| 查看: 974 | 回复: 4 | |||
daixin1983木虫 (小有名气)
|
[求助]
关于复系数线性常微分方程的通解问题 已有1人参与
|
|
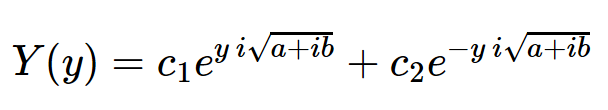
一般的常微分方程书上都只谈到了系数为实数的方程解法,利用特征方程求特征根。 但是我最近在解析推导中遇到了方程系数为复数的线性常微分方程求解问题,其求解方式是否与实系数的一样呢,比如下面这个方程 其中a+bi为复数,a为实部和b为虚部,且已知 |
» 猜你喜欢
退学或坚持读
已经有28人回复
有时候真觉得大城市人没有县城人甚至个体户幸福
已经有7人回复
天津大学招2026.09的博士生,欢迎大家推荐交流(博导是本人)
已经有3人回复
面上项目申报
已经有3人回复
酰胺脱乙酰基
已经有9人回复
CSC & MSCA 博洛尼亚大学能源材料课题组博士/博士后招生|MSCA经费充足、排名优
已经有5人回复
博士延得我,科研能力直往上蹿
已经有7人回复
面上基金申报没有其他的参与者成吗
已经有5人回复
遇见不省心的家人很难过
已经有22人回复
» 本主题相关价值贴推荐,对您同样有帮助:
师兄师姐们,帮小弟看看这个 Laplace变换后的二阶常微分方程怎么解啊
已经有23人回复
求解二阶非线性常微分方程!!!解决之后另有重谢!!!
已经有5人回复
非线性二阶微分方程组求解,matlab
已经有12人回复
常微分方程解法汇总
已经有41人回复
怎样的常微分方程的解是正弦或者是余弦, 急, 谢谢!
已经有7人回复
哪位高手可以帮我解答,常微分方程,解的延拓课后习题求解
已经有11人回复
求解二阶变系数常微分方程
已经有7人回复
求助非线性常微分方程和常系数双曲偏微分方程求解
已经有7人回复
常微分方程解析解
已经有5人回复
常微分方程求解公式
已经有7人回复
一个二阶常微分方程的求解方法?
已经有5人回复
二阶常微分方程求解
已经有5人回复
复系数微分方程求解
已经有3人回复
常微分方程 求特解问题。
已经有6人回复
高手进来用matlab求解常微分方程,十分感谢!
已经有17人回复
【求助】请教非齐次常微分方程组的解析解法
已经有4人回复
【求助】常微分方程组求解中系数与某变量值关联的问题
已经有12人回复
【求助】先解常微分方程 然后画图【已完结】
已经有11人回复
【求助】常微分方程组的解析解
已经有3人回复
【求助】一个常微分方程的通解
已经有6人回复

feixiaolin
荣誉版主 (文坛精英)
-

专家经验: +518 - 应助: 942 (博后)
- 贵宾: 1.275
- 金币: 3430
- 散金: 58785
- 红花: 532
- 沙发: 11
- 帖子: 24215
- 在线: 2601.8小时
- 虫号: 2139575
- 注册: 2012-11-21
- 专业: 光学信息获取与处理
- 管辖: 数学
2楼2014-08-12 12:58:55
cooooldog
铁杆木虫 (著名写手)
ส็็็
- 数学EPI: 2
- 应助: 237 (大学生)
- 金币: 6101.9
- 散金: 1114
- 红花: 39
- 帖子: 1380
- 在线: 553.8小时
- 虫号: 506699
- 注册: 2008-02-18
- 专业: 模式识别

3楼2014-08-12 14:04:29
daixin1983
木虫 (小有名气)
- 应助: 9 (幼儿园)
- 金币: 2786.1
- 散金: 20
- 红花: 2
- 帖子: 220
- 在线: 93.1小时
- 虫号: 1464212
- 注册: 2011-10-27
- 专业: 传动机械学

4楼2014-08-12 16:13:14
daixin1983
木虫 (小有名气)
- 应助: 9 (幼儿园)
- 金币: 2786.1
- 散金: 20
- 红花: 2
- 帖子: 220
- 在线: 93.1小时
- 虫号: 1464212
- 注册: 2011-10-27
- 专业: 传动机械学

5楼2014-08-12 17:24:44













回复此楼