版块导航
正在加载中...
客户端APP下载
论文辅导
申博辅导
登录
注册
帖子
帖子
用户
本版
应《网络安全法》要求,自2017年10月1日起,未进行实名认证将不得使用互联网跟帖服务。为保障您的帐号能够正常使用,请尽快对帐号进行手机号验证,感谢您的理解与支持!
24小时热门版块排行榜
>
论坛更新日志
(409)
>
导师招生
(18)
>
考博
(18)
>
论文道贺祈福
(12)
>
公派出国
(10)
>
虫友互识
(6)
>
找工作
(5)
>
论文投稿
(4)
>
休闲灌水
(4)
>
博后之家
(3)
>
基金申请
(3)
>
考研
(3)
>
招聘信息布告栏
(2)
>
硕博家园
(2)
>
文献求助
(2)
>
版块工场
(1)
小木虫论坛-学术科研互动平台
»
专业学科区
»
数学
»
计算数学
»
已知微分方程求解数值解
8
1/1
返回列表
查看: 1149 | 回复: 7
只看楼主
@他人
存档
新回复提醒
(忽略)
收藏
在APP中查看
lixixiao2
铜虫
(小有名气)
应助: 1
(幼儿园)
金币: -10.4
帖子: 179
在线: 15.3小时
虫号: 1820249
注册: 2012-05-16
专业: 金属材料的力学行为
[
求助
]
已知微分方程求解数值解
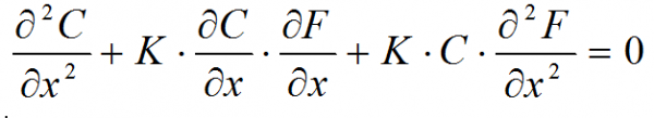
F 和 C 均为 x 的函数,K 为常数
如果 F 函数已知,但只有一组数值解,如何求解 C 的数值解。F 和 C 满足微分方程:
捕获.PNG
回复此楼
» 猜你喜欢
真诚求助:手里的省社科项目结项要求主持人一篇中文核心,有什么渠道能发核心吗
已经有8人回复
寻求一种能扛住强氧化性腐蚀性的容器密封件
已经有5人回复
论文投稿,期刊推荐
已经有6人回复
请问哪里可以有青B申请的本子可以借鉴一下。
已经有4人回复
孩子确诊有中度注意力缺陷
已经有14人回复
请问下大家为什么这个铃木偶联几乎不反应呢
已经有5人回复
请问有评职称,把科研教学业绩算分排序的高校吗
已经有5人回复
2025冷门绝学什么时候出结果
已经有3人回复
天津工业大学郑柳春团队欢迎化学化工、高分子化学或有机合成方向的博士生和硕士生加入
已经有4人回复
康复大学泰山学者周祺惠团队招收博士研究生
已经有6人回复
» 本主题相关价值贴推荐,对您同样有帮助:
如何使用fsolve求解经过微分计算生成的函数的解?不是微分方程
已经有12人回复
关于偏微分方程MOL求解的向后有限差分和Gear's算法的时间积分,希望高手解答
已经有1人回复
代数方程同微分方程耦合求解
已经有0人回复
二阶非线性微分方程边值条件
已经有5人回复
用MATLAB求解二阶非线性常微分方程数值解问题
已经有2人回复
非线性偏微分方程数值解
已经有9人回复
求大神帮忙解题啊!!!
已经有4人回复
求助1stopt拟合动力学参数
已经有4人回复
科学与工艺技术
已经有1人回复
一阶常微分方程组,matlab进行数值求解
已经有3人回复
求助FIIR滤波器实现
已经有0人回复
请教这个微分方程组怎么求解?有什么针对性的参考资料啊?
已经有0人回复
帮忙看一个微分方程
已经有7人回复
请教高手:PDE工具箱能解两个偏微分方程相互迭代求解吗
已经有2人回复
Matlab关于有耦合的微分方程PID求解问题
已经有0人回复
用MATLAB ode45求解2阶微分方程
已经有4人回复
【求助完毕】用ode逆向求解微分方程问题
已经有4人回复
1楼
2012-11-11 19:23:59
已阅
回复此楼
关注TA
给TA发消息
送TA红花
TA的回帖
18662515085
银虫
(正式写手)
应助: 142
(高中生)
金币: 419.8
散金: 24
红花: 11
帖子: 487
在线: 220.4小时
虫号: 1955839
注册: 2012-08-25
性别:
MM
专业: 凝聚态物性I:结构、力学和
【答案】应助回帖
★ ★
感谢参与,应助指数 +1
lixixiao2: 金币+2,
★
有帮助
2012-11-12 09:13:25
F的一阶以及二阶都是已知量,按照正常的解微分方程来做
赞
一下
回复此楼
2楼
2012-11-11 20:00:19
已阅
回复此楼
关注TA
给TA发消息
送TA红花
TA的回帖
lixixiao2
铜虫
(小有名气)
应助: 1
(幼儿园)
金币: -10.4
帖子: 179
在线: 15.3小时
虫号: 1820249
注册: 2012-05-16
专业: 金属材料的力学行为
引用回帖:
2楼
:
Originally posted by
18662515085
at 2012-11-11 20:00:19
F的一阶以及二阶都是已知量,按照正常的解微分方程来做
如何表示F的二阶量呢,用两重差分么,但我试过了,精度很低
赞
一下
回复此楼
3楼
2012-11-11 20:17:07
已阅
回复此楼
关注TA
给TA发消息
送TA红花
TA的回帖
人民海军
木虫
(职业作家)
应助: 101
(高中生)
金币: 903.7
散金: 10685
红花: 35
帖子: 4761
在线: 418.8小时
虫号: 1829469
注册: 2012-05-22
性别: GG
专业: 概率论与随机分析
【答案】应助回帖
★ ★
感谢参与,应助指数 +1
lixixiao2: 金币+2,
★
有帮助
2012-11-12 09:13:30
是精读低还是不稳定?
