| 查看: 1704 | 回复: 8 | ||
tarcy金虫 (正式写手)
|
[求助]
求助高手 解一个积分方程
|
|
|
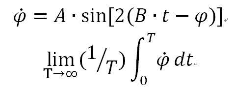
求解磁球的震动方程,里面有一个积分表达式不太明白怎么得出的。 如图,第一行方程为被积项表达式,左端为φ关于时间t的倒数项,右侧表达式包含变量t和φ的表达式。 第二行方程为一个积分项,同时求极限。 请高手帮解方程,谢谢。 积分公式.jpg |
» 猜你喜欢
280求调剂
已经有3人回复
网上报道青年教师午睡中猝死、熬夜猝死的越来越多,主要哪些原因引起的?
已经有8人回复
面上可以超过30页吧?
已经有11人回复
版面费该交吗
已经有15人回复
体制内长辈说体制内绝大部分一辈子在底层,如同你们一样大部分普通教师忙且收入低
已经有18人回复
为什么中国大学工科教授们水了那么多所谓的顶会顶刊,但还是做不出宇树机器人?
已经有10人回复
什么是人一生最重要的?
已经有4人回复
» 本主题相关价值贴推荐,对您同样有帮助:
求助,用matlab解微分方程组,希望高手能给予指点
已经有17人回复
请问这个4阶的非线性偏微分方程组在PDE中怎么解?等待高手解答。
已经有17人回复
求Matlab高手解决线性方程组的迭代求解问题
已经有17人回复
求助 MATLAB解方程组-fslove
已经有7人回复
拜求,这种带参数的方程怎么解比较好?
已经有4人回复
高手进来用matlab求解常微分方程,十分感谢!
已经有17人回复
求助解一道高中数学方程题
已经有8人回复
高金求助matlab解微分方程组
已经有12人回复
MATLAB解方程出现??? Subscripted assignment dimension mismatch.
已经有3人回复
【求助】请教非齐次常微分方程组的解析解法
已经有4人回复
【求助】matlab 解矩阵方程 重金悬赏解决方案
已经有10人回复
【求助】急请微分方程高手看下这个方程组!
已经有14人回复
【求助】请教一个关于解方程的问题
已经有8人回复
【求助】求教 多元指数方程如何解 有软件否?
已经有6人回复
【求助】一个二阶常微分方程的解法(重奖金币!)
已经有16人回复
【求助】请教高手关于核磁谱中积分的一个问题
已经有10人回复
【求助】偏微分方程的基本解
已经有5人回复
【求助】求助:vb编程中用牛顿迭代解三次方程为什么只得到一个根?【已完成】
已经有15人回复
hank612
至尊木虫 (著名写手)
- 数学EPI: 14
- 应助: 225 (大学生)
- 金币: 14270.6
- 散金: 1055
- 红花: 95
- 帖子: 1526
- 在线: 1375.8小时
- 虫号: 2530333
- 注册: 2013-07-03
- 性别: GG
- 专业: 理论和计算化学

