| 查看: 2605 | 回复: 30 | ||||
hylb3020木虫 (正式写手)
流体力学爱好者
|
[求助]
请教一个非线性schrodinger方程的解法
|
|||
|
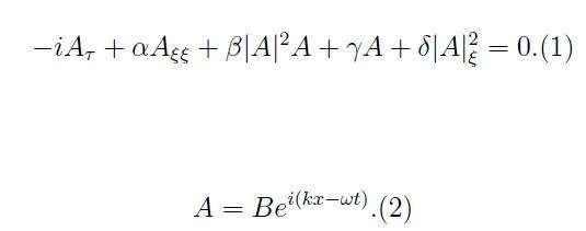
如图所示。A是一个复振幅,我打算行波变换,得到关于B的常微分方程,最后求A的行波解。 不过由于方程(1)中的第五项,无法消去e^{}的项,算不下去了。 不知道哪位虫友还有其他的方法? 非常感激。 838ba61ea8d3fd1ff1769638324e251f95ca5fb0.jpg |
» 猜你喜欢
拟解决的关键科学问题还要不要写
已经有8人回复
求推荐博导
已经有4人回复
为什么nbs上溴 没有产物点出现呢
已经有5人回复
存款400万可以在学校里躺平吗
已经有34人回复
求助一下有机合成大神
已经有4人回复
最失望的一年
已经有16人回复
求推荐英文EI期刊
已经有5人回复
26申博
已经有3人回复
基金委咋了?2026年的指南还没有出来?
已经有10人回复
疑惑?
已经有5人回复
» 本主题相关价值贴推荐,对您同样有帮助:
求助解复杂非线性方程组的好的方法
已经有24人回复
二阶非常系数非线性微分方程求解
已经有4人回复
matlab如何求解一个非线性微分方程组
已经有8人回复
用fortran程序遗传算法解非线性方程组
已经有7人回复
sos!!1stopt解非线性方程组,一直出现常数定义错误的问题!求大神帮助!
已经有12人回复
MATLAB求解非线性方程组
已经有5人回复
二阶非线性微分方程求解
已经有14人回复
非线性方程组的解法
已经有5人回复
求教:线性系统与线性微分方程的关系。非线性系统能用传递函数来描述吗?
已经有7人回复
求助matlab 非线性方程组全部解!
已经有6人回复
求助一阶非线性微分方程的解
已经有7人回复
关于拟合:同一个方程,非线性拟合与转换后线性拟合
已经有8人回复
急切求助!一个mathematica求解一个简单一元非线性方程的问题
已经有4人回复
请教用matlab求解一个非线性偏微分方程组的数值解
已经有8人回复
用不动点迭代求非线性方程组,求得的不是想要的解,怎么办
已经有12人回复
拟合非线性方程系数的精度问题
已经有5人回复
matlab求解非线性方程组
已经有16人回复
非线性自治微分方程的稳定性
已经有4人回复
matlab的fsove 命令求解非线性方程组
已经有6人回复
【求助】用mathematica 5.0求解一个非线性方程组失败,特发帖求助!
已经有5人回复
【求助】100金币求助如何将积分方程转化为非线性方程(有效期至2010年9月15日)
已经有3人回复
【求助】求解非线性方程
已经有8人回复

feixiaolin
荣誉版主 (文坛精英)
-

专家经验: +518 - 应助: 942 (博后)
- 贵宾: 1.275
- 金币: 3430
- 散金: 58785
- 红花: 532
- 沙发: 11
- 帖子: 24215
- 在线: 2601.8小时
- 虫号: 2139575
- 注册: 2012-11-21
- 专业: 光学信息获取与处理
- 管辖: 数学
★
hylb3020(金币+1): 谢谢参与
hylb3020(金币+1): 谢谢参与
|
基于Maple数学软件求Schrodinger方程的精确解 http://d.wanfangdata.com.cn/Periodical_jsjgprjyyy201123177.aspx |
2楼2013-12-02 20:35:10
feixiaolin
荣誉版主 (文坛精英)
-

专家经验: +518 - 应助: 942 (博后)
- 贵宾: 1.275
- 金币: 3430
- 散金: 58785
- 红花: 532
- 沙发: 11
- 帖子: 24215
- 在线: 2601.8小时
- 虫号: 2139575
- 注册: 2012-11-21
- 专业: 光学信息获取与处理
- 管辖: 数学
30楼2013-12-04 16:42:22
★
hylb3020(金币+1): 谢谢参与
hylb3020(金币+1): 谢谢参与
|
3楼2013-12-02 20:50:56
★
hylb3020(金币+1): 谢谢参与
hylb3020(金币+1): 谢谢参与
| 1 |
4楼2013-12-02 20:54:27
oneday1234
铁虫 (知名作家)
- 应助: 0 (幼儿园)
- 金币: 6425.7
- 红花: 2
- 帖子: 7342
- 在线: 52小时
- 虫号: 2606659
- 注册: 2013-08-20
- 专业: 社会心理学
5楼2013-12-02 21:00:02
ttmany7788
铁虫 (知名作家)
- 应助: 0 (幼儿园)
- 金币: 6408.5
- 红花: 3
- 帖子: 7308
- 在线: 50.2小时
- 虫号: 2607370
- 注册: 2013-08-20
- 专业: 电路与系统
6楼2013-12-02 21:00:06
freedom767
铁虫 (知名作家)
- 应助: 0 (幼儿园)
- 金币: 6425.3
- 红花: 2
- 帖子: 7369
- 在线: 50.3小时
- 虫号: 2606677
- 注册: 2013-08-20
- 专业: 高分子合成化学
7楼2013-12-02 21:01:07
8楼2013-12-02 21:02:02
9楼2013-12-02 21:05:03
|
10楼2013-12-02 21:14:24













回复此楼