[ 发自手机版 http://muchong.com/3g ]
赞
一下
回复此楼
Letbygonesbebygones.
4楼
2012-11-11 22:50:53
已阅
回复此楼
关注TA
给TA发消息
送TA红花
TA的回帖
lixixiao2
铜虫
(小有名气)
应助: 1
(幼儿园)
金币: -10.4
帖子: 179
在线: 15.3小时
虫号: 1820249
注册: 2012-05-16
专业: 金属材料的力学行为
引用回帖:
4楼
:
Originally posted by
人民海军
at 2012-11-11 22:50:53
是精读低还是不稳定?
应该说是不稳定,我这里的F是应力值,C是浓度值,但是结果算出来浓度竟然有负值,我是用一次差分表示的一阶导数,二次差分表示二阶导数,我感觉这种表示可能存在问题。
赞
一下
回复此楼
5楼
2012-11-12 09:13:09
已阅
回复此楼
关注TA
给TA发消息
送TA红花
TA的回帖
人民海军
木虫
(职业作家)
应助: 101
(高中生)
金币: 903.7
散金: 10685
红花: 35
帖子: 4761
在线: 418.8小时
虫号: 1829469
注册: 2012-05-22
性别: GG
专业: 概率论与随机分析
【答案】应助回帖
引用回帖:
5楼
:
Originally posted by
lixixiao2
at 2012-11-12 09:13:09
应该说是不稳定,我这里的F是应力值,C是浓度值,但是结果算出来浓度竟然有负值,我是用一次差分表示的一阶导数,二次差分表示二阶导数,我感觉这种表示可能存在问题。...
自己编的程序?要增加稳定性的话不要用向前差分,用中间差分或向后差分。另外,不妨降阶写成一阶方程组试试(瞎说的,不一定有效)
赞
一下
回复此楼
Letbygonesbebygones.
6楼
2012-11-12 11:24:48
已阅
回复此楼
关注TA
给TA发消息
送TA红花
TA的回帖
lixixiao2
铜虫
(小有名气)
应助: 1
(幼儿园)
金币: -10.4
帖子: 179
在线: 15.3小时
虫号: 1820249
注册: 2012-05-16
专业: 金属材料的力学行为
引用回帖:
6楼
:
Originally posted by
人民海军
at 2012-11-12 11:24:48
自己编的程序?要增加稳定性的话不要用向前差分,用中间差分或向后差分。另外,不妨降阶写成一阶方程组试试(瞎说的,不一定有效)...
自己编的,那我试试中间差分
赞
一下
回复此楼
7楼
2012-11-12 16:20:03
已阅
回复此楼
关注TA
给TA发消息
送TA红花
TA的回帖
hfj1988
新虫
(小有名气)
应助: 4
(幼儿园)
金币: 1057.2
帖子: 185
在线: 115.2小时
虫号: 2138982
注册: 2012-11-21
专业: 计算数学与科学工程计算
【答案】应助回帖
F给的数据是从哪来的,可靠么?如果是测验得来的要做一定的处理,比如去除一些怪异的数据,插值一些缺少的数据。
数值求导对步长是有要求的,不是像理论上的步长越小越精确,因为计算机字长的限制,步长太小了舍入误差起主要作用,这是要注意的。
我觉得用什么差分格式是无所谓的,这和差分方法解方程是不一样的
赞
一下
回复此楼
8楼
2012-11-29 16:14:10
已阅
回复此楼
关注TA
给TA发消息
送TA红花
TA的回帖
相关版块跳转
数理科学综合
机械
物理
数学
农林
食品
地学
能源
信息科学
土木建筑
航空航天
转基因
我要订阅楼主
lixixiao2
的主题更新
8
1/1
返回列表
如果回帖内容含有宣传信息,请如实选中。否则帐号将被全论坛禁言
普通表情
龙
兔
虎
猫
百度网盘
|
360云盘
|
千易网盘
|
华为网盘
在新窗口页面中打开自己喜欢的网盘网站,将文件上传后,然后将下载链接复制到帖子内容中就可以了。
信息提示
关闭
请填处理意见
关闭
确定