| ²é¿´: 2019 | »Ø¸´: 13 | |||
kanglegongÒø³æ (ÕýʽдÊÖ)
|
[ÇóÖú]
±äÏÞ»ý·Öº¯ÊýÇóµ¼µÄÎÊÌâ ÒÑÓÐ2È˲ÎÓë
|
||
|
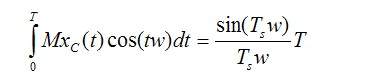
ÕâÖÖº¯ÊýÔõôÇóµ¼Ñ½£¬ÆäÖÐTÊÇwµÄº¯Êý£¬Òþº¯ÊýÇóµ¼£¬×ó±ßÊǰüº¬ÓÐT£¬wµÄ±äÏÞ»ý·Öº¯Êý£¬Õâ¸öÎÊÌâËÆºõºÜÂ鷳ѽ£¬Çó¸÷λ´óÉñ°ïÖú£¡ |
» ²ÂÄãϲ»¶
298Çóµ÷¼Á
ÒѾÓÐ4È˻ظ´
ÉúÎïѧ308·ÖÇóµ÷¼Á£¨Ò»Ö¾Ô¸»ª¶«Ê¦´ó£©×ö¹ý·Ö×ÓʵÑé
ÒѾÓÐ7È˻ظ´
288Çóµ÷¼Á£¬Ò»Ö¾Ô¸»ªÄÏÀí¹¤´óѧ071005
ÒѾÓÐ11È˻ظ´
Ò»Ö¾Ô¸Éî´ó085601²ÄÁϹ¤³Ìרҵ£¨×¨Ë¶£©300·Ö¿ÉÒÔµ÷¼ÁÈ¥ÄÄ
ÒѾÓÐ13È˻ظ´
Ò»Ö¾Ô¸Ö£ÖÝ´óѧ085600Çóµ÷¼Á
ÒѾÓÐ24È˻ظ´
327Çóµ÷¼Á
ÒѾÓÐ12È˻ظ´
327Çóµ÷¼Á
ÒѾÓÐ10È˻ظ´
²ÄÁÏ¿¼ÑÐÇóµ÷¼Á×Ü·Ö280
ÒѾÓÐ28È˻ظ´
308Çóµ÷¼Á
ÒѾÓÐ14È˻ظ´
²ÄÁÏר˶µ÷¼Á
ÒѾÓÐ13È˻ظ´
» ±¾Ö÷ÌâÏà¹Ø¼ÛÖµÌùÍÆ¼ö£¬¶ÔÄúͬÑùÓаïÖú:
ÀûÓöÔÊýÇóµ¼Ê±µÄÒ»¸öÎÊÌâ
ÒѾÓÐ27È˻ظ´
ÇóÖúÏòÁ¿º¯ÊýµÄµ¼ÊýµÄÉϽ磨·¶ÊýÎÊÌ⣩
ÒѾÓÐ4È˻ظ´
º¯Êýf(x)ÔÚRÉϾßÓÐÁ¬Ðøµ¼Êý£¬|f(x)-f'(x)|¨Q1ÇóÖ¤|f(x)|¨Q1
ÒѾÓÐ19È˻ظ´
¶àÔªº¯ÊýÖУ¬ÓÐûÓпɵ¼Õâһ˵·¨?¿Éµ¼ÊDz»ÊÇÖ¸µÄÆ«µ¼Êý´æÔÚ£¿
ÒѾÓÐ17È˻ظ´
µÚÒ»½²£ºº¯Êý£¬¼«ÏÞ£¬µ¼ÊýºÍÒ»ÖØ»ý·Ö1 - ³¬Ç¿×ܽᣨ¸ß·Öѧ³¤µÄ¾Ñ飩-³ÖÐø¸üÐÂÖÐ
ÒѾÓÐ41È˻ظ´
Çó½ÌÒÑÖª½ÚµãµÄº¯ÊýÖµÓëµ¼ÊýÖµµÄ»ý·Ö·½°¸
ÒѾÓÐ5È˻ظ´
½â¾ö·ÇÏßÐԹ滮ÎÊÌ⣨Ŀ±êº¯ÊýºÍÏÞÖÆÌõ¼þ¶¼ÊÇ·ÇÏßÐԵģ©ÓÐʲôÈí¼þÇó½â£¿
ÒѾÓÐ6È˻ظ´
ʾÐÔº¯Êý¿ÉÒÔÇóµ¼Âð£¿
ÒѾÓÐ7È˻ظ´
º¯ÊýÔÚx=0ÁÚÓòÄÚ¶þ½×¿Éµ¼£¬º¯ÊýÔÚx=0´¦Ò»½×µ¼ÊýµÈÓÚ0£¬
ÒѾÓÐ28È˻ظ´
ÇóÖú£º¹ØÓÚ·´º¯ÊýÇóµ¼µÄÎÊÌ⣡
ÒѾÓÐ8È˻ظ´
º¯ÊýÁм«ÏÞÎÊÌâ
ÒѾÓÐ9È˻ظ´
Ò»¸ö¹ØÓÚ±äÏÞ»ý·ÖÇóµ¼µÄÎÊÌâ
ÒѾÓÐ5È˻ظ´
¡¾ÇóÖú¡¿ÎªÊ²Ã´¶ÔÓÚ¶þÔªº¯ÊýÀ´Ëµ£¬ÔÚÒ»µã´¦²»Á¬Ðø£¬Æ«µ¼Êý¿ÉÒÔ´æÔÚ£¿£¿£¿
ÒѾÓÐ9È˻ظ´
