版块导航
正在加载中...
客户端APP下载
论文辅导
调剂小程序
登录
注册
帖子
帖子
用户
本版
应《网络安全法》要求,自2017年10月1日起,未进行实名认证将不得使用互联网跟帖服务。为保障您的帐号能够正常使用,请尽快对帐号进行手机号验证,感谢您的理解与支持!
24小时热门版块排行榜
>
论坛更新日志
(2722)
>
虫友互识
(188)
>
导师招生
(86)
>
文献求助
(64)
>
休闲灌水
(55)
>
硕博家园
(47)
>
考研
(27)
>
基金申请
(23)
>
论文投稿
(23)
>
论文道贺祈福
(22)
>
考博
(22)
>
博后之家
(21)
>
找工作
(16)
>
教师之家
(15)
>
公派出国
(15)
>
健康生活
(9)
小木虫论坛-学术科研互动平台
»
专业学科区
»
数学
»
基础数学
»
一个积分,我绝望了
18
1/2
返回列表
1
2
下一页
查看: 1779 | 回复: 17
只看楼主
@他人
存档
新回复提醒
(忽略)
收藏
在APP中查看
王京
铜虫
(小有名气)
应助: 0
(幼儿园)
金币: 171.6
帖子: 85
在线: 18.6小时
虫号: 1173684
注册: 2010-12-20
专业: 凝聚态物性 II :电子结构
[
求助
]
一个积分,我绝望了
请帮我解答一个积分,实在是算疯掉了,我把指数项用欧拉公式分解了,然后cos()*sin()那项积化和差,但还是做不出来,谢谢,题我上传附件了
回复此楼
» 猜你喜欢
过年走亲戚时感受到了所开私家车的鄙视链
已经有5人回复
售SCI一区文章,我:8 O5 51O 54,科目齐全,可+急
已经有4人回复
售SCI一区文章,我:8 O5 51O 54,科目齐全,可+急
已经有3人回复
售SCI一区文章,我:8 O5 51O 54,科目齐全,可+急
已经有3人回复
售SCI一区文章,我:8 O5 51O 54,科目齐全,可+急
已经有3人回复
售SCI一区文章,我:8 O5 51O 54,科目齐全,可+急
已经有5人回复
售SCI一区文章,我:8 O5 51O 54,科目齐全,可+急
已经有4人回复
售SCI一区文章,我:8 O5 51O 54,科目齐全,可+急
已经有5人回复
售SCI一区文章,我:8 O5 51O 54,科目齐全,可+急
已经有5人回复
售SCI一区文章,我:8 O5 51O 54,科目齐全,可+急
已经有4人回复
» 本主题相关价值贴推荐,对您同样有帮助:
我发现了英语阅读的一个规律
已经有71人回复
求助一个复杂积分
已经有5人回复
求助一个关于计算磁阻的定积分
已经有4人回复
求助解一个微积分,高等数学让我忘完了
已经有12人回复
一个绝对值求积分问题
已经有8人回复
exp(-|x|)求导
已经有7人回复
面试完好几天了还没有消息,期望、失望到绝望
已经有15人回复
请教一个积分用留数定理计算的问题
已经有15人回复
在y=3x+2这条线上找到一个点,是离原点最近的点,用微积分求最小值的方法
已经有6人回复
求助!!!我想要在fluent中针对一个面进行积分,那么UDF应该用什么宏函数?怎么用?
已经有5人回复
用matlab求一个积分。我求不出来啊
已经有3人回复
算一个双重积分(By hand)
已经有8人回复
请教一个Mathematica积分的问题(重金求解)
已经有6人回复
联系了两个博导,让人很绝望,该怎么办
已经有10人回复
氢谱0.01ppm处出现三重峰,积分为一个氢!
已经有14人回复
求一个道客巴巴网站的文章 要求100积分 不知道给多少金币合适
已经有3人回复
【求助】matlab求解一个简单的积分(急!!!)
已经有7人回复
【交流】看到一个光学积分球的 就想问一下
已经有11人回复
【求助】如何在Word里输入一个好看的积分符号?
