| 查看: 2515 | 回复: 2 | |
[求助]
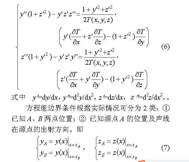
用MATLAB求解二阶非线性常微分方程数值解问题
|
|
|
|
|
|
2楼2015-05-12 09:44:26
|
|
|
3楼2015-05-12 15:32:13
|
|













回复此楼