°æ¿éµ¼º½
ÕýÔÚ¼ÓÔØÖÐ...
¿Í»§¶ËAPPÏÂÔØ
ÂÛÎĸ¨µ¼
É격¸¨µ¼
怬
×¢²á
Ìû×Ó
Ìû×Ó
Óû§
±¾°æ
Ó¦¡¶ÍøÂ簲ȫ·¨¡·ÒªÇó£¬×Ô2017Äê10ÔÂ1ÈÕÆð£¬Î´½øÐÐʵÃûÈÏÖ¤½«²»µÃʹÓû¥ÁªÍø¸úÌû·þÎñ¡£Îª±£ÕÏÄúµÄÕʺÅÄܹ»Õý³£Ê¹Óã¬Ç뾡¿ì¶ÔÕʺŽøÐÐÊÖ»úºÅÑéÖ¤£¬¸ÐлÄúµÄÀí½âÓëÖ§³Ö£¡
24СʱÈÈÃŰæ¿éÅÅÐаñ
>
ÂÛ̳¸üÐÂÈÕÖ¾
(4079)
>
ÎÄÏ×ÇóÖú
(487)
>
µ¼Ê¦ÕÐÉú
(307)
>
³æÓÑ»¥Ê¶
(291)
>
ÐÝÏйàË®
(254)
>
¿¼²©
(129)
>
ÂÛÎÄͶ¸å
(112)
>
²©ºóÖ®¼Ò
(86)
>
˶²©¼ÒÔ°
(66)
>
ÕÐÆ¸ÐÅÏ¢²¼¸æÀ¸
(62)
>
¿¼ÑÐ
(60)
>
ÂÌÉ«ÇóÖú(¸ßÐüÉÍ)
(54)
>
Óлú½»Á÷
(53)
>
»ù½ðÉêÇë
(50)
>
ÕÒ¹¤×÷
(29)
>
SciFinder/Reaxys
(24)
Сľ³æÂÛ̳-ѧÊõ¿ÆÑл¥¶¯Æ½Ì¨
»
רҵѧ¿ÆÇø
»
ÎïÀí
»
´ÅʸλAµÄÖù×ø±êϵÄÀÆÕÀ˹Ëã·ûµÄÍÆµ¼
27
2/3
·µ»ØÁбí
ÉÏÒ»Ò³
1
2
3
ÏÂÒ»Ò³
²é¿´: 3120 | »Ø¸´: 26
Ö»¿´Â¥Ö÷
@ËûÈË
´æµµ
лظ´ÌáÐÑ
(ºöÂÔ)
ÊÕ²Ø
ÔÚAPPÖв鿴
±¾Ìû²úÉú 1 ¸ö ÎïÀíEPI £¬µã»÷ÕâÀï½øÐв鿴
Ëï?ª730
ÖÁ×ðľ³æ
(ÖªÃû×÷¼Ò)
ÎïÀíEPI: 7
Ó¦Öú: 537
(²©Ê¿)
¹ó±ö: 0.961
½ð±Ò: 22930.7
É¢½ð: 6464
ºì»¨: 177
ɳ·¢: 16
Ìû×Ó: 8217
ÔÚÏß: 2897.2Сʱ
³æºÅ: 490447
×¢²á: 2008-01-03
¡ï
Сľ³æ(½ð±Ò
+0.5
):¸ø¸öºì°ü£¬Ð»Ð»»ØÌû
ÒýÓûØÌû:
8Â¥
:
Originally posted by
ϦÑôÎ÷ÏÂ
at 2012-03-05 16:08:07:
ÄãÌṩµÄ½Ì²ÄûÓп´µ½¡£
ʵÔÚ²»ºÃÒâ˼ ÏÂÎçÎÒȥͼÊé¹Ý·ÁËÒ»ÏÂÄÇЩÊé ȷʵûÓп´µ½Ì«ÏêϸµÄ
²»¹ý Èç¹û°´ÎÒÂ¥ÉÏ˵µÄÈ¥Àí½â Ó¦¸ÃÄÜÍÆ³öÀ´
x=¦Ñ cos¦Õ y=¦Ñ sin¦Õ
¶Ô¦ÑºÍ¦ÕÇ󯫵¼ Òª¼ÇµÃȫ΢·Ö Ŷ
ÔÞ
Ò»ÏÂ
»Ø¸´´ËÂ¥
sunyu730_emuch@126.com
11Â¥
2012-03-05 17:41:20
ÒÑÔÄ
»Ø¸´´ËÂ¥
¹Ø×¢TA
¸øTA·¢ÏûÏ¢
ËÍTAºì»¨
TAµÄ»ØÌû
cosmology
½ð³æ