已经有24人回复
【求助】请教高手关于核磁谱中积分的一个问题
已经有10人回复
【求助】一个二重积分问题【已解决】
已经有17人回复
【求助】maple的一个积分问题
已经有8人回复
1楼
2011-06-27 09:09:53
已阅
回复此楼
关注TA
给TA发消息
送TA红花
TA的回帖
xiuyouxu
铁杆木虫
(职业作家)
应助: 43
(小学生)
金币: 16536.7
散金: 540
红花: 6
沙发: 2
帖子: 3207
在线: 580.7小时
虫号: 1256596
注册: 2011-04-06
性别: GG
专业: 数理统计
【答案】应助回帖
★
soliton923(金币+1): 谢谢参与~~ 2011-06-27 13:46:01
王京(金币+1): 还是谢谢您 2011-06-28 10:10:00
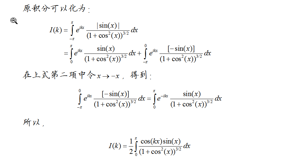
积分结果的虚部应该为0(sinkx为奇函数)
实部等于
coskx*sinx/(1+(cosx)^2)^(3/2)在[0,pi]上积分的2倍.
这个积分我做不出来
赞
一下
(1人)
回复此楼
忘记自己,忘记一切烦恼(欢迎访问我的网站兆字节:http://www.mathbeta.com/)
2楼
2011-06-27 09:48:57
已阅
回复此楼
关注TA
给TA发消息
送TA红花
TA的回帖
王京
铜虫
(小有名气)
应助: 0
(幼儿园)
金币: 171.6
帖子: 85
在线: 18.6小时
虫号: 1173684
注册: 2010-12-20
专业: 凝聚态物性 II :电子结构
我就是这么做的,算不出来
赞
一下
回复此楼
3楼
2011-06-27 10:05:28
已阅
回复此楼
关注TA
给TA发消息
送TA红花
TA的回帖
wyf19920719
铜虫
(小有名气)
应助: 0
(幼儿园)
金币: 155.6
散金: 17
红花: 2
帖子: 182
在线: 13.6小时
虫号: 1319717
注册: 2011-06-10
性别: GG
专业: 泛函分析
【答案】应助回帖
★
soliton923(金币+1): 谢谢参与讨论~~ 2011-06-27 13:46:10
福利叶变换可行吗?
赞
一下
(1人)
回复此楼
4楼
2011-06-27 11:13:49
已阅
回复此楼
关注TA
给TA发消息
送TA红花
TA的回帖
lxf364677382
铁虫
(小有名气)
应助: 0
(幼儿园)
金币: 14.5
帖子: 55
在线: 15.3小时
虫号: 1212453
注册: 2011-02-24
性别: GG
专业: 基础物理学
【答案】应助回帖
★
soliton923(金币+1): 谢谢参与~~ 2011-06-27 13:46:19
Matlab 也搞不定吗?
