| ²é¿´: 1618 | »Ø¸´: 12 | |||
ÓÖ¸öÆßÄêľ³æ (ÖøÃûдÊÖ)
|
[ÇóÖú]
ÇóÖú½âÒ»¸ö΢»ý·Ö£¬¸ßµÈÊýѧÈÃÎÒÍüÍêÁË
|
||
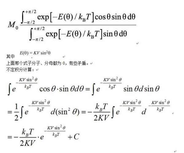
Òª½âÒ»¸ö»ý·Ö£¬¿´ÁËÀϰëÌ죬Èç¹ûÊÇÔÚ´óÈýµÄʱºò£¬»òÐí²»ÊÇÎÊÌ⣬¿ÉÏÖÔÚ£¬ ÍüµÃ²î²»¶àÁË Çó´óÉñ´Í½Ì¹«Ê½ÈçÉÏ ÆäÖÐ M0£¬K, V, T ¿ÉÒÔÊÓΪ³£Êý£¬²»Óùܡ£ ¶àлÁË [ Last edited by ÓÖ¸öÆßÄê on 2013-10-4 at 16:27 ] |
» ²ÂÄãϲ»¶
322Çóµ÷¼Á
ÒѾÓÐ12È˻ظ´
µç×ÓÐÅÏ¢270Çóµ÷¼Á
ÒѾÓÐ16È˻ظ´
272·Ö²ÄÁÏ×ÓÇóµ÷¼Á
ÒѾÓÐ50È˻ظ´
295·ÖÇóµ÷¼Á
ÒѾÓÐ13È˻ظ´
339Çóµ÷¼Á
ÒѾÓÐ9È˻ظ´
Ò»Ö¾Ô¸¹þ¹¤´ó 085600 277 12²Ä¿Æ»ùÇóµ÷¼Á
ÒѾÓÐ28È˻ظ´
µ÷¼ÁÇóÊÕÁô
ÒѾÓÐ28È˻ظ´
290µ÷¼ÁÉúÎï0860
ÒѾÓÐ26È˻ظ´
2±¾£¬³õÊÔ303£¬0860Çóµ÷¼Á
ÒѾÓÐ7È˻ظ´
²ÄÁϹ¤³Ì281»¹Óе÷¼Á»ú»áÂð
ÒѾÓÐ28È˻ظ´
» ±¾Ö÷ÌâÏà¹Ø¼ÛÖµÌùÍÆ¼ö£¬¶ÔÄúͬÑùÓаïÖú:
ÖпÆÔºÏµÍ³¡¶ÎïÀí»¯Ñ§¡·£¨¼×£©¿¼Ñи´Ï°¾Ñ顪¡ª×ª×Ôij´óʦ¼¶ºÃÓѵÄÈËÈËÍø
ÒѾÓÐ67È˻ظ´
¡¾ÇóÖú¡¿20½ð±ÒÇóÒ»¸ö΢»ý·Ö·½³Ì
ÒѾÓÐ15È˻ظ´
¡¾ÆäËü¡¿×ªÔØ£ºÅ£ÈËÀʵÀ½éÉÜ
ÒѾÓÐ24È˻ظ´
wyydxs
гæ (ÕýʽдÊÖ)
- Ó¦Öú: 15 (СѧÉú)
- ½ð±Ò: 4751.4
- É¢½ð: 2
- ºì»¨: 1
- Ìû×Ó: 312
- ÔÚÏß: 74.5Сʱ
- ³æºÅ: 2213502
- ×¢²á: 2012-12-29
- רҵ: ÊýÂÛ
¡¾´ð°¸¡¿Ó¦Öú»ØÌû
¸Ðл²ÎÓ룬ӦÖúÖ¸Êý +1
6Â¥2013-10-05 19:57:45
zsm28
Ìú³æ (³õÈëÎÄ̳)
- Ó¦Öú: 16 (СѧÉú)
- ½ð±Ò: 5684.2
- ºì»¨: 4
- Ìû×Ó: 43
- ÔÚÏß: 6528.3Сʱ
- ³æºÅ: 1456191
- ×¢²á: 2011-10-23
- רҵ: »ù´¡ÎïÀíѧ
2Â¥2013-10-05 00:50:26
ÄäÃû
Óû§×¢Ïú (ÖøÃûдÊÖ)
- Ó¦Öú: 24 (СѧÉú)
- ½ð±Ò: 2240.5
- É¢½ð: 110
- ºì»¨: 3
- Ìû×Ó: 1042
- ÔÚÏß: 119.6Сʱ
- ³æºÅ: 0
- ×¢²á: 2013-02-24
- רҵ: Á÷ÌåÁ¦Ñ§
3Â¥2013-10-05 14:45:54
ÓÖ¸öÆßÄê
ľ³æ (ÖøÃûдÊÖ)
- Ó¦Öú: 53 (³õÖÐÉú)
- ¹ó±ö: 0.001
- ½ð±Ò: 2545.8
- É¢½ð: 2521
- ºì»¨: 29
- Ìû×Ó: 1612
- ÔÚÏß: 1459.5Сʱ
- ³æºÅ: 724679
- ×¢²á: 2009-03-17
- ÐÔ±ð: GG
- רҵ: ÎÞ»úÄÉÃ×»¯Ñ§
4Â¥2013-10-05 16:05:07
feixiaolin
ÈÙÓþ°æÖ÷ (ÎÄ̳¾«Ó¢)
-