(ÕýʽдÊÖ)
ÎïÀíEPI: 10
Ó¦Öú: 15
(СѧÉú)
½ð±Ò: 1411.3
ºì»¨: 1
Ìû×Ó: 418
ÔÚÏß: 48.6Сʱ
³æºÅ: 230145
×¢²á: 2006-03-26
ÐÔ±ð: GG
רҵ: »ù´¡ÎïÀíѧ
¡ï
Сľ³æ(½ð±Ò
+0.5
):¸ø¸öºì°ü£¬Ð»Ð»»ØÌû
ϦÑôÎ÷ÏÂ(ÎïÀíEPI+1): ÓÐЩµØ·½ÍƵû¹ÊÇÓÐЩģºý¡£¹ÄÀøÒ»Ï°ɡ£ 2012-03-05 19:19:23
¼ûÏÂͼ°É
ÔÞ
Ò»ÏÂ
»Ø¸´´ËÂ¥
12Â¥
2012-03-05 19:01:00
ÒÑÔÄ
»Ø¸´´ËÂ¥
¹Ø×¢TA
¸øTA·¢ÏûÏ¢
ËÍTAºì»¨
TAµÄ»ØÌû
Ëï?ª730
ÖÁ×ðľ³æ
(ÖªÃû×÷¼Ò)
ÎïÀíEPI: 7
Ó¦Öú: 537
(²©Ê¿)
¹ó±ö: 0.961
½ð±Ò: 22930.7
É¢½ð: 6464
ºì»¨: 177
ɳ·¢: 16
Ìû×Ó: 8217
ÔÚÏß: 2897.2Сʱ
³æºÅ: 490447
×¢²á: 2008-01-03
¡ï
Сľ³æ(½ð±Ò
+0.5
):¸ø¸öºì°ü£¬Ð»Ð»»ØÌû
???????:
12?
:
Originally posted by
cosmology
at 2012-03-05 19:01:00:
???????
0d/94/230145_1330945258_950.gif
???????? ????????
?????????????????????????
??? ??????????? §Õ??
[
Last edited by ????730 on 2012-3-5 at 19:22
]
ÔÞ
Ò»ÏÂ
»Ø¸´´ËÂ¥
sunyu730_emuch@126.com
13Â¥
2012-03-05 19:16:25
ÒÑÔÄ
»Ø¸´´ËÂ¥
¹Ø×¢TA
¸øTA·¢ÏûÏ¢
ËÍTAºì»¨
TAµÄ»ØÌû
ϦÑôÎ÷ÏÂ
½ð³æ
(ÖøÃûдÊÖ)
ÎïÀíEPI: 2
Ó¦Öú: 138
(¸ßÖÐÉú)
¹ó±ö: 0.041
½ð±Ò: 9247.1
É¢½ð: 73
ºì»¨: 28
ɳ·¢: 1
Ìû×Ó: 1268
ÔÚÏß: 1164.4Сʱ
³æºÅ: 220750
×¢²á: 2006-03-20
רҵ: Äý¾Û̬ÎïÐÔ II £ºµç×ӽṹ
¹ÜϽ:
ÎïÀí
ÒýÓûØÌû:
10Â¥
:
Originally posted by
guyuefeifei
at 2012-03-05 17:36:05:
¶Ô²»Æð£¬½²´íÁË£¡
¶ÔÓÚʸÁ¿£¬ÀÆÕÀ˹Ëã·ûÊÇDELËã·û×öµã³ËÔËËãÔÙºÍʸÁ¿½øÐÐÔËËã
¶Ô£¬Õâ¸öÍÆµ¼Ë¼Â·ÊÇÕýÈ·µÄ¡£
ÔÞ
Ò»ÏÂ
»Ø¸´´ËÂ¥
14Â¥
2012-03-05 20:04:07
