¡¶µç´Å³¡Óëµç´Å²¨¡·ÖеÄʸÁ¿·ÖÎö Óиö¸ÅÄîÊDZØÐëÃ÷È·µÄ£ºÊ¸Á¿ÔËËãµÄÀÆÕÀ˹Ëã·ûÊÇÒ»¸öʸÁ¿µÄÉ¢¶ÈÔÙ×öÌݶÈÔËË㣬ͬʱעÒâÕâÀïµÄÉ¢¶ÈºÍÌݶÈÔËËã±ØÐëÓÃÖù×ø±êϵϵġ£Öù×ø±êºÍÖ±½Ç×ø±êÖ®¼äÓиö¶ÈÁ¿ÏµÊýµÄ¹ØÏµ£¬Ò»°ãµÄÕý½»×ø±êϵ¶¼»á½²µ½µÄ¡£Äã¿ÉÒÔÈ¥·Ï¸ղÅÎÒ˵µÄÄǸöÊé¡£ |
9Â¥2012-03-05 17:28:25
guyuefeifei
ľ³æ (СÓÐÃûÆø)
- Ó¦Öú: 3 (Ó×¶ùÔ°)
- ½ð±Ò: 3171.7
- Ìû×Ó: 122
- ÔÚÏß: 29.8Сʱ
- ³æºÅ: 1144714
- ×¢²á: 2010-11-12
- רҵ: µç´Å³¡Ó벨
10Â¥2012-03-05 17:36:05














»Ø¸´´ËÂ¥
racoon01