·Ö¶Îº¯Êýµ¼ÊýµÄÎÊÌâÒÉÎÊ£¿£¿£¿
ÒѾÓÐ4È˻ظ´
Ϊʲô¶þÔªº¯ÊýijµãÆ«µ¼ÊýÁ¬Ðø£¬ÔòÒ»¶¨¿É΢£¿Æ«µ¼ÊýÃ÷Ã÷Ö»´ú±íºá×ÝÁ½¸ö·½ÏòµÄÇé¿ö°¡
ÒѾÓÐ9È˻ظ´
Õâ¸ö±äÏÞ»ý·ÖÔõôÇóµ¼°¡
ÒѾÓÐ10È˻ظ´
µ¼º¯Êý¼«ÏÞÓëµ¼ÊýµÄ¹ØÏµ ÒÉÎÊ
ÒѾÓÐ12È˻ظ´
µ¼ÊýÖµÓ뺯ÊýÖµÖ®±È
ÒѾÓÐ7È˻ظ´
º¯ÊýÇ󵼺󣬲»»á½â£¬ÇóÖú´óÏÀ£¡
ÒѾÓÐ5È˻ظ´
matlab·ûºÅº¯ÊýÇóµ¼¼°ÌݶȵÄÎÊÌâ
ÒѾÓÐ5È˻ظ´
Çë½ÌÐκ¯ÊýµÄµ¼ÊýÔÚÈÎÒâËıßÐεĻý·Ö£¬Ð»Ð»
ÒѾÓÐ6È˻ظ´
¡¾ÇóÖú¡¿Ö»ÖªµÀÓÐÏÞ¸öº¯ÊýÖµÇó»ý·Ö
ÒѾÓÐ10È˻ظ´
Edstrayer
°æÖ÷ (ÖøÃûдÊÖ)
·½´ç¶·ÊÒСÌìµØÕýÆøÃÔÂþ´óÊÀ½ç
- ÊýѧEPI: 7
- Ó¦Öú: 157 (¸ßÖÐÉú)
- ¹ó±ö: 0.927
- ½ð±Ò: 9349.6
- É¢½ð: 4503
- ºì»¨: 77
- ɳ·¢: 2
- Ìû×Ó: 2745
- ÔÚÏß: 1465.6Сʱ
- ³æºÅ: 3086598
- ×¢²á: 2014-03-25
- ¹ÜϽ: Êýѧ

13Â¥2014-07-30 11:20:39
shuxue0
ľ³æ (ÕýʽдÊÖ)
- Ó¦Öú: 39 (СѧÉú)
- ½ð±Ò: 9819.1
- É¢½ð: 100
- ºì»¨: 10
- Ìû×Ó: 996
- ÔÚÏß: 353.1Сʱ
- ³æºÅ: 2078196
- ×¢²á: 2012-10-22
- רҵ: ÊýÀíÂß¼ºÍÓë¼ÆËã»úÏà¹ØµÄ
2Â¥2014-07-29 10:08:26
kanglegong
Òø³æ (ÕýʽдÊÖ)
- Ó¦Öú: 5 (Ó×¶ùÔ°)
- ½ð±Ò: 659
- ºì»¨: 13
- Ìû×Ó: 357
- ÔÚÏß: 451.3Сʱ
- ³æºÅ: 1977606
- ×¢²á: 2012-09-05
- רҵ: »úе²âÊÔÀíÂÛÓë¼¼Êõ
3Â¥2014-07-29 10:48:35
shuxue0
ľ³æ (ÕýʽдÊÖ)
- Ó¦Öú: 39 (СѧÉú)
- ½ð±Ò: 9819.1
- É¢½ð: 100
- ºì»¨: 10
- Ìû×Ó: 996
- ÔÚÏß: 353.1Сʱ
- ³æºÅ: 2078196
- ×¢²á: 2012-10-22
- רҵ: ÊýÀíÂß¼ºÍÓë¼ÆËã»úÏà¹ØµÄ
¡¾´ð°¸¡¿Ó¦Öú»ØÌû
|
¶ÔTÈÝÒ×Ò»µã£¬¾ÍÊÇÖ±½Ó´ú½øÈ¥£¬ÕâÀïÖ»ÄÜ˵TºÍwÊǶÀÁ¢µÄÁË£¬ÒòΪÈç¹ûTÊÇwµÄº¯Êý£¬¶ÔTÇóµ¼ÕâÖÖÌá·¨±¾Éí¾ÍÓÐÎÊÌâÁË¡£ Î񼆮æ¹ÖΪʲôÓÒ±ßx_CÏûʧÁË¡£ Èç¹û²»ÊÇÒ»¸öµ¥¶ÀµÄϰÌ⣬Äã×îºÃ¸øÒ»¸öÉÏÏÂÎÄ¡£ ±ÈÈçΪʲôÓиöM£¿Mx_C(t)ÊDz»ÊÇÒ»¸öÕûÌå¡£¡£¡£ »¹ÓÐT_sºÍTÓÖÊÇʲô£¿ ÒòΪÎÒ¾õµÃ×ó±ßÇ󵼵Ľá¹û²»¿ÉÄܲ»º¬ÓÐx_C |