ÒÑÔÄ
»Ø¸´´ËÂ¥
¹Ø×¢TA
¸øTA·¢ÏûÏ¢
ËÍTAºì»¨
TAµÄ»ØÌû
ϦÑôÎ÷ÏÂ
½ð³æ
(ÖøÃûдÊÖ)
ÎïÀíEPI: 2
Ó¦Öú: 138
(¸ßÖÐÉú)
¹ó±ö: 0.041
½ð±Ò: 9247.1
É¢½ð: 73
ºì»¨: 28
ɳ·¢: 1
Ìû×Ó: 1268
ÔÚÏß: 1164.4Сʱ
³æºÅ: 220750
×¢²á: 2006-03-20
רҵ: Äý¾Û̬ÎïÐÔ II £ºµç×ӽṹ
¹ÜϽ:
ÎïÀí
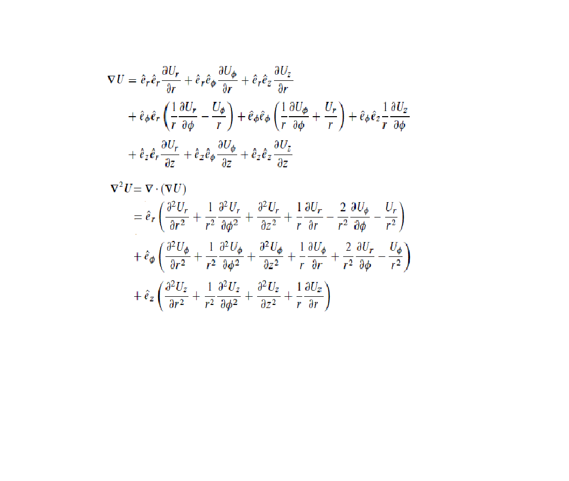
DELTËã·û×öµã³ËÔËËãÔÙºÍʸÁ¿A=A_pe_p+A_faie_fai+A_ze_z½øÐÐÔËËã,ʵ¼ÊÉϰѵڶþ¸öʽ×Ó£¬´úÈëµÚÒ»¸öʽ×Ó¼´¿É¡£
ÔÞ
Ò»ÏÂ
»Ø¸´´ËÂ¥
15Â¥
2012-03-05 20:23:48
ÒÑÔÄ
»Ø¸´´ËÂ¥
¹Ø×¢TA
¸øTA·¢ÏûÏ¢
ËÍTAºì»¨
TAµÄ»ØÌû
cosmology
½ð³æ
(ÕýʽдÊÖ)
ÎïÀíEPI: 10
Ó¦Öú: 15
(СѧÉú)
½ð±Ò: 1411.3
ºì»¨: 1
Ìû×Ó: 418
ÔÚÏß: 48.6Сʱ
³æºÅ: 230145
×¢²á: 2006-03-26
ÐÔ±ð: GG
רҵ: »ù´¡ÎïÀíѧ
¡ï
Сľ³æ(½ð±Ò
+0.5
):¸ø¸öºì°ü£¬Ð»Ð»»ØÌû
¸üÖ±½ØÁ˵±µÄÖ¤·¨¼ûÏÂͼ
ÔÞ
Ò»ÏÂ
(1ÈË)
»Ø¸´´ËÂ¥
16Â¥
2012-03-05 21:10:55
ÒÑÔÄ
»Ø¸´´ËÂ¥
¹Ø×¢TA
¸øTA·¢ÏûÏ¢
ËÍTAºì»¨
TAµÄ»ØÌû
¹·Æ¨¹·
ͳæ
(ÕýʽдÊÖ)
Ó¦Öú: 12
(СѧÉú)
½ð±Ò: 196.8
É¢½ð: 220
Ìû×Ó: 346
ÔÚÏß: 43.5Сʱ
³æºÅ: 1334651
×¢²á: 2011-06-30
¡ï
Сľ³æ(½ð±Ò
+0.5
):¸ø¸öºì°ü£¬Ð»Ð»»ØÌû
ÒýÓûØÌû:
16Â¥
:
Originally posted by
cosmology
at 2012-03-05 21:10:55:
¸üÖ±½ØÁ˵±µÄÖ¤·¨¼ûÏÂͼ
7c/8b/230145_1330953052_534.gif
Õâôִ×Ű¡,ÔÙ½±ÀøÒ»¸ö°É
ÔÞ
Ò»ÏÂ
»Ø¸´´ËÂ¥
17Â¥
2012-03-05 22:05:29
ÒÑÔÄ
»Ø¸´´ËÂ¥
¹Ø×¢TA
¸øTA·¢ÏûÏ¢
ËÍTAºì»¨
TAµÄ»ØÌû
cosmology
½ð³æ
(ÕýʽдÊÖ)
ÎïÀíEPI: 10
Ó¦Öú: 15
(СѧÉú)
½ð±Ò: 1411.3
ºì»¨: 1
Ìû×Ó: 418
ÔÚÏß: 48.6Сʱ
³æºÅ: 230145
