| 查看: 335 | 回复: 0 | ||
afu2007铁杆木虫 (职业作家)
|
[求助]
请教这个微分方程组怎么求解?有什么针对性的参考资料啊?
|
|
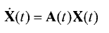
包括闭合的解析解(解的函数表达式,最好是有限项)和数值解 就是这类微分方程组。系数是时变的线性微分方程组 具体来说,是这个方程组。在0时刻的初值是已知的。 [ Last edited by afu2007 on 2012-2-23 at 22:42 ] |
» 猜你喜欢
311(085601)求调剂
已经有4人回复
305求调剂
已经有4人回复
一志愿北化085600材料专硕275|有文章专利|求调剂
已经有7人回复
一志愿华理,数一英一285求A区调剂
已经有12人回复
289求调剂
已经有11人回复
食品工程专硕一志愿中海洋309求调剂
已经有7人回复
生物学学硕,一志愿湖南大学,初试成绩338
已经有6人回复
321求调剂
已经有7人回复
343求调剂
已经有4人回复
本科新能源科学与工程,一志愿华理能动285求调剂
已经有6人回复
找到一些相关的精华帖子,希望有用哦~
请问如何求解二元一阶微分方程组
已经有24人回复
求解四阶微分方程组
已经有14人回复
【求助】向各位大侠求助matlab求解微分方程组遇到的一个问题
已经有21人回复
【求助】这个微分方程组simulink求解到底错在哪里?
已经有3人回复
【求助】请教非齐次常微分方程组的解析解法
已经有4人回复
【求助】积分微分方程matlab求解
已经有6人回复
【求助】请教一个常微分方程的特解
已经有4人回复
【求助】matlab怎么求解偏微分方程组啊,先谢谢了
已经有13人回复
【求助】如何解这个常微分方程【已完结】
已经有9人回复
【求助】偏微分方程的基本解
已经有5人回复
科研从小木虫开始,人人为我,我为人人














回复此楼
点击这里搜索更多相关资源