4Â¥2014-07-29 14:39:19
kanglegong
Òø³æ (ÕýʽдÊÖ)
- Ó¦Öú: 5 (Ó×¶ùÔ°)
- ½ð±Ò: 659
- ºì»¨: 13
- Ìû×Ó: 357
- ÔÚÏß: 451.3Сʱ
- ³æºÅ: 1977606
- ×¢²á: 2012-09-05
- רҵ: »úе²âÊÔÀíÂÛÓë¼¼Êõ
5Â¥2014-07-29 15:09:28
feixiaolin
ÈÙÓþ°æÖ÷ (ÎÄ̳¾«Ó¢)
-

ר¼Ò¾Ñé: +518 - Ó¦Öú: 942 (²©ºó)
- ¹ó±ö: 1.275
- ½ð±Ò: 3880
- É¢½ð: 58785
- ºì»¨: 532
- ɳ·¢: 11
- Ìû×Ó: 24215
- ÔÚÏß: 2601.8Сʱ
- ³æºÅ: 2139575
- ×¢²á: 2012-11-21
- רҵ: ¹âѧÐÅÏ¢»ñÈ¡Óë´¦Àí
- ¹ÜϽ: Êýѧ
6Â¥2014-07-29 15:58:47
shuxue0
ľ³æ (ÕýʽдÊÖ)
- Ó¦Öú: 39 (СѧÉú)
- ½ð±Ò: 9819.1
- É¢½ð: 100
- ºì»¨: 10
- Ìû×Ó: 996
- ÔÚÏß: 353.1Сʱ
- ³æºÅ: 2078196
- ×¢²á: 2012-10-22
- רҵ: ÊýÀíÂß¼ºÍÓë¼ÆËã»úÏà¹ØµÄ
7Â¥2014-07-29 20:25:01
kanglegong
Òø³æ (ÕýʽдÊÖ)
- Ó¦Öú: 5 (Ó×¶ùÔ°)
- ½ð±Ò: 659
- ºì»¨: 13
- Ìû×Ó: 357
- ÔÚÏß: 451.3Сʱ
- ³æºÅ: 1977606
- ×¢²á: 2012-09-05
- רҵ: »úе²âÊÔÀíÂÛÓë¼¼Êõ
8Â¥2014-07-30 08:44:31
kanglegong
Òø³æ (ÕýʽдÊÖ)
- Ó¦Öú: 5 (Ó×¶ùÔ°)
- ½ð±Ò: 659
- ºì»¨: 13
- Ìû×Ó: 357
- ÔÚÏß: 451.3Сʱ
- ³æºÅ: 1977606
- ×¢²á: 2012-09-05
- רҵ: »úе²âÊÔÀíÂÛÓë¼¼Êõ
9Â¥2014-07-30 08:45:52
shuxue0
ľ³æ (ÕýʽдÊÖ)
- Ó¦Öú: 39 (СѧÉú)
- ½ð±Ò: 9819.1
- É¢½ð: 100
- ºì»¨: 10
- Ìû×Ó: 996
- ÔÚÏß: 353.1Сʱ
- ³æºÅ: 2078196
- ×¢²á: 2012-10-22
- רҵ: ÊýÀíÂß¼ºÍÓë¼ÆËã»úÏà¹ØµÄ
10Â¥2014-07-30 09:13:16














»Ø¸´´ËÂ¥