8楼2013-09-08 01:33:28

2楼2013-09-06 18:43:51
tarcy
金虫 (正式写手)
- 应助: 66 (初中生)
- 金币: 1437.3
- 散金: 87
- 红花: 10
- 帖子: 505
- 在线: 325.5小时
- 虫号: 1436149
- 注册: 2011-10-10
- 性别: GG
- 专业: 传热传质学
3楼2013-09-06 20:43:15
hank612
至尊木虫 (著名写手)
- 数学EPI: 14
- 应助: 225 (大学生)
- 金币: 14270.6
- 散金: 1055
- 红花: 95
- 帖子: 1526
- 在线: 1375.8小时
- 虫号: 2530333
- 注册: 2013-07-03
- 性别: GG
- 专业: 理论和计算化学
【答案】应助回帖
★ ★ ★ ★ ★ ★ ★ ★ ★ ★ ★ ★ ★ ★ ★ ★
感谢参与,应助指数 +1
tarcy: 金币+10, ★★★很有帮助, 非常谢谢 2013-09-07 14:18:18
tarcy: 金币+6, ★★★★★最佳答案 2013-10-13 18:40:28
感谢参与,应助指数 +1
tarcy: 金币+10, ★★★很有帮助, 非常谢谢 2013-09-07 14:18:18
tarcy: 金币+6, ★★★★★最佳答案 2013-10-13 18:40:28
|
首先做变量替换 x=2(Bt- phi), a=A/B. 那么 dx /dt = 2B -2 (A* Sin(x) ), 即 dx/ ( 1-a*Sin(x) ) = 2B* dt. 这是分离变量x, t. 积分两边, 右端是2Bt +C, 其中C是任意常数. 左端用万能公式 sin(x)= 2*tan(x/2) / (1+tan^2(x/2)), 被积函数可写成 dx/ ( 1-a*Sin(x) ) = sec^2(x/2) dx / [ 1+tan^2(x/2) -2a*tan(x/2) ] = -2 * d(a-tan(x/2)) / [(1-a^2) + (a-tan(x/2))^2] 这是一个标准积分, 关于arctan函数的, 所以左端是 -2/ sqrt(1-a^2) *arctan[ (a-tan(x/2)) / sqrt(1-a^2)]. 因此 tan(x/2) -a = sqrt(1-a^2)* tan(B*sqrt(1-a^2)*t +C). 忐忑地问一下楼主, 是不是 有|A| < |B|的限制条件? 当t趋于无穷大时, sqrt(1-a^2)* tan(B*sqrt(1-a^2)*t +C)是周期性的无界的振荡函数, 因此, tan(x/2)也是振荡的, 没有极限. 因此不能用L'Hospital 法则求极限 int_{0}^T sin(x) dt / T. 其实, sin(x(t) )基本上是个周期函数, 所以楼主要求的极限等于一个周期上的积分值, 具体来说就是, int_{- pi/2}^{pi/2} 2*( a+sqrt(1-a^2)*tan(theta) ) / [1 + ( a+sqrt(1-a^2)*tan(theta) )^2 ] d(theta). 经过一些杂七杂八的化简后, 要求计算Integrate[ y / [(1+y^2)(1-a^2+(y-a)^2)], {y, -infinity, infinity} ] Mathematica软件计算结果为 -Pi/ (2a), 所以极限值等于 -Pi* sqrt( (B/A)^2-1). 答案有些诡异, 楼主看看符号有没有 问题, 是否与预期的相符, 等等. |

4楼2013-09-07 01:53:32
hank612
至尊木虫 (著名写手)
- 数学EPI: 14
- 应助: 225 (大学生)
- 金币: 14270.6
- 散金: 1055
- 红花: 95
- 帖子: 1526
- 在线: 1375.8小时
- 虫号: 2530333
- 注册: 2013-07-03
- 性别: GG
- 专业: 理论和计算化学
|
哎呀好象Mathematica软件计算结果有问题, 那个负的答案是在某种条件下得到的, http://www.wolframalpha.com/inpu ... 2C+infinity%7D+%5D+ 我看了一下原函数表达式, 觉得还是这个答案更合理: Pi* [ B/A - sqrt( (B/A)^2 -1 ) ]. 楼主可以代入一些参数, 验证合理性. |

5楼2013-09-07 02:26:05
peterflyer
木虫之王 (文学泰斗)
peterflyer
- 数学EPI: 10
- 应助: 20282 (院士)
- 金币: 146081
- 红花: 1374
- 帖子: 93091
- 在线: 7694.3小时
- 虫号: 1482829
- 注册: 2011-11-08
- 性别: GG
- 专业: 功能陶瓷
6楼2013-09-07 08:30:56
tarcy
金虫 (正式写手)
- 应助: 66 (初中生)
- 金币: 1437.3
- 散金: 87
- 红花: 10
- 帖子: 505
- 在线: 325.5小时
- 虫号: 1436149
- 注册: 2011-10-10
- 性别: GG
- 专业: 传热传质学
7楼2013-09-07 14:26:10
hank612
至尊木虫 (著名写手)
- 数学EPI: 14
- 应助: 225 (大学生)
- 金币: 14270.6
- 散金: 1055
- 红花: 95
- 帖子: 1526
- 在线: 1375.8小时
- 虫号: 2530333
- 注册: 2013-07-03
- 性别: GG
- 专业: 理论和计算化学

9楼2013-09-08 01:35:12













回复此楼