| ²é¿´: 745 | »Ø¸´: 3 | |||
Jeydragonľ³æ (ÕýʽдÊÖ)
|
[ÇóÖú]
Ò»¸öº¯ÊýµÄÇóµ¼
|
|
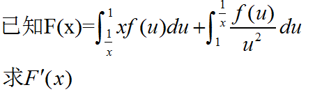
¾ßÌ庯Êý±í´ïʽÈçÏ£º ¹«Ê½ [ À´×Ô¿ÆÑмÒ×å ÷¼÷õ³ ] |
» ÊÕ¼±¾ÌûµÄÌÔÌûר¼ÍƼö
»òÐíÒÔºóÓÐÓÃ |
» ²ÂÄãϲ»¶
Çóµ÷¼Á
ÒѾÓÐ23È˻ظ´
301Çóµ÷¼Á
ÒѾÓÐ15È˻ظ´
304Çóµ÷¼Á£¨085602£¬¹ýËļ¶£¬Ò»Ö¾Ô¸985£©
ÒѾÓÐ17È˻ظ´
302·ÖÇóµ÷¼Á Ò»Ö¾Ô¸°²»Õ´óѧ085601
ÒѾÓÐ12È˻ظ´
288»·¾³×¨Ë¶,Çóµ÷²ÄÁÏ·½Ïò
ÒѾÓÐ23È˻ظ´
»·¾³×¨Ë¶µ÷¼Á
ÒѾÓÐ6È˻ظ´
22408 µ÷¼Á²ÄÁÏ
ÒѾÓÐ6È˻ظ´
285Çóµ÷¼Á
ÒѾÓÐ12È˻ظ´
Çóµ÷¼Á
ÒѾÓÐ6È˻ظ´
085600²ÄÁÏÓ뻯¹¤301·ÖÇóµ÷¼ÁԺУ
ÒѾÓÐ19È˻ظ´
» ±¾Ö÷ÌâÏà¹Ø¼ÛÖµÌùÍÆ¼ö£¬¶ÔÄúͬÑùÓаïÖú:
Ϊʲô¶þÔªº¯ÊýijµãÆ«µ¼ÊýÁ¬Ðø£¬ÔòÒ»¶¨¿É΢£¿Æ«µ¼ÊýÃ÷Ã÷Ö»´ú±íºá×ÝÁ½¸ö·½ÏòµÄÇé¿ö°¡
ÒѾÓÐ9È˻ظ´
µ¼º¯Êý¼«ÏÞÓëµ¼ÊýµÄ¹ØÏµ ÒÉÎÊ
ÒѾÓÐ12È˻ظ´
µ¼ÊýÖµÓ뺯ÊýÖµÖ®±È
ÒѾÓÐ7È˻ظ´
º¯ÊýÇ󵼺󣬲»»á½â£¬ÇóÖú´óÏÀ£¡
ÒѾÓÐ5È˻ظ´
¸ß”µÖÐȫ΢·ÖµÄһЩÒÉ»ó
ÒѾÓÐ4È˻ظ´
Ò»¸öÊýѧÉϺܴ«ÆæµÄ½üËÆµÄÎÊÌâ
ÒѾÓÐ16È˻ظ´
Çë½ÌÐκ¯ÊýµÄµ¼ÊýÔÚÈÎÒâËıßÐεĻý·Ö£¬Ð»Ð»
ÒѾÓÐ6È˻ظ´
ÇóÖúÈýÔªº¯Êý¶þ½×ƫ΢·ÖCÓïÑÔд·¨
ÒѾÓÐ10È˻ظ´
¡¾¹«Ê½ÄâºÏÎÊÌâ¡¿ÈçºÎÄâºÏÏÂÃæÕâÑùµÄÒ»¸ö¹«Ê½£¬¶àл´óÅ£¡£
ÒѾÓÐ6È˻ظ´
¡¾×¨¼Ò»áÕï¡¿bay ÌÖÂÛnamd,gmx´¦ÀíË®ÈÜÒº,µ°°×µÈMD Ä£Äâ;ÌÖÂÛË®¼°Ë®Í¨µÀ
ÒѾÓÐ50È˻ظ´
¡¾ÇóÖú¡¿¾ØÕóµ¼Êý¡¾Òѽâ¾ö¡¿
ÒѾÓÐ16È˻ظ´
¡¾ÇóÖú¡¿Çë½ÌÒ»¸öÒþº¯ÊýµÄÇóµ¼ÎÊÌâ
ÒѾÓÐ10È˻ظ´

1162886107
Ìú³æ (СÓÐÃûÆø)
- Ó¦Öú: 3 (Ó×¶ùÔ°)
- ½ð±Ò: 524.9
- Ìû×Ó: 197
- ÔÚÏß: 21.3Сʱ
- ³æºÅ: 2076480
- ×¢²á: 2012-10-21
- רҵ: ³£Î¢·Ö·½³ÌÓ붯Á¦ÏµÍ³
2Â¥2012-10-26 19:37:41
1162886107
Ìú³æ (СÓÐÃûÆø)
- Ó¦Öú: 3 (Ó×¶ùÔ°)
- ½ð±Ò: 524.9
- Ìû×Ó: 197
- ÔÚÏß: 21.3Сʱ
- ³æºÅ: 2076480
- ×¢²á: 2012-10-21
- רҵ: ³£Î¢·Ö·½³ÌÓ붯Á¦ÏµÍ³
¡¾´ð°¸¡¿Ó¦Öú»ØÌû
¡ï ¡ï ¡ï ¡ï ¡ï
Jeydragon: ½ð±Ò+5, ¡ï¡ï¡ï¡ï¡ï×î¼Ñ´ð°¸, лл 2012-10-27 14:06:20
Jeydragon: ½ð±Ò+5, ¡ï¡ï¡ï¡ï¡ï×î¼Ñ´ð°¸, лл 2012-10-27 14:06:20
3Â¥2012-10-26 19:41:41
bnuliuqing
½ûÑÔ (ÖøÃûдÊÖ)
¸Ðл²ÎÓ룬ӦÖúÖ¸Êý +1
|
±¾ÌûÄÚÈݱ»ÆÁ±Î |
4Â¥2012-10-26 19:44:11














»Ø¸´´ËÂ¥