| 查看: 2118 | 回复: 7 | ||
[求助]
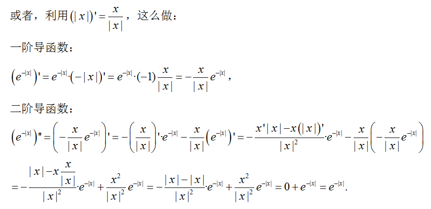
exp(-|x|)求导
|
| exp(-|x|)求导,一阶,二阶求导 |
» 猜你喜欢
(调剂)一志愿报考哈尔滨工业大学0857资源与环境专业378分考生
已经有6人回复
262求调剂
已经有7人回复
材料专硕322分
已经有10人回复
材料调剂
已经有8人回复
085600,320分求调剂
已经有8人回复
一志愿 江南大学 085602 化工专硕 338分求调剂
已经有11人回复
求调剂
已经有6人回复
086000调剂
已经有3人回复
求调剂
已经有4人回复
0703调剂,一志愿天津大学319分
已经有4人回复
» 本主题相关价值贴推荐,对您同样有帮助:
求教一道对数函数的解法,在线等!!!
已经有4人回复
求各位大侠帮忙解决一数理积分,非常谢谢
已经有6人回复
如何求解下列方程:xlnx=a(x-b)
已经有14人回复
请问:两个独立的服从指数分布的随机变量,其乘积的概率密度函数
已经有6人回复
(x^2).exp(-ax^2)dx下限为0,上限为b如何积分?求高手指点
已经有6人回复
matlab用多元线性最小二乘法求解多元线性方程的问题
已经有11人回复
请教Laplace变换问题
已经有8人回复
一个积分,我绝望了
已经有17人回复
【求助】delta函数平方后积分
已经有5人回复
【求助】解方程组的错误
已经有7人回复
【求助】定积分计算,20个金币答谢高人!
已经有5人回复
【求助】诚心求助傅里叶级数相关公式推导解释【已解决】
已经有10人回复
【答案】应助回帖
★ ★ ★ ★ ★ ★ ★ ★ ★ ★
感谢参与,应助指数 +1
web850808: 金币+10, ★有帮助 2013-03-28 15:10:01
感谢参与,应助指数 +1
web850808: 金币+10, ★有帮助 2013-03-28 15:10:01
| 在x=0处不可导。当x不等于0是,注意到exp(-|x|)是偶函数,所以一阶导函数是奇函数,二阶导函数又是偶函数,所以,你只需要求出它在x<0上的一阶导函数和二阶导函数就行了,这个就很简单了,因为在x<0的时候的函数表达式是exp(x),所以一阶和二阶导函数还是exp(x),从而在x>0时的一阶和二阶导函数分别是-exp(-x)和exp(-x)。当然,更直接的办法就是写出exp(-|x|)的分段表达式,然后分段求导也行。 |
2楼2013-03-26 00:39:53
3楼2013-03-26 12:21:29

4楼2013-03-26 12:33:02

5楼2013-03-26 19:51:15
6楼2013-03-27 03:29:38
7楼2013-03-27 03:50:17
8楼2013-03-27 17:03:18














回复此楼