| ²é¿´: 1463 | »Ø¸´: 5 | ||
wdzs5279ͳæ (СÓÐÃûÆø)
|
[ÇóÖú]
º¯ÊýÇ󵼺󣬲»»á½â£¬ÇóÖú´óÏÀ£¡
|
|
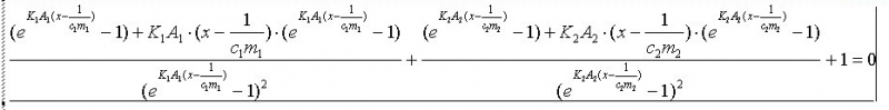
ÏëÇóÒ»¸öº¯Êý¼«Öµ£¬Ç󵼺󣬲»ÖªµÀÈç¹û½â³öXµÄÖµ£¬Ç󵼺óµÄº¯Êý·½³Ì¼û¸½Í¼£¬ÆäÖУ¬m3δ֪£¬ÆäËû¾ùΪÒÑÖªº¯Êý£¬ÏëÓÃÒÑÖªÊýÀ´±íʾm3£¬Çó´óÏÀ°ïæ°¡£¬Ð¡µÜ·ÖÉÙ£¬Ö»ÄÜÄÃ5·ÖÀ´½ø¹±´óÏÀÁË¡£¡£¡£ º¯Êý¹©Êö |
» ²ÂÄãϲ»¶
285»¯¹¤Ñ§Ë¶Çóµ÷¼Á£¨081700£©
ÒѾÓÐ10È˻ظ´
Çó²ÄÁϵ÷¼Á
ÒѾÓÐ10È˻ظ´
±¾¿ÆÖ£ÖÝ´óѧÎïÀíѧԺ£¬Ò»Ö¾Ô¸»ª¿Æ070200ѧ˶£¬346Çóµ÷¼Á
ÒѾÓÐ4È˻ظ´
¹ú×Ô¿ÆÃæÉÏ»ù½ð×ÖÌå
ÒѾÓÐ8È˻ظ´
ÄÜÔ´²ÄÁÏ»¯Ñ§¿ÎÌâ×éÕÐÊÕ˶ʿÑо¿Éú8-10Ãû
ÒѾÓÐ11È˻ظ´
²ÄÁÏר˶ӢһÊý¶þ306
ÒѾÓÐ5È˻ظ´
085600²ÄÁÏÓ뻯¹¤µ÷¼Á 324·Ö
ÒѾÓÐ9È˻ظ´
0703»¯Ñ§µ÷¼Á
ÒѾÓÐ12È˻ظ´
0703»¯Ñ§ 305Çóµ÷¼Á
ÒѾÓÐ4È˻ظ´
0703»¯Ñ§µ÷¼Á£¬Çó¸÷λÀÏʦÊÕÁô
ÒѾÓÐ10È˻ظ´
» ±¾Ö÷ÌâÏà¹Ø¼ÛÖµÌùÍÆ¼ö£¬¶ÔÄúͬÑùÓаïÖú:
±äÏÞ»ý·Öº¯ÊýÇóµ¼µÄÎÊÌâ
ÒѾÓÐ13È˻ظ´
ÇóÖúÒ»µÀÊýѧÇóµ¼ÎÊÌ⣬лл¡£
ÒѾÓÐ4È˻ظ´
ÇóÖú´óÏÀ£¬Íƶϻ¯ºÏÎï½á¹¹£¬Á½Ìâ
ÒѾÓÐ13È˻ظ´
¹ØÓÚÏòÁ¿º¯ÊýÇóµ¼£¬Çë½Ì¸÷λ´óÏÉ£¬¶àл¶àл£¡
ÒѾÓÐ3È˻ظ´
ʾÐÔº¯Êý¿ÉÒÔÇóµ¼Âð£¿
ÒѾÓÐ7È˻ظ´
ÇóÖú£º¹ØÓÚ·´º¯ÊýÇóµ¼µÄÎÊÌ⣡
ÒѾÓÐ8È˻ظ´
Çë½Ì´óÏÀ£¬¹ØÓÚº¯ÊýÇóµ¼£¬ÏÈл¹ýÁË.
ÒѾÓÐ5È˻ظ´
Ò»¸öº¯ÊýµÄÇóµ¼
ÒѾÓÐ3È˻ظ´
·Ö¶Îº¯Êýµ¼ÊýµÄÎÊÌâÒÉÎÊ£¿£¿£¿
ÒѾÓÐ4È˻ظ´
matlab·ûºÅº¯ÊýÇóµ¼¼°ÌݶȵÄÎÊÌâ
ÒѾÓÐ5È˻ظ´
¡¾ÇóÖú¡¿ÓÃmatlab¶Ô¶àÏîʽº¯ÊýÇóµ¼
ÒѾÓÐ3È˻ظ´
ÓÃmatlab¶Ô¶àÏîʽº¯ÊýÇóµ¼
ÒѾÓÐ1È˻ظ´
¡¾ÇóÖú¡¿ÇóÒ»µÀ·Ö²¼º¯ÊýµÄ½â·¨,лл!
ÒѾÓÐ4È˻ظ´
ÇóÖú»ámatlabµÄ´óÏÀ°ïÎÒ×öÏÂÕâ¸ö¸´ÔÓº¯ÊýÇóµ¼
ÒѾÓÐ4È˻ظ´
¡¾ÇóÖú¡¿Çó´óÏÀ°ïÎÒ½âÒ»·½³Ì
ÒѾÓÐ4È˻ظ´
¡¾ÇóÖú¡¿ÇëÎÊÔõô»¯¼ò£¿Ïë°ÑÕâ¸ö»¯³ÉÒ»¸öÏà¶Ô¼òµ¥µÄº¯ÊýÐÎʽ£¬Çó¸÷λ´óÏÀ°ï棡лл£¡
ÒѾÓÐ6È˻ظ´

