| 查看: 440 | 回复: 2 | ||
[求助]
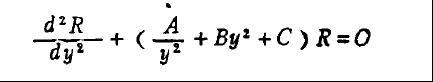
特殊的二阶微分方程,求助高手。
|
||
|
|
||
|
2楼2012-05-17 08:51:36
|
|
|
zhangwb_wk金虫 (初入文坛)
|
【答案】应助回帖
|
|
|
3楼2012-05-17 16:15:28
|
|













回复此楼