²é¿´: 1458  |  »Ø¸´: 2

1.414

ľ³æ (ÕýʽдÊÖ)

ÈëÃÅ

[ÇóÖú] ƫ΢·Ö·½³Ì½âÎö½â

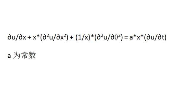
ͼÖÐΪһ¸öƫ΢·Ö·½³Ì,ÓÐûÓÐÄÄλ´óÏÀ¿ÉÒÔ°ïæ½â³ö½âÎö½âµÄ.
ƫ΢·Ö·½³Ì½âÎö½â
PDE.jpg
»Ø¸´´ËÂ¥

» ²ÂÄãϲ»¶

» ±¾Ö÷ÌâÏà¹Ø¼ÛÖµÌùÍÆ¼ö£¬¶ÔÄúͬÑùÓаïÖú:

ÐÄÓжà´ó£¬Îę̀¾ÍÓжà´ó£¡
ÒÑÔÄ   ¹Ø×¢TA ¸øTA·¢ÏûÏ¢ ËÍTAºì»¨ TAµÄ»ØÌû

LAIZUdonghb

Òø³æ (³õÈëÎÄ̳)

¡¾´ð°¸¡¿Ó¦Öú»ØÌû

¸Ðл²ÎÓ룬ӦÖúÖ¸Êý +1
»¹ÓÐûÓÐÆäËûµÄÌõ¼þ°¡
ÓÐÖ¾Õߣ¬Ê¾¹³É£¬ÆÆ¸ª³ÁÖÛ£¬°Ù¶þÇØ¹ØÖÕÊô³þ£»¿àÐÄÈË£¬Ìì²»¸º£¬ÎÔн³¢µ¨£¬ÈýǧԽ¼×¿ÉÍÌÎâ¡£
2Â¥2013-10-09 10:29:22
ÒÑÔÄ   ¹Ø×¢TA ¸øTA·¢ÏûÏ¢ ËÍTAºì»¨ TAµÄ»ØÌû

SEEDEN

Òø³æ (ÕýʽдÊÖ)

û³õʼºÍ±ß½çÌõ¼þÔõô½â£¿
3Â¥2013-10-09 12:02:37
ÒÑÔÄ   ¹Ø×¢TA ¸øTA·¢ÏûÏ¢ ËÍTAºì»¨ TAµÄ»ØÌû
Ïà¹Ø°æ¿éÌø×ª ÎÒÒª¶©ÔÄÂ¥Ö÷ 1.414 µÄÖ÷Ìâ¸üÐÂ
×î¾ßÈËÆøÈÈÌûÍÆ¼ö [²é¿´È«²¿] ×÷Õß »Ø/¿´ ×îºó·¢±í
[¿¼ÑÐ] ²ÄÁϵ÷¼Á 5+3 ÏëÒªÒ»ºøÌÒ»¨Ë® 2026-03-25 7/350 2026-03-26 03:29 by sjeidudkso
[¿¼ÑÐ] 316Çóµ÷¼Á +9 ÁºÜçö© 2026-03-19 9/450 2026-03-25 23:01 by peike
[¿¼ÑÐ] »¯Ñ§µ÷¼ÁÒ»Ö¾Ô¸ÉϺ£½»Í¨´óѧ336·Ö-±¾¿ÆÉϺ£211 +3 СÓã°®Óлú 2026-03-25 3/150 2026-03-25 20:13 by qingfeng258
[¿¼ÑÐ] ²ÄÁÏÓ뻯¹¤304ÇóBÇøµ÷¼Á +3 Çñgl 2026-03-25 3/150 2026-03-25 19:03 by Ainin_
[¿¼ÑÐ] ÍøÂç¿Õ¼ä°²È«0839Õе÷¼Á +4 w320357296 2026-03-25 6/300 2026-03-25 17:59 by 255671
[¿¼ÑÐ] 299Çóµ÷¼Á +7 shxchem 2026-03-20 9/450 2026-03-25 10:41 by lbsjt
[¿¼ÑÐ] 306Çó0703µ÷¼ÁÒ»Ö¾Ô¸»ªÖÐʦ·¶ +10 Ö½Óãly 2026-03-21 11/550 2026-03-24 17:22 by qingfeng258
[¿¼ÑÐ] 070300»¯Ñ§Çóµ÷¼Á +9 Ô·¶¹¶¹ 2026-03-20 9/450 2026-03-24 17:15 by licg0208
[¿¼ÑÐ] 292Çóµ÷¼Á +4 ¶ì¶ì¶ì¶î¶î¶î¶î¶ 2026-03-24 4/200 2026-03-24 16:41 by peike
[¿¼ÑÐ] 291Çóµ÷¼Á +8 hhhhxn.. 2026-03-23 8/400 2026-03-23 23:15 by peike
[¿¼ÑÐ] 328Çóµ÷¼Á +4 LHHL66 2026-03-23 4/200 2026-03-23 14:55 by lbsjt
[¿¼ÑÐ] ÇóÀÏʦÊÕÎÒ +3 zzh16938784 2026-03-23 3/150 2026-03-23 12:56 by ztnimte
[¿¼ÑÐ] 306Çóµ÷¼Á +5 À´ºÃÔËÀ´À´À´ 2026-03-22 5/250 2026-03-22 16:17 by BruceLiu320
[¿¼ÑÐ] 297Çóµ÷¼Á +3 ϲ»¶»¹ÊDz»¸ÊÐÄ 2026-03-20 3/150 2026-03-21 18:33 by ѧԱ8dgXkO
[¿¼ÑÐ] 266Çóµ÷¼Á +3 ÍÛºôºßºôºß 2026-03-20 3/150 2026-03-21 16:46 by barlinike
[¿¼ÑÐ] 330Çóµ÷¼Á0854 +3 assdll 2026-03-21 3/150 2026-03-21 13:01 by ²«»÷518
[¿¼ÑÐ] Ò»Ö¾Ô¸Î÷ÄϽ»Í¨ ר˶ ²ÄÁÏ355 ±¾¿ÆË«·Ç Çóµ÷¼Á +5 Î÷ÄϽ»Í¨×¨²Ä355 2026-03-19 5/250 2026-03-20 21:10 by JourneyLucky
[¿¼ÑÐ] 295¸´ÊÔµ÷¼Á +8 ¼òľChuFront 2026-03-19 8/400 2026-03-20 20:44 by zhukairuo
[¿¼ÑÐ] 295²ÄÁÏÇóµ÷¼Á£¬Ò»Ö¾Ô¸Î人Àí¹¤085601ר˶ +5 Charlieyq 2026-03-19 5/250 2026-03-20 20:35 by JourneyLucky
[¿¼ÑÐ] 320Çóµ÷¼Á0856 +3 ²»ÏëÆðÃû×Ö112 2026-03-19 3/150 2026-03-19 22:53 by ѧԱ8dgXkO
ÐÅÏ¢Ìáʾ
ÇëÌî´¦ÀíÒâ¼û