×íÏç³£¿Í
ľ³æ (ÖªÃû×÷¼Ò)
»ìÖ®
- Ó¦Öú: 3 (Ó×¶ùÔ°)
- ¹ó±ö: 0.1
- ½ð±Ò: 8147.2
- É¢½ð: 866
- ºì»¨: 12
- ɳ·¢: 6
- Ìû×Ó: 5291
- ÔÚÏß: 1424.7Сʱ
- ³æºÅ: 296889
- ×¢²á: 2006-11-18
- ÐÔ±ð: GG
- רҵ: »ìÁËÔÙ»ì

2Â¥2012-07-13 09:40:30
ºÎ´¦Âä³¾°£
ľ³æ (ÕýʽдÊÖ)
- Ó¦Öú: 45 (СѧÉú)
- ½ð±Ò: 2151.5
- Ìû×Ó: 379
- ÔÚÏß: 131.8Сʱ
- ³æºÅ: 1775405
- ×¢²á: 2012-04-24
- רҵ: ³£Î¢·Ö·½³ÌÓ붯Á¦ÏµÍ³

3Â¥2012-07-14 10:03:59
¹ù¼Ì²¨
ÈÙÓþ°æÖ÷ (ÎÄѧ̩¶·)
Éñýˆ½ÌÃμÒÔ°µÄС°ÙÐÕ-²¨²¨
- Ó¦Öú: 108 (¸ßÖÐÉú)
- ¹ó±ö: 2.352
- ½ð±Ò: 26455.4
- É¢½ð: 9228
- ºì»¨: 83
- ɳ·¢: 224
- Ìû×Ó: 108020
- ÔÚÏß: 2428.1Сʱ
- ³æºÅ: 737739
- ×¢²á: 2009-04-01
- ÐÔ±ð: GG
- רҵ: ¸ß·Ö×Ӻϳɻ¯Ñ§

4Â¥2012-07-14 22:21:07
wdzs5279
ͳæ (СÓÐÃûÆø)
- Ó¦Öú: 0 (Ó×¶ùÔ°)
- ½ð±Ò: 187.1
- ºì»¨: 7
- Ìû×Ó: 74
- ÔÚÏß: 52.4Сʱ
- ³æºÅ: 1782223
- ×¢²á: 2012-04-27
- ÐÔ±ð: GG
- רҵ: ´«ÈÈ´«ÖÊѧ

5Â¥2012-07-15 20:07:58
twoflm
ľ³æ (ÖøÃûдÊÖ)
- Ó¦Öú: 51 (³õÖÐÉú)
- ½ð±Ò: 4145.7
- É¢½ð: 149
- ºì»¨: 41
- Ìû×Ó: 1029
- ÔÚÏß: 328.8Сʱ
- ³æºÅ: 2030747
- ×¢²á: 2012-09-26
- ÐÔ±ð: GG
- רҵ: ¶àÏàÁ÷ÈÈÎïÀíѧ
6Â¥2012-10-08 11:40:55













»Ø¸´´ËÂ¥