×¢²á: 2006-03-26
ÐÔ±ð: GG
רҵ: »ù´¡ÎïÀíѧ
¡ï
Сľ³æ(½ð±Ò
+0.5
):¸ø¸öºì°ü£¬Ð»Ð»»ØÌû
ÒýÓûØÌû:
17Â¥
:
Originally posted by
¹·Æ¨¹·
at 2012-03-05 22:05:29:
Õâôִ×Ű¡,ÔÙ½±ÀøÒ»¸ö°É
ºÃ°¡£¡
Äã½Ð°æÖ÷ÔÙ½±ÀømeÒ»¸ö°É
ÔÞ
Ò»ÏÂ
»Ø¸´´ËÂ¥
18Â¥
2012-03-05 22:33:39
ÒÑÔÄ
»Ø¸´´ËÂ¥
¹Ø×¢TA
¸øTA·¢ÏûÏ¢
ËÍTAºì»¨
TAµÄ»ØÌû
cosmology
½ð³æ
(ÕýʽдÊÖ)
ÎïÀíEPI: 10
Ó¦Öú: 15
(СѧÉú)
½ð±Ò: 1411.3
ºì»¨: 1
Ìû×Ó: 418
ÔÚÏß: 48.6Сʱ
³æºÅ: 230145
×¢²á: 2006-03-26
ÐÔ±ð: GG
רҵ: »ù´¡ÎïÀíѧ
¡ï
Сľ³æ(½ð±Ò
+0.5
):¸ø¸öºì°ü£¬Ð»Ð»»ØÌû
ÁíÒ»¸öÖ¤Ã÷£¨À´×ÔÓڽ̲ģ©£¬¼ûÏÂͼ
ÔÞ
Ò»ÏÂ
»Ø¸´´ËÂ¥
19Â¥
2012-03-06 11:05:45
ÒÑÔÄ
»Ø¸´´ËÂ¥
¹Ø×¢TA
¸øTA·¢ÏûÏ¢
ËÍTAºì»¨
TAµÄ»ØÌû
Fredette
гæ
(³õÈëÎÄ̳)
Ó¦Öú: 1
(Ó×¶ùÔ°)
½ð±Ò: 53
Ìû×Ó: 13
ÔÚÏß: 19.8Сʱ
³æºÅ: 1576687
×¢²á: 2012-01-13
רҵ: Äý¾Û̬ÎïÐÔI:½á¹¹¡¢Á¦Ñ§ºÍ
¡ï
Сľ³æ(½ð±Ò
+0.5
):¸ø¸öºì°ü£¬Ð»Ð»»ØÌû
¿ÉÒԲο¼Îâ³çÊԵġ¶ÊýѧÎïÀí·½·¨¡·
ÔÞ
Ò»ÏÂ
»Ø¸´´ËÂ¥
20Â¥
2012-03-06 12:53:44
ÒÑÔÄ
»Ø¸´´ËÂ¥
¹Ø×¢TA
¸øTA·¢ÏûÏ¢
ËÍTAºì»¨
TAµÄ»ØÌû
Ïà¹Ø°æ¿éÌø×ª
ÊýÀí¿ÆÑ§×ÛºÏ
»úе
ÎïÀí
Êýѧ
Å©ÁÖ
ʳƷ
µØÑ§
ÄÜÔ´
ÐÅÏ¢¿ÆÑ§
ÍÁľ½¨Öþ
º½¿Õº½Ìì
ת»ùÒò
ÎÒÒª¶©ÔÄÂ¥Ö÷
ϦÑôÎ÷ÏÂ
µÄÖ÷Ìâ¸üÐÂ
27
2/3
·µ»ØÁбí
ÉÏÒ»Ò³
1
2
3
ÏÂÒ»Ò³
Èç¹û»ØÌûÄÚÈݺ¬ÓÐÐû´«ÐÅÏ¢£¬ÇëÈçʵѡÖС£·ñÔòÕʺŽ«±»È«ÂÛ̳½ûÑÔ
ÆÕͨ±íÇé
Áú
ÍÃ
Ȣ
è
¸ß¼¶»Ø¸´
(¿ÉÉÏ´«¸½¼þ)
°Ù¶ÈÍøÅÌ
|
360ÔÆÅÌ
|
ǧÒ×ÍøÅÌ
|
»ªÎªÍøÅÌ
ÔÚд°¿ÚÒ³ÃæÖдò¿ª×Ô¼ºÏ²»¶µÄÍøÅÌÍøÕ¾£¬½«ÎļþÉÏ´«ºó£¬È»ºó½«ÏÂÔØÁ´½Ó¸´ÖƵ½Ìû×ÓÄÚÈÝÖоͿÉÒÔÁË¡£
ÐÅÏ¢Ìáʾ
¹Ø±Õ
ÇëÌî´¦ÀíÒâ¼û
¹Ø±Õ
È·¶¨