赞
一下
(1人)
回复此楼
没有审视的生活是不值得过的!~
5楼
2011-06-27 11:35:06
已阅
回复此楼
关注TA
给TA发消息
送TA红花
TA的回帖
jiahl
金虫
(小有名气)
数学EPI: 4
应助: 4
(幼儿园)
金币: 1153
散金: 102
帖子: 229
在线: 57.1小时
虫号: 478641
注册: 2007-12-14
专业: 偏微分方程
【答案】应助回帖
★
soliton923(金币+1): 十分感谢专家的参与~~~ 2011-06-27 13:46:37
你试试把积分写成关于k的函数I(k),对k求导得到一个常微分方程,其解可以写成I(k)=I(0)*exp(-k^2/2). I(0)是很好算的,用换元法就可以算出来了。没有具体实践,不保证一定对。
赞
一下
(1人)
回复此楼
业精于勤 荒于嬉 行成于思 毁于随
6楼
2011-06-27 13:00:29
已阅
回复此楼
关注TA
给TA发消息
送TA红花
TA的回帖
王京
铜虫
(小有名气)
应助: 0
(幼儿园)
金币: 171.6
帖子: 85
在线: 18.6小时
虫号: 1173684
注册: 2010-12-20
专业: 凝聚态物性 II :电子结构
其实我就是想用傅里叶变换把关于x的函数变换到关于k的函数,发现自己数学真差
赞
一下
回复此楼
7楼
2011-06-27 14:27:17
已阅
回复此楼
关注TA
给TA发消息
送TA红花
TA的回帖
racoon01
专家顾问
(著名写手)
专家经验: +213
数学EPI: 3
应助: 212
(大学生)
金币: 24355.2
散金: 27
红花: 71
帖子: 2438
在线: 643.2小时
虫号: 1282452
注册: 2011-05-01
专业: 中国近代史、现代史
管辖:
物理
引用回帖:
Originally posted by
jiahl
at 2011-06-27 13:00:29:
你试试把积分写成关于k的函数I(k),对k求导得到一个常微分方程,其解可以写成I(k)=I(0)*exp(-k^2/2). I(0)是很好算的,用换元法就可以算出来了。没有具体实践,不保证一定对。
这个方法无效。因为被积函数中含有x的三角函数,而cos(kx)对k求两阶导数后被积函数中多了一个x^2的因子吸收不了。所以此法在这里用不上。
赞
一下
回复此楼
racoon
8楼
2011-06-27 20:37:56
已阅
回复此楼
关注TA
给TA发消息
送TA红花
TA的回帖
racoon01
专家顾问
(著名写手)
专家经验: +213
数学EPI: 3
应助: 212
(大学生)
金币: 24355.2
散金: 27
红花: 71
帖子: 2438
在线: 643.2小时
虫号: 1282452
注册: 2011-05-01
专业: 中国近代史、现代史
管辖:
物理
【答案】应助回帖
引用回帖:
Originally posted by
王京
at 2011-06-27 14:27:17:
其实我就是想用傅里叶变换把关于x的函数变换到关于k的函数,发现自己数学真差
请写出你最原始的关于x的函数。这样,别人帮你求Fourier变换就不受你现在这个尝试的干扰了。
赞
一下
回复此楼
racoon
9楼
2011-06-27 20:41:26
已阅
回复此楼
关注TA
给TA发消息
送TA红花
TA的回帖
racoon01
专家顾问
(著名写手)
专家经验: +213
数学EPI: 3
应助: 212
(大学生)
金币: 24355.2
散金: 27
红花: 71
帖子: 2438
在线: 643.2小时
虫号: 1282452
注册: 2011-05-01
专业: 中国近代史、现代史
管辖:
物理
【答案】应助回帖
王京(金币+2): 嗯,用数值的方法是可以算的,我可以把它写到一个子函数里,就是要有个解析式就比较好,谢谢您 2011-06-28 10:16:59
引用回帖:
Originally posted by
王京
at 2011-06-27 14:27:17:
其实我就是想用傅里叶变换把关于x的函数变换到关于k的函数,发现自己数学真差
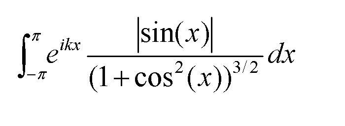
fourier变换所设计的积分见附图。
赞
一下
回复此楼
racoon
10楼
2011-06-27 21:24:28
已阅
回复此楼
关注TA
给TA发消息
送TA红花
TA的回帖
相关版块跳转
数理科学综合
机械
物理
数学
农林
食品
地学
能源
信息科学
土木建筑
航空航天
转基因
我要订阅楼主
王京
的主题更新
18
1/2
返回列表
1
2
下一页
如果回帖内容含有宣传信息,请如实选中。否则帐号将被全论坛禁言
普通表情
龙
兔
虎
猫
百度网盘
|
360云盘
|
千易网盘
|
华为网盘
在新窗口页面中打开自己喜欢的网盘网站,将文件上传后,然后将下载链接复制到帖子内容中就可以了。
信息提示
关闭
请填处理意见
关闭
确定