ר¼Ò¾Ñé: +518 - Ó¦Öú: 942 (²©ºó)
- ¹ó±ö: 1.275
- ½ð±Ò: 3880
- É¢½ð: 58785
- ºì»¨: 532
- ɳ·¢: 11
- Ìû×Ó: 24215
- ÔÚÏß: 2601.8Сʱ
- ³æºÅ: 2139575
- ×¢²á: 2012-11-21
- רҵ: ¹âѧÐÅÏ¢»ñÈ¡Óë´¦Àí
- ¹ÜϽ: Êýѧ
5Â¥2013-10-05 16:12:42
wyydxs
гæ (ÕýʽдÊÖ)
- Ó¦Öú: 15 (СѧÉú)
- ½ð±Ò: 4751.4
- É¢½ð: 2
- ºì»¨: 1
- Ìû×Ó: 312
- ÔÚÏß: 74.5Сʱ
- ³æºÅ: 2213502
- ×¢²á: 2012-12-29
- רҵ: ÊýÂÛ
7Â¥2013-10-05 19:58:12
neusxw
¾èÖú¹ó±ö (СÓÐÃûÆø)
- Ó¦Öú: 1 (Ó×¶ùÔ°)
- ½ð±Ò: 448.8
- Ìû×Ó: 51
- ÔÚÏß: 11.9Сʱ
- ³æºÅ: 1363466
- ×¢²á: 2011-08-08
- ÐÔ±ð: GG
- רҵ: ¿ØÖÆÀíÂÛÓë·½·¨

8Â¥2013-10-06 18:57:07
neusxw
¾èÖú¹ó±ö (СÓÐÃûÆø)
- Ó¦Öú: 1 (Ó×¶ùÔ°)
- ½ð±Ò: 448.8
- Ìû×Ó: 51
- ÔÚÏß: 11.9Сʱ
- ³æºÅ: 1363466
- ×¢²á: 2011-08-08
- ÐÔ±ð: GG
- רҵ: ¿ØÖÆÀíÂÛÓë·½·¨

9Â¥2013-10-06 18:58:32
1971689899
ľ³æ (ÕýʽдÊÖ)
- Ó¦Öú: 2 (Ó×¶ùÔ°)
- ½ð±Ò: 8983
- ºì»¨: 7
- Ìû×Ó: 798
- ÔÚÏß: 73.1Сʱ
- ³æºÅ: 2465949
- ×¢²á: 2013-05-15
- ÐÔ±ð: GG
- רҵ: ÆóÒµ¹ÜÀí

10Â¥2013-10-06 19:50:20













ÍüµÃ²î²»¶àÁË Çó´óÉñ´Í½Ì
»Ø¸´´ËÂ¥
ÓÖ¸öÆßÄê